Synthesis of Silver Nanoparticles by Raoultella Planticola and Their Potential Antibacterial Activity Against Multidrug-Resistant Isolates.

IF 1.5 4区 生物学 Q4 BIOTECHNOLOGY & APPLIED MICROBIOLOGY
Karzan Qurbani, Safin Hussein, Haider Hamzah, Saman Sulaiman, Rzgar Pirot, Elahe Motevaseli, Zahra Azizi
{"title":"Synthesis of Silver Nanoparticles by <i>Raoultella Planticola</i> and Their Potential Antibacterial Activity Against Multidrug-Resistant Isolates.","authors":"Karzan Qurbani, Safin Hussein, Haider Hamzah, Saman Sulaiman, Rzgar Pirot, Elahe Motevaseli, Zahra Azizi","doi":"10.30498/ijb.2022.298773.3121","DOIUrl":null,"url":null,"abstract":"<p><strong>Background: </strong>Nanoparticles can be chemically, physically, or biologically synthesized. Biosynthesis of silver nanoparticles (AgNPs) utilizing microbes is a promising process due to the low toxicity and high stability of AgNPs. Here, AgNPs were fabricated by Gram-negative <i>Raoultella planticola</i>.</p><p><strong>Objectives: </strong>This study aimed to assess the ability of <i>Raoultella planticola</i> to produce nanoparticles (NPs) and evaluate their antibacterial potential against multidrug-resistant pathogens (MDR). Additionally, the study aimed to compare the antibacterial activity of biosynthesized nanoparticles to well-known conventional antibiotics Azithromycin and Tetracycline.</p><p><strong>Materials and methods: </strong>AgNPs were characterized using visual observation, UV-visible spectroscopy (UV-vis), X-ray diffraction (XRD), transmission electron microscopy (TEM), scanning electron microscopy (SEM), and Fourier-transform infrared spectroscopy (FTIR). The TEM and SEM were used to determine the size and shape of the nanoparticles. The XRD data were recorded in the 2θ ranging from 20-80° to analyze the crystalline structure of nanoparticles. The antibacterial activity was detected using a 96-well microtiter plate.</p><p><strong>Results: </strong>The UV-vis absorption recorded from the 300 - 900 nm spectrum was well defined at 420 nm, and the XRD pattern was compatible with Braggs's reflection of the silver nanocrystals. FTIR showed absorbance bands corresponding to different functional groups. TEM and SEM images showed non-uniform spherical and AgNPs of 10-80 nm. XRD data confirmed that the resultant particles are AgNPs. The AgNPs showed effective activity against multi-drug resistant (MDR) <i>Pseudomonas aeruginosa</i>, <i>Salmonella</i> sp., <i>Shigella</i> sp., <i>E. coli</i>, <i>Enterobacter</i> sp., <i>Staphylococcus aureus</i>, and <i>Bacillus cereus</i>. The AgNPs demonstrated effectiveness in lower concentrations compared to broad-spectrum antibiotics.</p><p><strong>Conclusion: </strong>These data reveal that AgNP generated by <i>R. planticola</i> was more efficient against MDR microorganisms than commercial antibiotics. However, the cytotoxicity of these nanoparticles must be further studied.</p>","PeriodicalId":14492,"journal":{"name":"Iranian Journal of Biotechnology","volume":"20 4","pages":"e3121"},"PeriodicalIF":1.5000,"publicationDate":"2022-10-01","publicationTypes":"Journal Article","fieldsOfStudy":null,"isOpenAccess":false,"openAccessPdf":"https://www.ncbi.nlm.nih.gov/pmc/articles/PMC10858361/pdf/","citationCount":"0","resultStr":null,"platform":"Semanticscholar","paperid":null,"PeriodicalName":"Iranian Journal of Biotechnology","FirstCategoryId":"5","ListUrlMain":"https://doi.org/10.30498/ijb.2022.298773.3121","RegionNum":4,"RegionCategory":"生物学","ArticlePicture":[],"TitleCN":null,"AbstractTextCN":null,"PMCID":null,"EPubDate":"","PubModel":"","JCR":"Q4","JCRName":"BIOTECHNOLOGY & APPLIED MICROBIOLOGY","Score":null,"Total":0}
引用次数: 0

Abstract

Background: Nanoparticles can be chemically, physically, or biologically synthesized. Biosynthesis of silver nanoparticles (AgNPs) utilizing microbes is a promising process due to the low toxicity and high stability of AgNPs. Here, AgNPs were fabricated by Gram-negative Raoultella planticola.

Objectives: This study aimed to assess the ability of Raoultella planticola to produce nanoparticles (NPs) and evaluate their antibacterial potential against multidrug-resistant pathogens (MDR). Additionally, the study aimed to compare the antibacterial activity of biosynthesized nanoparticles to well-known conventional antibiotics Azithromycin and Tetracycline.

Materials and methods: AgNPs were characterized using visual observation, UV-visible spectroscopy (UV-vis), X-ray diffraction (XRD), transmission electron microscopy (TEM), scanning electron microscopy (SEM), and Fourier-transform infrared spectroscopy (FTIR). The TEM and SEM were used to determine the size and shape of the nanoparticles. The XRD data were recorded in the 2θ ranging from 20-80° to analyze the crystalline structure of nanoparticles. The antibacterial activity was detected using a 96-well microtiter plate.

