Clinicopathological Features and Treatment Outcomes of Male Breast Cancer in Pakistani Population: A 10-Year Retrospective Cross-Sectional Study.

IF 1.9 Q3 ONCOLOGY
Breast Cancer : Basic and Clinical Research Pub Date : 2024-02-17 eCollection Date: 2024-01-01 DOI:10.1177/11782234241233120
Ibtissam Bin Khalid, Albash Sarwar, Hassham Bin Khalid, Barka Sajjad, Bushra Rehman, Muhammad Asad Parvaiz
{"title":"Clinicopathological Features and Treatment Outcomes of Male Breast Cancer in Pakistani Population: A 10-Year Retrospective Cross-Sectional Study.","authors":"Ibtissam Bin Khalid, Albash Sarwar, Hassham Bin Khalid, Barka Sajjad, Bushra Rehman, Muhammad Asad Parvaiz","doi":"10.1177/11782234241233120","DOIUrl":null,"url":null,"abstract":"<p><strong>Background: </strong>Male breast cancer (MBC) accounts for 1% of global breast cancer cases. On account of its rarity, very few prospective clinical trials have been carried out on MBC. Pakistan has the highest incidence of breast cancer in Asia, but very limited data are available on MBC.</p><p><strong>Objectives: </strong>The objective is to determine the clinicopathological characteristics and treatment patterns of MBC in Pakistani population.</p><p><strong>Design: </strong>This is a retrospective cross-sectional study.</p><p><strong>Methods: </strong>A retrospective cross-sectional study carried out using the cancer database of Shaukat Khanum Memorial Cancer Hospital & Research Center. Men with a histologically proven breast cancer, stage 0 to III disease and requiring surgical intervention were included. The Kaplan-Meier curve and log-rank test were used for survival analysis.</p><p><strong>Results: </strong>Sixty-eight patients with MBC were included with a median age at diagnosis of 55 years. Most patients were stage II (47.1%). Invasive ductal carcinoma (IDC) was the commonest type (89.7%). Estrogen receptor (ER), progesterone receptor (PR), and Her-2 receptor positivity were 92.6%, 86.8%, and 32.4%, respectively. Mastectomy was performed in 95.6% of the cases. Neoadjuvant and adjuvant chemotherapy was administered in 25 (36.8%) and 26 (38.2%) patients, respectively. Fifty-five (80.9%) patients received adjuvant radiotherapy. Most of the patients (89.7%) received tamoxifen. The 5-year overall and disease-free survival was 88.2% and 80.9%, respectively. Patients receiving neoadjuvant chemotherapy had a better overall and disease-free survival (<i>P</i> = .025).</p><p><strong>Conclusions: </strong>Male breast cancer occurs at a relatively earlier age in Pakistani population as compared with Western men. Mastectomy is the preferred surgical option for MBC on account of the advanced disease and delayed presentation. Neoadjuvant chemotherapy has a statistically significant effect on overall and disease-free survival, but in spite of these benefits, it remains underutilized.</p>","PeriodicalId":9163,"journal":{"name":"Breast Cancer : Basic and Clinical Research","volume":"18 ","pages":"11782234241233120"},"PeriodicalIF":1.9000,"publicationDate":"2024-02-17","publicationTypes":"Journal Article","fieldsOfStudy":null,"isOpenAccess":false,"openAccessPdf":"https://www.ncbi.nlm.nih.gov/pmc/articles/PMC10874586/pdf/","citationCount":"0","resultStr":null,"platform":"Semanticscholar","paperid":null,"PeriodicalName":"Breast Cancer : Basic and Clinical Research","FirstCategoryId":"1085","ListUrlMain":"https://doi.org/10.1177/11782234241233120","RegionNum":0,"RegionCategory":null,"ArticlePicture":[],"TitleCN":null,"AbstractTextCN":null,"PMCID":null,"EPubDate":"2024/1/1 0:00:00","PubModel":"eCollection","JCR":"Q3","JCRName":"ONCOLOGY","Score":null,"Total":0}
引用次数: 0

Abstract

Background: Male breast cancer (MBC) accounts for 1% of global breast cancer cases. On account of its rarity, very few prospective clinical trials have been carried out on MBC. Pakistan has the highest incidence of breast cancer in Asia, but very limited data are available on MBC.

Objectives: The objective is to determine the clinicopathological characteristics and treatment patterns of MBC in Pakistani population.

Design: This is a retrospective cross-sectional study.

Methods: A retrospective cross-sectional study carried out using the cancer database of Shaukat Khanum Memorial Cancer Hospital & Research Center. Men with a histologically proven breast cancer, stage 0 to III disease and requiring surgical intervention were included. The Kaplan-Meier curve and log-rank test were used for survival analysis.

