Cannabidiol-Derived Cannabinoids: The Unregulated Designer Drug Market Following the 2018 Farm Bill.

Q1 Medicine
Medical Cannabis and Cannabinoids Pub Date : 2024-02-13 eCollection Date: 2024-01-01 DOI:10.1159/000536339
Charles N Zawatsky, Sara Mills-Huffnagle, Corinne M Augusto, Kent E Vrana, Jennifer E Nyland
{"title":"Cannabidiol-Derived Cannabinoids: The Unregulated Designer Drug Market Following the 2018 Farm Bill.","authors":"Charles N Zawatsky, Sara Mills-Huffnagle, Corinne M Augusto, Kent E Vrana, Jennifer E Nyland","doi":"10.1159/000536339","DOIUrl":null,"url":null,"abstract":"<p><strong>Background: </strong>In this review, we summarize current scientific knowledge on psychoactive cannabinoids synthesized from cannabidiol (CBD) and sold in the semi-legal market established in response to the passage of the US Agriculture Improvement Act of 2018, commonly known as the 2018 Farm Bill. The discussion focuses on recent developments that suggest this unregulated market may be fertile ground for a potential health crisis.</p><p><strong>Summary: </strong>Current research into CBD-derived cannabinoids is mainly limited to Δ<sup>8</sup>-tetrahydrocannabinol (Δ<sup>8</sup>-THC) products, with some recent publications beginning to explore O-acetyl-THC, a term describing the acetate ester of Δ<sup>8</sup>-THC or Δ<sup>9</sup>-THC, and its potential pulmonary toxicity. We advance the discussion on the CBD-derived cannabinoid market, shedding light on the introduction and associated dangers of novel cannabinoids, likely produced via fully synthetic routes using sidechain variants of CBD, with purportedly greater agonist activity at the human cannabinoid receptor 1 (as a source of euphorigenic activity) than Δ<sup>9</sup>-THC. We discuss the expanded incorporation of the acetate ester motif into other THC analogues. We also discuss the lack of regulatory oversight for the production of CBD-derived cannabinoids and the unlabeled presence of under-researched cannabinoids formed as reaction side products in the CBD-derived cannabinoid products being sold. Accordingly, we suggest approaches to monitoring the CBD-derived cannabinoid market and investigating the pharmacology of the cannabinoids being consumed. Finally, important epidemiological findings are discussed and future directions for research are suggested to call investigators to this critically understudied field.</p><p><strong>Key messages: </strong>The CBD-derived cannabinoid market is growing internationally, and the market has diversified to include potent synthetic cannabinoids. The products sold on this unregulated market are under-researched despite growing availability and consumer interest. Ernest investigation of the pharmacology of these novel cannabinoids and the contents of CBD-derived cannabinoid products is critical for monitoring this potential source of another vaping-related epidemic.</p>","PeriodicalId":18415,"journal":{"name":"Medical Cannabis and Cannabinoids","volume":"7 1","pages":"10-18"},"PeriodicalIF":0.0000,"publicationDate":"2024-02-13","publicationTypes":"Journal Article","fieldsOfStudy":null,"isOpenAccess":false,"openAccessPdf":"https://www.ncbi.nlm.nih.gov/pmc/articles/PMC10864014/pdf/","citationCount":"0","resultStr":null,"platform":"Semanticscholar","paperid":null,"PeriodicalName":"Medical Cannabis and Cannabinoids","FirstCategoryId":"1085","ListUrlMain":"https://doi.org/10.1159/000536339","RegionNum":0,"RegionCategory":null,"ArticlePicture":[],"TitleCN":null,"AbstractTextCN":null,"PMCID":null,"EPubDate":"2024/1/1 0:00:00","PubModel":"eCollection","JCR":"Q1","JCRName":"Medicine","Score":null,"Total":0}
引用次数: 0

Abstract

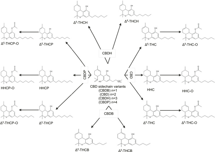
Background: In this review, we summarize current scientific knowledge on psychoactive cannabinoids synthesized from cannabidiol (CBD) and sold in the semi-legal market established in response to the passage of the US Agriculture Improvement Act of 2018, commonly known as the 2018 Farm Bill. The discussion focuses on recent developments that suggest this unregulated market may be fertile ground for a potential health crisis.

