The effect of a hiding space on the behaviour and heart rate variability of dairy calves during temporary separation from the dam.

IF 2.3 4区 农林科学 Q2 VETERINARY SCIENCES
Animal Welfare Pub Date : 2024-01-16 eCollection Date: 2024-01-01 DOI:10.1017/awf.2023.100
Hannah B Spitzer, Rebecca K Meagher, M Lynne O'Sullivan, William Montelpare, Miriam B Gordon, Shawn Lb McKenna, Kathryn L Proudfoot
{"title":"The effect of a hiding space on the behaviour and heart rate variability of dairy calves during temporary separation from the dam.","authors":"Hannah B Spitzer, Rebecca K Meagher, M Lynne O'Sullivan, William Montelpare, Miriam B Gordon, Shawn Lb McKenna, Kathryn L Proudfoot","doi":"10.1017/awf.2023.100","DOIUrl":null,"url":null,"abstract":"<p><p>In natural settings, newborn calves hide for several days before joining the herd. It is unclear whether dairy calves housed indoors would show similar hiding behaviour. This study aimed to describe the use of an artificial hide provided to calves during temporary separation from the dam and assess the effect it has on lying and sleep-like behaviour, as well as heart rate variability (HRV). Twenty-eight cow-calf pairs were randomly assigned to having a hide (n = 14), or no hide (n = 14). Hide use (n = 14), as well as lying and sleep-like behaviour (n = 28), were recorded continuously via video camera during the first hour after the dam was removed for morning milking on day three to seven. Heart rate and R-R intervals were recorded using Polar equine monitors for a subsample of 12 calves (n = 6 per treatment) on day six. Descriptive statistics were calculated for hide use. Wilcoxon Signed Rank tests were used to evaluate whether having a hide affected lying and sleep-like behaviours as well as HRV. Hide use decreased over days and was highly variable between calves. Lying behaviour did not differ between treatments. Duration of sleep-like behaviour was higher for calves without a hide compared to those with a hide. Calves with a hide tended to show signs of higher HRV and parasympathetic activity compared to calves without a hide. Results suggest that providing a hiding space to young calves may be beneficial during periods when the cow is removed from the pen for milking.</p>","PeriodicalId":7894,"journal":{"name":"Animal Welfare","volume":"33 ","pages":"e2"},"PeriodicalIF":2.3000,"publicationDate":"2024-01-16","publicationTypes":"Journal Article","fieldsOfStudy":null,"isOpenAccess":false,"openAccessPdf":"https://www.ncbi.nlm.nih.gov/pmc/articles/PMC10936337/pdf/","citationCount":"0","resultStr":null,"platform":"Semanticscholar","paperid":null,"PeriodicalName":"Animal Welfare","FirstCategoryId":"97","ListUrlMain":"https://doi.org/10.1017/awf.2023.100","RegionNum":4,"RegionCategory":"农林科学","ArticlePicture":[],"TitleCN":null,"AbstractTextCN":null,"PMCID":null,"EPubDate":"2024/1/1 0:00:00","PubModel":"eCollection","JCR":"Q2","JCRName":"VETERINARY SCIENCES","Score":null,"Total":0}
引用次数: 0

Abstract

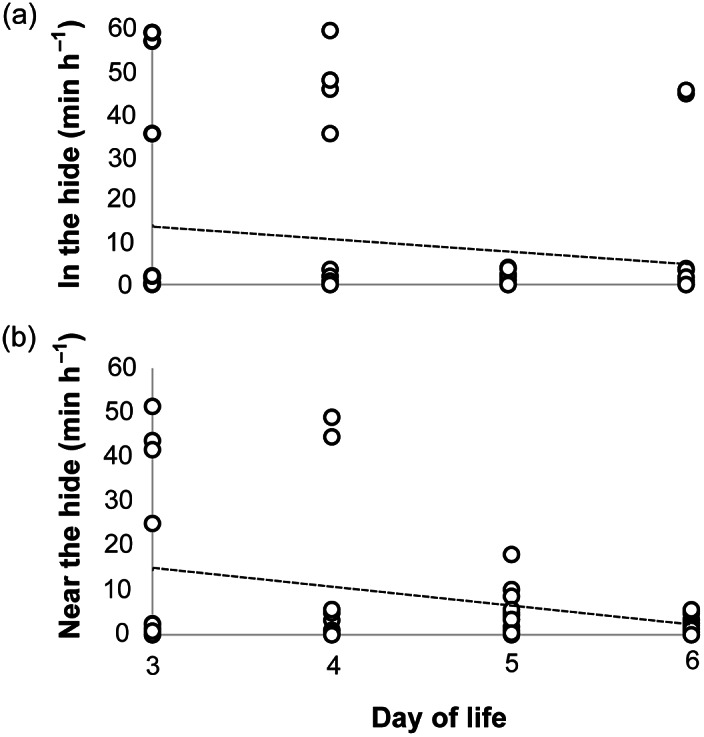
In natural settings, newborn calves hide for several days before joining the herd. It is unclear whether dairy calves housed indoors would show similar hiding behaviour. This study aimed to describe the use of an artificial hide provided to calves during temporary separation from the dam and assess the effect it has on lying and sleep-like behaviour, as well as heart rate variability (HRV). Twenty-eight cow-calf pairs were randomly assigned to having a hide (n = 14), or no hide (n = 14). Hide use (n = 14), as well as lying and sleep-like behaviour (n = 28), were recorded continuously via video camera during the first hour after the dam was removed for morning milking on day three to seven. Heart rate and R-R intervals were recorded using Polar equine monitors for a subsample of 12 calves (n = 6 per treatment) on day six. Descriptive statistics were calculated for hide use. Wilcoxon Signed Rank tests were used to evaluate whether having a hide affected lying and sleep-like behaviours as well as HRV. Hide use decreased over days and was highly variable between calves. Lying behaviour did not differ between treatments. Duration of sleep-like behaviour was higher for calves without a hide compared to those with a hide. Calves with a hide tended to show signs of higher HRV and parasympathetic activity compared to calves without a hide. Results suggest that providing a hiding space to young calves may be beneficial during periods when the cow is removed from the pen for milking.