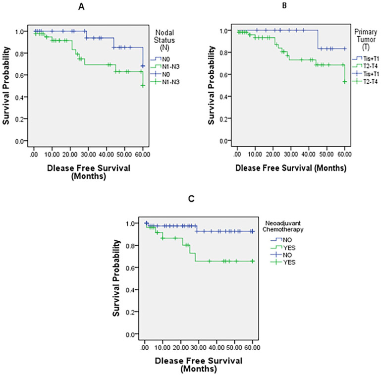
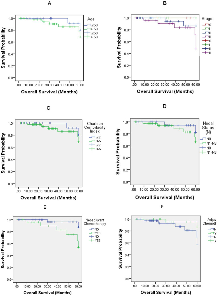
Results: Sixty-eight patients with MBC were included with a median age at diagnosis of 55 years. Most patients were stage II (47.1%). Invasive ductal carcinoma (IDC) was the commonest type (89.7%). Estrogen receptor (ER), progesterone receptor (PR), and Her-2 receptor positivity were 92.6%, 86.8%, and 32.4%, respectively. Mastectomy was performed in 95.6% of the cases. Neoadjuvant and adjuvant chemotherapy was administered in 25 (36.8%) and 26 (38.2%) patients, respectively. Fifty-five (80.9%) patients received adjuvant radiotherapy. Most of the patients (89.7%) received tamoxifen. The 5-year overall and disease-free survival was 88.2% and 80.9%, respectively. Patients receiving neoadjuvant chemotherapy had a better overall and disease-free survival (P = .025).

Conclusions: Male breast cancer occurs at a relatively earlier age in Pakistani population as compared with Western men. Mastectomy is the preferred surgical option for MBC on account of the advanced disease and delayed presentation. Neoadjuvant chemotherapy has a statistically significant effect on overall and disease-free survival, but in spite of these benefits, it remains underutilized.

Abstract Image

Abstract Image

Abstract Image

巴基斯坦男性乳腺癌的临床病理特征和治疗结果:一项为期 10 年的回顾性横断面研究
背景:男性乳腺癌(MBC)占全球乳腺癌病例的 1%。由于其罕见性,很少有针对男性乳腺癌的前瞻性临床试验。巴基斯坦是亚洲乳腺癌发病率最高的国家,但有关 MBC 的数据却非常有限:目的:确定巴基斯坦人群中 MBC 的临床病理特征和治疗模式:设计:这是一项回顾性横断面研究:方法:利用肖卡特-卡努姆纪念癌症医院和研究中心的癌症数据库进行回顾性横断面研究。研究对象包括经组织学证实患有乳腺癌、病情处于 0 至 III 期且需要手术治疗的男性患者。采用卡普兰-梅耶曲线和对数秩检验进行生存分析:结果:共纳入 68 名 MBC 患者,确诊时的中位年龄为 55 岁。大多数患者为 II 期(47.1%)。浸润性导管癌(IDC)是最常见的类型(89.7%)。雌激素受体(ER)、孕激素受体(PR)和Her-2受体阳性率分别为92.6%、86.8%和32.4%。95.6%的病例进行了乳房切除术。25例(36.8%)和26例(38.2%)患者分别接受了新辅助化疗和辅助化疗。55名患者(80.9%)接受了辅助放射治疗。大多数患者(89.7%)接受了他莫昔芬治疗。5年总生存率和无病生存率分别为88.2%和80.9%。接受新辅助化疗的患者总生存率和无病生存率更高(P = .025):结论:与西方男性相比,巴基斯坦男性乳腺癌的发病年龄相对较早。结论:与西方男性相比,巴基斯坦男性乳腺癌的发病年龄相对较早,乳房切除术是治疗男性乳腺癌的首选手术方案,这是因为乳腺癌属于晚期疾病且发病时间较晚。新辅助化疗对总生存期和无病生存期的影响具有统计学意义,但尽管有这些益处,新辅助化疗仍未得到充分利用。
本文章由计算机程序翻译,如有差异,请以英文原文为准。
求助全文
约1分钟内获得全文 求助全文
来源期刊
CiteScore
5.10
自引率
3.40%
发文量
22
审稿时长
8 weeks
期刊介绍: Breast Cancer: Basic and Clinical Research is an international, open access, peer-reviewed, journal which considers manuscripts on all areas of breast cancer research and treatment. We welcome original research, short notes, case studies and review articles related to breast cancer-related research. Specific areas of interest include, but are not limited to, breast cancer sub types, pathobiology, metastasis, genetics and epigenetics, mammary gland biology, breast cancer models, prevention, detection, therapy and clinical interventions, and epidemiology and population genetics.
×
引用
GB/T 7714-2015
复制
MLA
复制
APA
复制
导出至
BibTeX EndNote RefMan NoteFirst NoteExpress
×
提示
您的信息不完整,为了账户安全,请先补充。
现在去补充
×
提示
您因"违规操作"
具体请查看互助需知
我知道了
×
提示
确定
请完成安全验证×
copy
已复制链接
快去分享给好友吧!
我知道了
右上角分享
点击右上角分享
0
联系我们:info@booksci.cn Book学术提供免费学术资源搜索服务,方便国内外学者检索中英文文献。致力于提供最便捷和优质的服务体验。 Copyright © 2023 布克学术 All rights reserved.
京ICP备2023020795号-1
ghs 京公网安备 11010802042870号
Book学术文献互助
Book学术文献互助群
群 号:604180095
Book学术官方微信