dCROX and ROX Indices Predict Clinical Outcomes in Patients with COVID-19 Pneumonia Treated with High-Flow Nasal Cannula Oxygen Therapy.

IF 1.8 Q3 CRITICAL CARE MEDICINE
Critical Care Research and Practice Pub Date : 2024-02-28 eCollection Date: 2024-01-01 DOI:10.1155/2024/8880259
Pitchayapa Ruchiwit, Kanpisut Pongtongkam, Narongkorn Saiphoklang
{"title":"dCROX and ROX Indices Predict Clinical Outcomes in Patients with COVID-19 Pneumonia Treated with High-Flow Nasal Cannula Oxygen Therapy.","authors":"Pitchayapa Ruchiwit, Kanpisut Pongtongkam, Narongkorn Saiphoklang","doi":"10.1155/2024/8880259","DOIUrl":null,"url":null,"abstract":"<p><strong>Background: </strong>High-flow nasal cannula (HFNC) therapy is a common respiratory support in patients with COVID-19 pneumonia. Predictive tools for the evaluation of successful weaning from HFNC therapy for COVID-19 pneumonia have been limited. This study aimed to develop a new predictor for weaning success from HFNC treatment in patients with COVID-19 pneumonia.</p><p><strong>Methods: </strong>We conducted a retrospective cohort study at Thammasat University Hospital, Thailand. Patients with COVID-19 pneumonia requiring HFNC therapy from April 2020 to September 2021 were included. The ROX index was defined as the ratio of oxygen saturation (SpO<sub>2</sub>)/fraction of inspired oxygen (FiO<sub>2</sub>) to respiratory rate. The CROX index was defined as the ratio of C-reactive protein (CRP) to the ROX index. dCROX was defined as the difference in CROX index between 24 hours and 72 hours. Weaning success was defined as the ability to sustain spontaneous breathing after separation from HFNC without any invasive or noninvasive ventilatory support for ≥48 hours or death.</p><p><strong>Results: </strong>A total of 106 patients (49.1% male) were included. The mean age was 62.1 ± 16.2 years. Baseline SpO<sub>2</sub>/FiO<sub>2</sub> was 276.1 ± 124.8. The rate of HFNC weaning success within 14 days was 61.3%. The best cutoff value of the dCROX index to predict HFNC weaning success was 3.15 with 66.2% sensitivity, 70.7% specificity, and an area under the ROC curve (AUC) of 0.71 (95% CI: 0.59-0.81, <i>p</i> < 0.001). The best cutoff value of the ROX index was 9.13, with 75.4% sensitivity, 78.0% specificity, and an AUC of 0.79 (95% CI: 0.69-0.88, <i>p</i> < 0.001).</p><p><strong>Conclusions: </strong>ROX index has the highest accuracy for predicting successful weaning from HFNC in patients with COVID-19 pneumonia. dCROX index is the alternative tool for this setting. However, a larger prospective cohort study is needed to verify these indices for determining separation from HFNC therapy. This trial is registered with TCTR20221107004.</p>","PeriodicalId":46583,"journal":{"name":"Critical Care Research and Practice","volume":"2024 ","pages":"8880259"},"PeriodicalIF":1.8000,"publicationDate":"2024-02-28","publicationTypes":"Journal Article","fieldsOfStudy":null,"isOpenAccess":false,"openAccessPdf":"https://www.ncbi.nlm.nih.gov/pmc/articles/PMC10917475/pdf/","citationCount":"0","resultStr":null,"platform":"Semanticscholar","paperid":null,"PeriodicalName":"Critical Care Research and Practice","FirstCategoryId":"1085","ListUrlMain":"https://doi.org/10.1155/2024/8880259","RegionNum":0,"RegionCategory":null,"ArticlePicture":[],"TitleCN":null,"AbstractTextCN":null,"PMCID":null,"EPubDate":"2024/1/1 0:00:00","PubModel":"eCollection","JCR":"Q3","JCRName":"CRITICAL CARE MEDICINE","Score":null,"Total":0}
引用次数: 0

Abstract

Background: High-flow nasal cannula (HFNC) therapy is a common respiratory support in patients with COVID-19 pneumonia. Predictive tools for the evaluation of successful weaning from HFNC therapy for COVID-19 pneumonia have been limited. This study aimed to develop a new predictor for weaning success from HFNC treatment in patients with COVID-19 pneumonia.

