A Digital Intervention to Promote Self-Management Self-Efficacy Among Community-Dwelling Individuals With Stroke: Pilot Randomized Controlled Trial.

Q2 Medicine
Zhaoying Li, Yating Lei, Quoc Bui, Olivia DePaul, Ginger E Nicol, David C Mohr, Sunghoon I Lee, Mandy W M Fong, Christopher L Metts, Stephanie E Tomazin, Alex W K Wong
{"title":"A Digital Intervention to Promote Self-Management Self-Efficacy Among Community-Dwelling Individuals With Stroke: Pilot Randomized Controlled Trial.","authors":"Zhaoying Li, Yating Lei, Quoc Bui, Olivia DePaul, Ginger E Nicol, David C Mohr, Sunghoon I Lee, Mandy W M Fong, Christopher L Metts, Stephanie E Tomazin, Alex W K Wong","doi":"10.2196/50863","DOIUrl":null,"url":null,"abstract":"<p><strong>Background: </strong>Digital interventions provided through smartphones or the internet that are guided by a coach have been proposed as promising solutions to support the self-management of chronic conditions. However, digital intervention for poststroke self-management is limited; we developed the interactive Self-Management Augmented by Rehabilitation Technologies (iSMART) intervention to address this gap.</p><p><strong>Objective: </strong>This study aimed to examine the feasibility and initial effects of the iSMART intervention to improve self-management self-efficacy in people with stroke.</p><p><strong>Methods: </strong>A parallel, 2-arm, nonblinded, randomized controlled trial of 12-week duration was conducted. A total of 24 participants with mild-to-moderate chronic stroke were randomized to receive either the iSMART intervention or a manual of stroke rehabilitation (attention control). iSMART was a coach-guided, technology-supported self-management intervention designed to support people managing chronic conditions and maintaining active participation in daily life after stroke. Feasibility measures included retention and engagement rates in the iSMART group. For both the iSMART intervention and active control groups, we used the Feasibility of Intervention Measure, Acceptability of Intervention Measure, and Intervention Appropriateness Measure to assess the feasibility, acceptability, and appropriateness, respectively. Health measures included the Participation Strategies Self-Efficacy Scale and the Patient-Reported Outcomes Measurement Information System's Self-Efficacy for Managing Chronic Conditions.</p><p><strong>Results: </strong>The retention rate was 82% (9/11), and the engagement (SMS text message response) rate was 78% for the iSMART group. Mean scores of the Feasibility of Intervention Measure, Acceptability of Intervention Measure, and Intervention Appropriateness Measure were 4.11 (SD 0.61), 4.44 (SD 0.73), and 4.36 (SD 0.70), respectively, which exceeded our benchmark (4 out of 5), suggesting high feasibility, acceptability, and appropriateness of iSMART. The iSMART group showed moderate-to-large effects in improving self-efficacy in managing emotions (r=0.494), symptoms (r=0.514), daily activities (r=0.593), and treatments and medications (r=0.870), but the control group showed negligible-to-small effects in decreasing self-efficacy in managing emotions (r=0.252), symptoms (r=0.262), daily activities (r=0.136), and treatments and medications (r=0.049). In addition, the iSMART group showed moderate-to-large effects of increasing the use of participation strategies for management in the home (r=0.554), work (r=0.633), community (r=0.673), and communication activities (r=0.476). In contrast, the control group showed small-to-large effects of decreasing the use of participation strategies for management in the home (r=0.567), work (r=0.342, community (r=0.215), and communication activities (r=0.379).</p><p><strong>Conclusions: </strong>Our findings support the idea that iSMART was feasible to improve poststroke self-management self-efficacy. Our results also support using a low-cost solution, such as SMS text messaging, to supplement traditional therapeutic patient education interventions. Further evaluation with a larger sample of participants is still needed.</p><p><strong>Trial registration: </strong>ClinicalTrials.gov 202004137; https://clinicaltrials.gov/study/NCT04743037?id=202004137&rank=1.</p>","PeriodicalId":36224,"journal":{"name":"JMIR Rehabilitation and Assistive Technologies","volume":"11 ","pages":"e50863"},"PeriodicalIF":0.0000,"publicationDate":"2024-02-19","publicationTypes":"Journal Article","fieldsOfStudy":null,"isOpenAccess":false,"openAccessPdf":"https://www.ncbi.nlm.nih.gov/pmc/articles/PMC10912984/pdf/","citationCount":"0","resultStr":null,"platform":"Semanticscholar","paperid":null,"PeriodicalName":"JMIR Rehabilitation and Assistive Technologies","FirstCategoryId":"1085","ListUrlMain":"https://doi.org/10.2196/50863","RegionNum":0,"RegionCategory":null,"ArticlePicture":[],"TitleCN":null,"AbstractTextCN":null,"PMCID":null,"EPubDate":"","PubModel":"","JCR":"Q2","JCRName":"Medicine","Score":null,"Total":0}
引用次数: 0