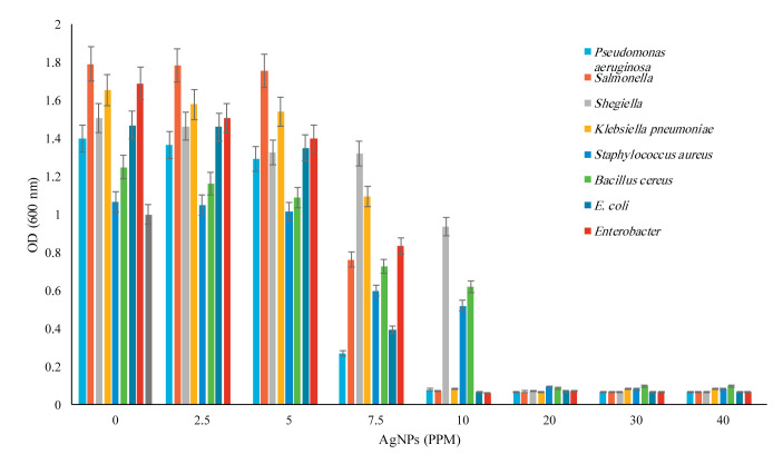
Results: The UV-vis absorption recorded from the 300 - 900 nm spectrum was well defined at 420 nm, and the XRD pattern was compatible with Braggs's reflection of the silver nanocrystals. FTIR showed absorbance bands corresponding to different functional groups. TEM and SEM images showed non-uniform spherical and AgNPs of 10-80 nm. XRD data confirmed that the resultant particles are AgNPs. The AgNPs showed effective activity against multi-drug resistant (MDR) Pseudomonas aeruginosa, Salmonella sp., Shigella sp., E. coli, Enterobacter sp., Staphylococcus aureus, and Bacillus cereus. The AgNPs demonstrated effectiveness in lower concentrations compared to broad-spectrum antibiotics.

Conclusion: These data reveal that AgNP generated by R. planticola was more efficient against MDR microorganisms than commercial antibiotics. However, the cytotoxicity of these nanoparticles must be further studied.

Abstract Image

Abstract Image

Abstract Image

Raoultella Planticola 的银纳米粒子合成及其对耐多药菌株的潜在抗菌活性。
背景:纳米粒子可以通过化学、物理或生物方法合成。由于银纳米粒子(AgNPs)毒性低、稳定性高,利用微生物进行生物合成是一种很有前景的工艺。在此,我们利用革兰氏阴性的植物拉乌尔特氏菌(Raoultella planticola)制造了银纳米粒子:本研究旨在评估植物褐斑癣菌(Raoultella planticola)生产纳米颗粒(NPs)的能力,并评估其对耐多药病原体(MDR)的抗菌潜力。此外,该研究还旨在比较生物合成纳米粒子与著名的传统抗生素阿奇霉素和四环素的抗菌活性:采用肉眼观察、紫外可见光谱(UV-vis)、X 射线衍射(XRD)、透射电子显微镜(TEM)、扫描电子显微镜(SEM)和傅立叶变换红外光谱(FTIR)对 AgNPs 进行表征。透射电子显微镜和扫描电子显微镜用于确定纳米颗粒的尺寸和形状。在 20-80° 的 2θ 范围内记录了 XRD 数据,以分析纳米颗粒的晶体结构。使用 96 孔微孔板检测抗菌活性:从 300 - 900 nm 光谱记录到的紫外-可见吸收在 420 nm 处定义明确,XRD 图样与银纳米晶体的布拉格反射相符。傅立叶变换红外光谱显示了与不同官能团相对应的吸光带。TEM 和 SEM 图像显示出 10-80 纳米的非均匀球形银纳米粒子。XRD 数据证实所产生的颗粒为 AgNPs。AgNPs 对多重耐药(MDR)铜绿假单胞菌、沙门氏菌、志贺氏菌、大肠杆菌、肠杆菌、金黄色葡萄球菌和蜡样芽孢杆菌表现出有效的活性。与广谱抗生素相比,AgNPs 在较低浓度下就能发挥药效:这些数据表明,与商用抗生素相比,植物疫霉产生的 AgNP 对耐药菌微生物更有效。然而,这些纳米粒子的细胞毒性还有待进一步研究。
本文章由计算机程序翻译,如有差异,请以英文原文为准。
求助全文
约1分钟内获得全文 求助全文
来源期刊
Iranian Journal of Biotechnology
Iranian Journal of Biotechnology BIOTECHNOLOGY & APPLIED MICROBIOLOGY-
CiteScore
2.60
自引率
7.70%
发文量
20
期刊介绍: Iranian Journal of Biotechnology (IJB) is published quarterly by the National Institute of Genetic Engineering and Biotechnology. IJB publishes original scientific research papers in the broad area of Biotechnology such as, Agriculture, Animal and Marine Sciences, Basic Sciences, Bioinformatics, Biosafety and Bioethics, Environment, Industry and Mining and Medical Sciences.
×
引用
GB/T 7714-2015
复制
MLA
复制
APA
复制
导出至
BibTeX EndNote RefMan NoteFirst NoteExpress
×
提示
您的信息不完整,为了账户安全,请先补充。
现在去补充
×
提示
您因"违规操作"
具体请查看互助需知
我知道了
×
提示
确定
请完成安全验证×
copy
已复制链接
快去分享给好友吧!
我知道了
右上角分享
点击右上角分享
0
联系我们:info@booksci.cn Book学术提供免费学术资源搜索服务,方便国内外学者检索中英文文献。致力于提供最便捷和优质的服务体验。 Copyright © 2023 布克学术 All rights reserved.
京ICP备2023020795号-1
ghs 京公网安备 11010802042870号
Book学术文献互助
Book学术文献互助群
群 号:604180095
Book学术官方微信