Methods: We conducted a retrospective cohort study at Thammasat University Hospital, Thailand. Patients with COVID-19 pneumonia requiring HFNC therapy from April 2020 to September 2021 were included. The ROX index was defined as the ratio of oxygen saturation (SpO2)/fraction of inspired oxygen (FiO2) to respiratory rate. The CROX index was defined as the ratio of C-reactive protein (CRP) to the ROX index. dCROX was defined as the difference in CROX index between 24 hours and 72 hours. Weaning success was defined as the ability to sustain spontaneous breathing after separation from HFNC without any invasive or noninvasive ventilatory support for ≥48 hours or death.

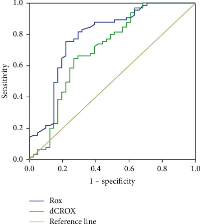
Results: A total of 106 patients (49.1% male) were included. The mean age was 62.1 ± 16.2 years. Baseline SpO2/FiO2 was 276.1 ± 124.8. The rate of HFNC weaning success within 14 days was 61.3%. The best cutoff value of the dCROX index to predict HFNC weaning success was 3.15 with 66.2% sensitivity, 70.7% specificity, and an area under the ROC curve (AUC) of 0.71 (95% CI: 0.59-0.81, p < 0.001). The best cutoff value of the ROX index was 9.13, with 75.4% sensitivity, 78.0% specificity, and an AUC of 0.79 (95% CI: 0.69-0.88, p < 0.001).

Conclusions: ROX index has the highest accuracy for predicting successful weaning from HFNC in patients with COVID-19 pneumonia. dCROX index is the alternative tool for this setting. However, a larger prospective cohort study is needed to verify these indices for determining separation from HFNC therapy. This trial is registered with TCTR20221107004.

Abstract Image

Abstract Image

Abstract Image

dCROX和ROX指数可预测接受高流量鼻导管供氧疗法的COVID-19肺炎患者的临床疗效。
背景:高流量鼻插管(HFNC)疗法是 COVID-19 肺炎患者常用的呼吸支持疗法。用于评估 COVID-19 肺炎患者能否成功脱离 HFNC 治疗的预测工具非常有限。本研究旨在为 COVID-19 肺炎患者成功脱离 HFNC 治疗开发一种新的预测工具:我们在泰国 Thammasat 大学医院进行了一项回顾性队列研究。研究纳入了 2020 年 4 月至 2021 年 9 月期间需要接受 HFNC 治疗的 COVID-19 肺炎患者。ROX指数定义为血氧饱和度(SpO2)/吸入氧分压(FiO2)与呼吸频率的比值。CROX指数定义为C反应蛋白(CRP)与ROX指数的比率。dCROX定义为24小时与72小时之间CROX指数的差异。断奶成功率的定义是:与 HFNC 分离后,在没有任何有创或无创通气支持的情况下,能够维持自主呼吸≥48 小时或死亡:共纳入 106 名患者(49.1% 为男性)。平均年龄为 62.1 ± 16.2 岁。基线 SpO2/FiO2 为 276.1 ± 124.8。14 天内 HFNC 断流成功率为 61.3%。预测 HFNC 断流成功的 dCROX 指数最佳临界值为 3.15,灵敏度为 66.2%,特异度为 70.7%,ROC 曲线下面积 (AUC) 为 0.71(95% CI:0.59-0.81,p < 0.001)。ROX指数的最佳临界值为9.13,敏感性为75.4%,特异性为78.0%,AUC为0.79(95% CI:0.69-0.88,p < 0.001):ROX指数在预测COVID-19肺炎患者成功脱离高频NC方面具有最高的准确性。不过,还需要进行更大规模的前瞻性队列研究,以验证这些指数在确定脱离 HFNC 治疗方面的作用。该试验的注册号为 TCTR20221107004。
本文章由计算机程序翻译,如有差异,请以英文原文为准。
求助全文
约1分钟内获得全文 求助全文
来源期刊
Critical Care Research and Practice
Critical Care Research and Practice CRITICAL CARE MEDICINE-
CiteScore
3.60
自引率
0.00%
发文量
34
审稿时长
14 weeks
×
引用
GB/T 7714-2015
复制
MLA
复制
APA
复制
导出至
BibTeX EndNote RefMan NoteFirst NoteExpress
×
提示
您的信息不完整,为了账户安全,请先补充。
现在去补充
×
提示
您因"违规操作"
具体请查看互助需知
我知道了
×
提示
确定
请完成安全验证×
copy
已复制链接
快去分享给好友吧!
我知道了
右上角分享
点击右上角分享
0
联系我们:info@booksci.cn Book学术提供免费学术资源搜索服务,方便国内外学者检索中英文文献。致力于提供最便捷和优质的服务体验。 Copyright © 2023 布克学术 All rights reserved.
京ICP备2023020795号-1
ghs 京公网安备 11010802042870号
Book学术文献互助
Book学术文献互助群
群 号:604180095
Book学术官方微信