Retrospective Comparison of Commercially Available Automated Insulin Delivery With Open-Source Automated Insulin Delivery Systems in Type 1 Diabetes.

IF 3.7 Q2 ENDOCRINOLOGY & METABOLISM
Anna Schütz, Birgit Rami-Merhar, Ingrid Schütz-Fuhrmann, Nicole Blauensteiner, Petra Baumann, Tina Pöttler, Julia K Mader
{"title":"Retrospective Comparison of Commercially Available Automated Insulin Delivery With Open-Source Automated Insulin Delivery Systems in Type 1 Diabetes.","authors":"Anna Schütz, Birgit Rami-Merhar, Ingrid Schütz-Fuhrmann, Nicole Blauensteiner, Petra Baumann, Tina Pöttler, Julia K Mader","doi":"10.1177/19322968241230106","DOIUrl":null,"url":null,"abstract":"<p><strong>Background: </strong>Automated insulin delivery (AID) systems have shown to improve glycemic control in a range of populations and settings. At the start of this study, only one commercial AID system had entered the Austrian market (MiniMed 670G, Medtronic). However, there is an ever-growing community of people living with type 1 diabetes (PWT1D) using open-source (OS) AID systems.</p><p><strong>Materials and methods: </strong>A total of 144 PWT1D who used either the MiniMed 670G (670G) or OS-AID systems routinely for a period of at least three to a maximum of six months, between February 18, 2020 and January 15, 2023, were retrospectively analyzed (116 670G aged from 2.6 to 71.8 years and 28 OS-AID aged from 3.4 to 53.5 years). The goal is to evaluate and compare the quality of glycemic control of commercially available AID and OS-AID systems and to present all data by an in-depth descriptive analysis of the population. No statistical tests were performed.</p><p><strong>Results: </strong>The PWT1D using OS-AID systems spent more time in range (TIR)<sub>70-180 mg/dL</sub> (81.7% vs 73.9%), less time above range (TAR)<sub>181-250 mg/dL</sub> (11.1% vs 19.6%), less TAR<sub>>250 mg/dL</sub> (2.5% vs 4.3%), and more time below range (TBR)<sub>54-69 mg/dL</sub> (2.2% vs 1.7%) than PWT1D using the 670G system. The TBR<sub><54 mg/dL</sub> was comparable in both groups (0.3% vs 0.4%). In the OS-AID group, median glucose level and glycated hemoglobin (HbA1c) were lower than in the 670G system group (130 vs 150 mg/dL; 6.2% vs 7.0%).</p><p><strong>Conclusion: </strong>In conclusion, both groups were able to achieve satisfactory glycemic outcomes independent of age, gender, and diabetes duration. However, the PWT1D using OS-AID systems attained an even better glycemic control with no clinical safety concerns.</p>","PeriodicalId":15475,"journal":{"name":"Journal of Diabetes Science and Technology","volume":" ","pages":"1060-1067"},"PeriodicalIF":3.7000,"publicationDate":"2025-07-01","publicationTypes":"Journal Article","fieldsOfStudy":null,"isOpenAccess":false,"openAccessPdf":"https://www.ncbi.nlm.nih.gov/pmc/articles/PMC11571566/pdf/","citationCount":"0","resultStr":null,"platform":"Semanticscholar","paperid":null,"PeriodicalName":"Journal of Diabetes Science and Technology","FirstCategoryId":"1085","ListUrlMain":"https://doi.org/10.1177/19322968241230106","RegionNum":0,"RegionCategory":null,"ArticlePicture":[],"TitleCN":null,"AbstractTextCN":null,"PMCID":null,"EPubDate":"2024/2/16 0:00:00","PubModel":"Epub","JCR":"Q2","JCRName":"ENDOCRINOLOGY & METABOLISM","Score":null,"Total":0}
引用次数: 0

Abstract

Background: Automated insulin delivery (AID) systems have shown to improve glycemic control in a range of populations and settings. At the start of this study, only one commercial AID system had entered the Austrian market (MiniMed 670G, Medtronic). However, there is an ever-growing community of people living with type 1 diabetes (PWT1D) using open-source (OS) AID systems.

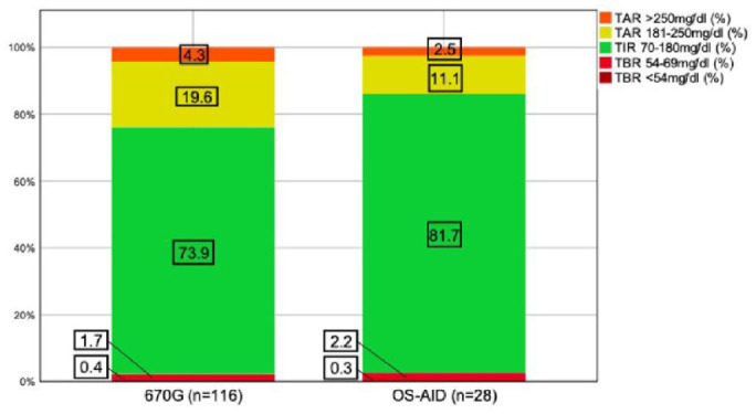
Materials and methods: A total of 144 PWT1D who used either the MiniMed 670G (670G) or OS-AID systems routinely for a period of at least three to a maximum of six months, between February 18, 2020 and January 15, 2023, were retrospectively analyzed (116 670G aged from 2.6 to 71.8 years and 28 OS-AID aged from 3.4 to 53.5 years). The goal is to evaluate and compare the quality of glycemic control of commercially available AID and OS-AID systems and to present all data by an in-depth descriptive analysis of the population. No statistical tests were performed.