Abstract

Background: Digital interventions provided through smartphones or the internet that are guided by a coach have been proposed as promising solutions to support the self-management of chronic conditions. However, digital intervention for poststroke self-management is limited; we developed the interactive Self-Management Augmented by Rehabilitation Technologies (iSMART) intervention to address this gap.

Objective: This study aimed to examine the feasibility and initial effects of the iSMART intervention to improve self-management self-efficacy in people with stroke.

Methods: A parallel, 2-arm, nonblinded, randomized controlled trial of 12-week duration was conducted. A total of 24 participants with mild-to-moderate chronic stroke were randomized to receive either the iSMART intervention or a manual of stroke rehabilitation (attention control). iSMART was a coach-guided, technology-supported self-management intervention designed to support people managing chronic conditions and maintaining active participation in daily life after stroke. Feasibility measures included retention and engagement rates in the iSMART group. For both the iSMART intervention and active control groups, we used the Feasibility of Intervention Measure, Acceptability of Intervention Measure, and Intervention Appropriateness Measure to assess the feasibility, acceptability, and appropriateness, respectively. Health measures included the Participation Strategies Self-Efficacy Scale and the Patient-Reported Outcomes Measurement Information System's Self-Efficacy for Managing Chronic Conditions.

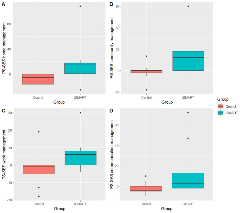
Results: The retention rate was 82% (9/11), and the engagement (SMS text message response) rate was 78% for the iSMART group. Mean scores of the Feasibility of Intervention Measure, Acceptability of Intervention Measure, and Intervention Appropriateness Measure were 4.11 (SD 0.61), 4.44 (SD 0.73), and 4.36 (SD 0.70), respectively, which exceeded our benchmark (4 out of 5), suggesting high feasibility, acceptability, and appropriateness of iSMART. The iSMART group showed moderate-to-large effects in improving self-efficacy in managing emotions (r=0.494), symptoms (r=0.514), daily activities (r=0.593), and treatments and medications (r=0.870), but the control group showed negligible-to-small effects in decreasing self-efficacy in managing emotions (r=0.252), symptoms (r=0.262), daily activities (r=0.136), and treatments and medications (r=0.049). In addition, the iSMART group showed moderate-to-large effects of increasing the use of participation strategies for management in the home (r=0.554), work (r=0.633), community (r=0.673), and communication activities (r=0.476). In contrast, the control group showed small-to-large effects of decreasing the use of participation strategies for management in the home (r=0.567), work (r=0.342, community (r=0.215), and communication activities (r=0.379).

Conclusions: Our findings support the idea that iSMART was feasible to improve poststroke self-management self-efficacy. Our results also support using a low-cost solution, such as SMS text messaging, to supplement traditional therapeutic patient education interventions. Further evaluation with a larger sample of participants is still needed.

Trial registration: ClinicalTrials.gov 202004137; https://clinicaltrials.gov/study/NCT04743037?id=202004137&rank=1.