Abstract Image

Abstract Image

Abstract Image

与母牛暂时分离期间,藏匿空间对乳牛行为和心率变异性的影响。
在自然环境中,新生犊牛在加入牛群之前会躲藏数天。目前还不清楚在室内饲养的奶牛犊牛是否会表现出类似的躲藏行为。本研究旨在描述犊牛在与母牛暂时分离期间使用人工兽皮的情况,并评估人工兽皮对犊牛躺卧和睡眠行为以及心率变异性(HRV)的影响。28 对母牛-小牛被随机分配为有兽皮(14 头)或无兽皮(14 头)。在第三天至第七天的早晨挤奶时,通过摄像机连续记录母牛移开母牛后的第一个小时内的藏身处使用情况(n = 14)以及躺卧和类似睡眠的行为(n = 28)。第六天,使用 Polar 马匹监测器记录 12 头犊牛(每种处理 6 头)的心率和 R-R 间期。对兽皮使用情况进行了描述性统计。使用 Wilcoxon Signed Rank 检验来评估兽皮是否会影响躺卧和睡眠行为以及心率变异。兽皮的使用量随着天数的增加而减少,而且犊牛之间的差异很大。躺卧行为在不同处理之间没有差异。与有兽皮的犊牛相比,没有兽皮的犊牛的类睡眠行为持续时间更长。与没有兽皮的犊牛相比,有兽皮的犊牛往往表现出较高的心率变异和副交感神经活动。研究结果表明,在母牛离开圈舍挤奶期间,为小牛提供藏身处可能是有益的。
本文章由计算机程序翻译,如有差异,请以英文原文为准。
求助全文
约1分钟内获得全文 求助全文
来源期刊
Animal Welfare
Animal Welfare 农林科学-动物学
CiteScore
2.30
自引率
8.30%
发文量
43
审稿时长
18-36 weeks
期刊介绍: Animal Welfare is an international scientific and technical journal. It publishes the results of peer-reviewed scientific research, technical studies and reviews relating to the welfare of kept animals (eg on farms, in laboratories, zoos and as companions) and of those in the wild whose welfare is compromised by human activities. Papers on related ethical, social, and legal issues and interdisciplinary papers will also be considered for publication. Studies that are derivative or which replicate existing publications will only be considered if they are adequately justified. Papers will only be considered if they bring new knowledge (for research papers), new perspectives (for reviews) or develop new techniques. Papers must have the potential to improve animal welfare, and the way in which they achieve this, or are likely to do so, must be clearly specified in the section on Animal welfare implications.
×
引用
GB/T 7714-2015
复制
MLA
复制
APA
复制
导出至
BibTeX EndNote RefMan NoteFirst NoteExpress
×
提示
您的信息不完整,为了账户安全,请先补充。
现在去补充
×
提示
您因"违规操作"
具体请查看互助需知
我知道了
×
提示
确定
请完成安全验证×
copy
已复制链接
快去分享给好友吧!
我知道了
右上角分享
点击右上角分享
0
联系我们:info@booksci.cn Book学术提供免费学术资源搜索服务,方便国内外学者检索中英文文献。致力于提供最便捷和优质的服务体验。 Copyright © 2023 布克学术 All rights reserved.
京ICP备2023020795号-1
ghs 京公网安备 11010802042870号
Book学术文献互助
Book学术文献互助群
群 号:604180095
Book学术官方微信