Summary: Current research into CBD-derived cannabinoids is mainly limited to Δ8-tetrahydrocannabinol (Δ8-THC) products, with some recent publications beginning to explore O-acetyl-THC, a term describing the acetate ester of Δ8-THC or Δ9-THC, and its potential pulmonary toxicity. We advance the discussion on the CBD-derived cannabinoid market, shedding light on the introduction and associated dangers of novel cannabinoids, likely produced via fully synthetic routes using sidechain variants of CBD, with purportedly greater agonist activity at the human cannabinoid receptor 1 (as a source of euphorigenic activity) than Δ9-THC. We discuss the expanded incorporation of the acetate ester motif into other THC analogues. We also discuss the lack of regulatory oversight for the production of CBD-derived cannabinoids and the unlabeled presence of under-researched cannabinoids formed as reaction side products in the CBD-derived cannabinoid products being sold. Accordingly, we suggest approaches to monitoring the CBD-derived cannabinoid market and investigating the pharmacology of the cannabinoids being consumed. Finally, important epidemiological findings are discussed and future directions for research are suggested to call investigators to this critically understudied field.

Key messages: The CBD-derived cannabinoid market is growing internationally, and the market has diversified to include potent synthetic cannabinoids. The products sold on this unregulated market are under-researched despite growing availability and consumer interest. Ernest investigation of the pharmacology of these novel cannabinoids and the contents of CBD-derived cannabinoid products is critical for monitoring this potential source of another vaping-related epidemic.

Abstract Image

Abstract Image

大麻二酚衍生大麻素:2018 年农业法案》出台后不受管制的特制药物市场。
背景:在这篇综述中,我们总结了目前关于由大麻二酚(CBD)合成并在半合法市场上销售的精神活性大麻素的科学知识,这些半合法市场是根据美国 2018 年农业改进法案(通常称为 2018 年农业法案)的通过而建立的。讨论的重点是最近的一些进展,这些进展表明这个不受监管的市场可能是潜在健康危机的沃土。摘要:目前对 CBD 衍生大麻素的研究主要局限于Δ8-四氢大麻酚(Δ8-THC)产品,最近的一些出版物开始探讨 O-乙酰基-THC(描述Δ8-THC 或Δ9-THC 的乙酸酯的术语)及其潜在的肺毒性。我们推进了对 CBD 衍生大麻素市场的讨论,揭示了新型大麻素的引入和相关危险,这些大麻素很可能是通过使用 CBD 侧链变体的全合成路线生产的,据称对人类大麻素受体 1 的激动活性(作为兴奋活性的来源)比 Δ9-THC更高。我们讨论了乙酸酯基团在其他四氢大麻酚类似物中的广泛应用。我们还讨论了 CBD 衍生大麻素生产缺乏监管的问题,以及在销售的 CBD 衍生大麻素产品中存在未经充分研究的大麻素反应副产品。因此,我们建议采取一些方法来监测 CBD 衍生大麻素市场,并调查所消费的大麻素的药理学。最后,我们讨论了重要的流行病学发现,并提出了未来的研究方向,呼吁调查人员关注这一研究严重不足的领域:源自 CBD 的大麻素市场在国际上不断增长,而且市场已经多样化,包括强效合成大麻素。尽管市场上销售的产品越来越多,消费者的兴趣也越来越大,但对这个不受监管的市场上销售的产品的研究却不足。Ernest 对这些新型大麻素的药理学以及 CBD 衍生大麻素产品的成分进行调查,对于监测另一种与吸食大麻有关的流行病的潜在来源至关重要。
本文章由计算机程序翻译,如有差异,请以英文原文为准。
求助全文
约1分钟内获得全文 求助全文
来源期刊
Medical Cannabis and Cannabinoids
Medical Cannabis and Cannabinoids Medicine-Complementary and Alternative Medicine
CiteScore
6.00
自引率
0.00%
发文量
18
审稿时长
18 weeks
×
引用
GB/T 7714-2015
复制
MLA
复制
APA
复制
导出至
BibTeX EndNote RefMan NoteFirst NoteExpress
×
提示
您的信息不完整,为了账户安全,请先补充。
现在去补充
×
提示
您因"违规操作"
具体请查看互助需知
我知道了
×
提示
确定
请完成安全验证×
copy
已复制链接
快去分享给好友吧!
我知道了
右上角分享
点击右上角分享
0
联系我们:info@booksci.cn Book学术提供免费学术资源搜索服务,方便国内外学者检索中英文文献。致力于提供最便捷和优质的服务体验。 Copyright © 2023 布克学术 All rights reserved.
京ICP备2023020795号-1
ghs 京公网安备 11010802042870号
Book学术文献互助
Book学术文献互助群
群 号:604180095
Book学术官方微信