Abstract Image

Abstract Image

Abstract Image

促进社区居民中风患者自我管理自我效能的数字干预:试点随机对照试验。
背景:通过智能手机或互联网提供的、由教练指导的数字干预被认为是支持慢性病自我管理的有前途的解决方案。然而,针对脑卒中后自我管理的数字干预却很有限;我们开发了交互式自我管理增强康复技术(iSMART)干预来填补这一空白:本研究旨在探讨 iSMART 干预的可行性和初步效果,以提高中风患者的自我管理自我效能:进行了一项为期 12 周的平行、双臂、非盲、随机对照试验。共有 24 名轻度至中度慢性中风患者被随机分配接受 iSMART 干预或中风康复手册(注意对照组)。iSMART 是一种由教练指导、技术支持的自我管理干预,旨在支持中风患者在中风后管理慢性疾病并保持积极参与日常生活。可行性测量包括 iSMART 组的保留率和参与率。对于 iSMART 干预组和积极对照组,我们分别使用了干预可行性测量、干预可接受性测量和干预适宜性测量来评估其可行性、可接受性和适宜性。健康测量包括 "参与策略自我效能量表 "和 "患者报告结果测量信息系统 "的 "慢性病管理自我效能":iSMART 组的保留率为 82%(9/11),参与率(短信回复率)为 78%。干预措施可行性测量、干预措施可接受性测量和干预措施适当性测量的平均得分分别为4.11(标清0.61)、4.44(标清0.73)和4.36(标清0.70),超过了我们的基准(满分5分中的4分),表明iSMART具有较高的可行性、可接受性和适当性。iSMART组在提高情绪管理自我效能感(r=0.494)、症状管理自我效能感(r=0.514)、日常活动管理自我效能感(r=0.593)以及治疗和药物管理自我效能感(r=0.870)方面表现出中度到大型效应,但对照组在降低情绪管理自我效能感(r=0.252)、症状管理自我效能感(r=0.262)、日常活动管理自我效能感(r=0.136)以及治疗和药物管理自我效能感(r=0.049)方面表现出可忽略不计到小型效应。此外,iSMART 小组在增加家庭(r=0.554)、工作(r=0.633)、社区(r=0.673)和交流活动(r=0.476)管理参与策略的使用方面显示出中度到大型的效果。与此相反,对照组在家庭管理(r=0.567)、工作(r=0.342)、社区(r=0.215)和交流活动(r=0.379)方面的参与策略使用率出现了由小到大的下降:我们的研究结果支持了 iSMART 能够提高脑卒中后自我管理自我效能的观点。我们的研究结果还支持使用短信等低成本解决方案来补充传统的治疗性患者教育干预。我们还需要对更大样本的参与者进行进一步评估:ClinicalTrials.gov 202004137; https://clinicaltrials.gov/study/NCT04743037?id=202004137&rank=1.
本文章由计算机程序翻译,如有差异,请以英文原文为准。
求助全文
约1分钟内获得全文 求助全文
来源期刊
CiteScore
4.20
自引率
0.00%
发文量
31
审稿时长
12 weeks
×
引用
GB/T 7714-2015
复制
MLA
复制
APA
复制
导出至
BibTeX EndNote RefMan NoteFirst NoteExpress
×
提示
您的信息不完整,为了账户安全,请先补充。
现在去补充
×
提示
您因"违规操作"
具体请查看互助需知
我知道了
×
提示
确定
请完成安全验证×
copy
已复制链接
快去分享给好友吧!
我知道了
右上角分享
点击右上角分享
0
联系我们:info@booksci.cn Book学术提供免费学术资源搜索服务,方便国内外学者检索中英文文献。致力于提供最便捷和优质的服务体验。 Copyright © 2023 布克学术 All rights reserved.
京ICP备2023020795号-1
ghs 京公网安备 11010802042870号
Book学术文献互助
Book学术文献互助群
群 号:604180095
Book学术官方微信