Juvenile octocorals acquire similar algal symbiont assemblages across depths

IF 2.9 2区 生物学 Q1 MARINE & FRESHWATER BIOLOGY
Ronen Liberman, Christian R. Voolstra, Benjamin C. C. Hume, Yehuda Benayahu
{"title":"Juvenile octocorals acquire similar algal symbiont assemblages across depths","authors":"Ronen Liberman, Christian R. Voolstra, Benjamin C. C. Hume, Yehuda Benayahu","doi":"10.1007/s00338-024-02470-3","DOIUrl":null,"url":null,"abstract":"<p>Establishment of the coral–algal symbiosis begins during early ontogeny when juveniles acquire a mix of algae from their environment that often differs from the adults’ algal assemblages. Despite the importance of the type of Symbiodiniaceae to this symbiosis, it is largely unknown how coral host identity and environment affect symbiosis establishment and is affected by the genetic composition of the symbionts. Here, we reciprocally transplanted planulae of the octocoral <i>Rhytisma fulvum</i> (Forskål, 1775) across depths and monitored the algal assemblages in the developing juveniles for 11 months. We then compared these to adult assemblages using ITS2 metabarcoding. Juveniles were consistently dominated by <i>Symbiodinium</i>, in addition to multiple <i>Cladocopium</i> species, which shifted in dominance with the juvenile age but maintained high similarity across depths. The type of Symbiodiniaceae environmentally available thus likely contributes to the algal symbionts that are initially acquired, while host identity may play a significant role in selecting for symbionts that are maintained during juvenile development.</p>","PeriodicalId":10821,"journal":{"name":"Coral Reefs","volume":"68 1","pages":""},"PeriodicalIF":2.9000,"publicationDate":"2024-02-26","publicationTypes":"Journal Article","fieldsOfStudy":null,"isOpenAccess":false,"openAccessPdf":"","citationCount":"0","resultStr":null,"platform":"Semanticscholar","paperid":null,"PeriodicalName":"Coral Reefs","FirstCategoryId":"99","ListUrlMain":"https://doi.org/10.1007/s00338-024-02470-3","RegionNum":2,"RegionCategory":"生物学","ArticlePicture":[],"TitleCN":null,"AbstractTextCN":null,"PMCID":null,"EPubDate":"","PubModel":"","JCR":"Q1","JCRName":"MARINE & FRESHWATER BIOLOGY","Score":null,"Total":0}
引用次数: 0

Abstract

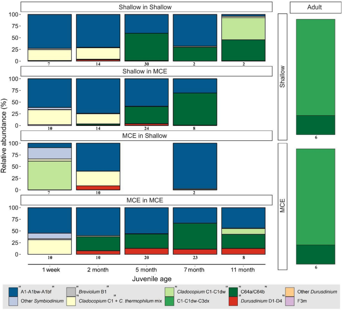
Establishment of the coral–algal symbiosis begins during early ontogeny when juveniles acquire a mix of algae from their environment that often differs from the adults’ algal assemblages. Despite the importance of the type of Symbiodiniaceae to this symbiosis, it is largely unknown how coral host identity and environment affect symbiosis establishment and is affected by the genetic composition of the symbionts. Here, we reciprocally transplanted planulae of the octocoral Rhytisma fulvum (Forskål, 1775) across depths and monitored the algal assemblages in the developing juveniles for 11 months. We then compared these to adult assemblages using ITS2 metabarcoding. Juveniles were consistently dominated by Symbiodinium, in addition to multiple Cladocopium species, which shifted in dominance with the juvenile age but maintained high similarity across depths. The type of Symbiodiniaceae environmentally available thus likely contributes to the algal symbionts that are initially acquired, while host identity may play a significant role in selecting for symbionts that are maintained during juvenile development.

Abstract Image

幼年章鱼在不同深度获得相似的藻类共生组合
珊瑚-藻类共生关系的建立始于幼体发育早期,此时幼体从环境中获得的藻类组合往往不同于成体的藻类组合。尽管共生藻的种类对这种共生关系很重要,但珊瑚宿主的身份和环境如何影响共生关系的建立,以及共生体的遗传组成如何影响共生关系的建立,目前还不清楚。在这里,我们将八瓣珊瑚 Rhytisma fulvum(Forskål,1775 年)的鳞片跨深度相互移植,并对发育中的幼体的藻类组合进行了长达 11 个月的监测。然后,我们使用 ITS2 代谢编码将其与成体的藻类组合进行了比较。幼体始终以 Symbiodinium 为主,此外还有多个 Cladocopium 种类,它们的优势随着幼体年龄的增长而变化,但在不同深度保持高度的相似性。因此,环境中可获得的共生环节动物的类型可能有助于最初获得的藻类共生体,而宿主身份可能在选择幼体发育过程中保持的共生体方面发挥重要作用。
本文章由计算机程序翻译,如有差异,请以英文原文为准。
求助全文
约1分钟内获得全文 求助全文
来源期刊
Coral Reefs
Coral Reefs 生物-海洋与淡水生物学
CiteScore
6.80
自引率
11.40%
发文量
111
审稿时长
4-8 weeks
期刊介绍: Coral Reefs, the Journal of the International Coral Reef Society, presents multidisciplinary literature across the broad fields of reef studies, publishing analytical and theoretical papers on both modern and ancient reefs. These encourage the search for theories about reef structure and dynamics, and the use of experimentation, modeling, quantification and the applied sciences. Coverage includes such subject areas as population dynamics; community ecology of reef organisms; energy and nutrient flows; biogeochemical cycles; physiology of calcification; reef responses to natural and anthropogenic influences; stress markers in reef organisms; behavioural ecology; sedimentology; diagenesis; reef structure and morphology; evolutionary ecology of the reef biota; palaeoceanography of coral reefs and coral islands; reef management and its underlying disciplines; molecular biology and genetics of coral; aetiology of disease in reef-related organisms; reef responses to global change, and more.
×
引用
GB/T 7714-2015
复制
MLA
复制
APA
复制
导出至
BibTeX EndNote RefMan NoteFirst NoteExpress
×
提示
您的信息不完整,为了账户安全,请先补充。
现在去补充
×
提示
您因"违规操作"
具体请查看互助需知
我知道了
×
提示
确定
请完成安全验证×
copy
已复制链接
快去分享给好友吧!
我知道了
右上角分享
点击右上角分享
0
联系我们:info@booksci.cn Book学术提供免费学术资源搜索服务,方便国内外学者检索中英文文献。致力于提供最便捷和优质的服务体验。 Copyright © 2023 布克学术 All rights reserved.
京ICP备2023020795号-1
ghs 京公网安备 11010802042870号
Book学术文献互助
Book学术文献互助群
群 号:604180095
Book学术官方微信