Results: The PWT1D using OS-AID systems spent more time in range (TIR)70-180 mg/dL (81.7% vs 73.9%), less time above range (TAR)181-250 mg/dL (11.1% vs 19.6%), less TAR>250 mg/dL (2.5% vs 4.3%), and more time below range (TBR)54-69 mg/dL (2.2% vs 1.7%) than PWT1D using the 670G system. The TBR<54 mg/dL was comparable in both groups (0.3% vs 0.4%). In the OS-AID group, median glucose level and glycated hemoglobin (HbA1c) were lower than in the 670G system group (130 vs 150 mg/dL; 6.2% vs 7.0%).

Conclusion: In conclusion, both groups were able to achieve satisfactory glycemic outcomes independent of age, gender, and diabetes duration. However, the PWT1D using OS-AID systems attained an even better glycemic control with no clinical safety concerns.

Abstract Image

Abstract Image

Abstract Image

1 型糖尿病患者使用市售自动胰岛素输送系统与开源自动胰岛素输送系统的回顾性比较。
背景:胰岛素自动给药系统(AID)在不同人群和环境中都能改善血糖控制。在本研究开始时,只有一种商用 AID 系统进入奥地利市场(MiniMed 670G,美敦力公司)。然而,使用开源 AID 系统的 1 型糖尿病患者(PWT1D)群体却在不断扩大:对 2020 年 2 月 18 日至 2023 年 1 月 15 日期间常规使用 MiniMed 670G (670G) 或 OS-AID 系统至少 3 个月至最多 6 个月的 144 名 1 型糖尿病患者进行了回顾性分析(其中 116 名 670G 患者的年龄在 2.6 岁至 71.8 岁之间,28 名 OS-AID 患者的年龄在 3.4 岁至 53.5 岁之间)。目的是评估和比较市售 AID 系统和 OS-AID 系统的血糖控制质量,并通过对人群的深入描述性分析来展示所有数据。未进行统计检验:结果:与使用 670G 系统的 PWT1D 相比,使用 OS-AID 系统的 PWT1D 在血糖范围内(TIR)70-180 mg/dL 花费的时间更长(81.7% vs 73.9%),在血糖范围以上(TAR)181-250 mg/dL 花费的时间更少(11.1% vs 19.6%),在血糖范围>250 mg/dL 花费的时间更少(2.5% vs 4.3%),在血糖范围以下(TBR)54-69 mg/dL 花费的时间更长(2.2% vs 1.7%)。两组的 TBR 值相当(0.3% vs 0.4%)。OS-AID组的中位血糖水平和糖化血红蛋白(HbA1c)低于670G系统组(130 vs 150 mg/dL; 6.2% vs 7.0%):总之,两组患者的血糖结果都令人满意,与年龄、性别和糖尿病病程无关。不过,使用 OS-AID 系统的 PWT1D 组血糖控制得更好,而且没有临床安全问题。
本文章由计算机程序翻译,如有差异,请以英文原文为准。
求助全文
约1分钟内获得全文 求助全文
来源期刊
Journal of Diabetes Science and Technology
Journal of Diabetes Science and Technology Medicine-Internal Medicine
CiteScore
7.50
自引率
12.00%
发文量
148
期刊介绍: The Journal of Diabetes Science and Technology (JDST) is a bi-monthly, peer-reviewed scientific journal published by the Diabetes Technology Society. JDST covers scientific and clinical aspects of diabetes technology including glucose monitoring, insulin and metabolic peptide delivery, the artificial pancreas, digital health, precision medicine, social media, cybersecurity, software for modeling, physiologic monitoring, technology for managing obesity, and diagnostic tests of glycation. The journal also covers the development and use of mobile applications and wireless communication, as well as bioengineered tools such as MEMS, new biomaterials, and nanotechnology to develop new sensors. Articles in JDST cover both basic research and clinical applications of technologies being developed to help people with diabetes.
×
引用
GB/T 7714-2015
复制
MLA
复制
APA
复制
导出至
BibTeX EndNote RefMan NoteFirst NoteExpress
×
提示
您的信息不完整,为了账户安全,请先补充。
现在去补充
×
提示
您因"违规操作"
具体请查看互助需知
我知道了
×
提示
确定
请完成安全验证×
copy
已复制链接
快去分享给好友吧!
我知道了
右上角分享
点击右上角分享
0
联系我们:info@booksci.cn Book学术提供免费学术资源搜索服务,方便国内外学者检索中英文文献。致力于提供最便捷和优质的服务体验。 Copyright © 2023 布克学术 All rights reserved.
京ICP备2023020795号-1
ghs 京公网安备 11010802042870号
Book学术文献互助
Book学术文献互助群
群 号:604180095
Book学术官方微信