The onset of motor learning impairments in Parkinson's disease: a computational investigation.

IF 4.5 Q1 Computer Science
Ilaria Gigi, Rosa Senatore, Angelo Marcelli
{"title":"The onset of motor learning impairments in Parkinson's disease: a computational investigation.","authors":"Ilaria Gigi, Rosa Senatore, Angelo Marcelli","doi":"10.1186/s40708-023-00215-6","DOIUrl":null,"url":null,"abstract":"<p><p>The basal ganglia (BG) is part of a basic feedback circuit regulating cortical function, such as voluntary movements control, via their influence on thalamocortical projections. BG disorders, namely Parkinson's disease (PD), characterized by the loss of neurons in the substantia nigra, involve the progressive loss of motor functions. At the present, PD is incurable. Converging evidences suggest the onset of PD-specific pathology prior to the appearance of classical motor signs. This latent phase of neurodegeneration in PD is of particular relevance in developing more effective therapies by intervening at the earliest stages of the disease. Therefore, a key challenge in PD research is to identify and validate markers for the preclinical and prodromal stages of the illness. We propose a mechanistic neurocomputational model of the BG at a mesoscopic scale to investigate the behavior of the simulated neural system after several degrees of lesion of the substantia nigra, with the aim of possibly evaluating which is the smallest lesion compromising motor learning. In other words, we developed a working framework for the analysis of theoretical early-stage PD. While simulations in healthy conditions confirm the key role of dopamine in learning, in pathological conditions the network predicts that there may exist abnormalities of the motor learning process, for physiological alterations in the BG, that do not yet involve the presence of symptoms typical of the clinical diagnosis.</p>","PeriodicalId":37465,"journal":{"name":"Brain Informatics","volume":"11 1","pages":"4"},"PeriodicalIF":4.5000,"publicationDate":"2024-01-29","publicationTypes":"Journal Article","fieldsOfStudy":null,"isOpenAccess":false,"openAccessPdf":"https://www.ncbi.nlm.nih.gov/pmc/articles/PMC11333672/pdf/","citationCount":"0","resultStr":null,"platform":"Semanticscholar","paperid":null,"PeriodicalName":"Brain Informatics","FirstCategoryId":"1085","ListUrlMain":"https://doi.org/10.1186/s40708-023-00215-6","RegionNum":0,"RegionCategory":null,"ArticlePicture":[],"TitleCN":null,"AbstractTextCN":null,"PMCID":null,"EPubDate":"","PubModel":"","JCR":"Q1","JCRName":"Computer Science","Score":null,"Total":0}
引用次数: 0

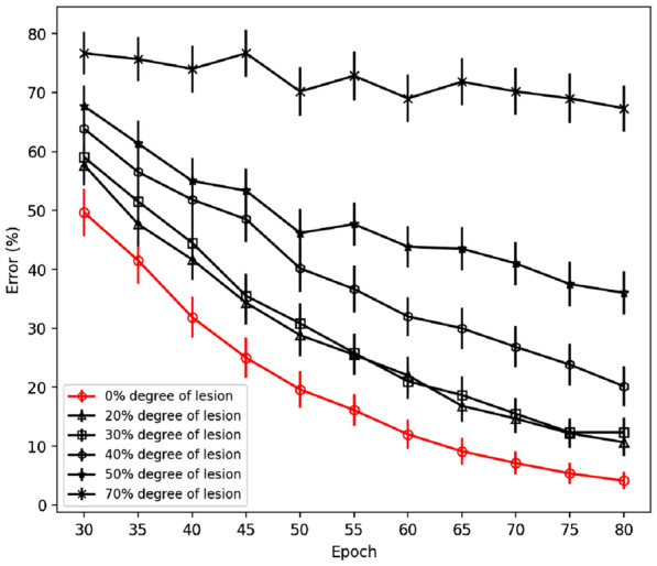
Abstract

The basal ganglia (BG) is part of a basic feedback circuit regulating cortical function, such as voluntary movements control, via their influence on thalamocortical projections. BG disorders, namely Parkinson's disease (PD), characterized by the loss of neurons in the substantia nigra, involve the progressive loss of motor functions. At the present, PD is incurable. Converging evidences suggest the onset of PD-specific pathology prior to the appearance of classical motor signs. This latent phase of neurodegeneration in PD is of particular relevance in developing more effective therapies by intervening at the earliest stages of the disease. Therefore, a key challenge in PD research is to identify and validate markers for the preclinical and prodromal stages of the illness. We propose a mechanistic neurocomputational model of the BG at a mesoscopic scale to investigate the behavior of the simulated neural system after several degrees of lesion of the substantia nigra, with the aim of possibly evaluating which is the smallest lesion compromising motor learning. In other words, we developed a working framework for the analysis of theoretical early-stage PD. While simulations in healthy conditions confirm the key role of dopamine in learning, in pathological conditions the network predicts that there may exist abnormalities of the motor learning process, for physiological alterations in the BG, that do not yet involve the presence of symptoms typical of the clinical diagnosis.

Abstract Image

Abstract Image

Abstract Image

帕金森病运动学习障碍的发生:一项计算研究。
基底神经节(BG)是基本反馈回路的一部分,通过对丘脑皮层投射的影响来调节皮层功能,如自主运动控制。基底神经节疾病,即以黑质神经元缺失为特征的帕金森病(PD),会导致运动功能的逐渐丧失。目前,帕金森病还无法治愈。越来越多的证据表明,在出现典型的运动症状之前,就已经出现了帕金森病的特异性病理现象。帕金森病神经变性的这一潜伏期对于通过在疾病的早期阶段进行干预来开发更有效的疗法具有特别重要的意义。因此,帕金森病研究中的一个关键挑战是确定和验证该病临床前和前驱阶段的标记物。我们提出了一个中观尺度的BG机理神经计算模型,以研究模拟神经系统在黑质发生不同程度病变后的行为,目的是评估哪种病变对运动学习的影响最小。换句话说,我们建立了一个分析早期帕金森病理论的工作框架。健康状态下的模拟证实了多巴胺在学习中的关键作用,而在病理状态下,该网络预测运动学习过程可能存在异常,因为黑质中的生理改变尚未涉及临床诊断的典型症状。
本文章由计算机程序翻译,如有差异,请以英文原文为准。
求助全文
约1分钟内获得全文 求助全文
来源期刊
Brain Informatics
Brain Informatics Computer Science-Computer Science Applications
CiteScore
9.50
自引率
0.00%
发文量
27
审稿时长
13 weeks
期刊介绍: Brain Informatics is an international, peer-reviewed, interdisciplinary open-access journal published under the brand SpringerOpen, which provides a unique platform for researchers and practitioners to disseminate original research on computational and informatics technologies related to brain. This journal addresses the computational, cognitive, physiological, biological, physical, ecological and social perspectives of brain informatics. It also welcomes emerging information technologies and advanced neuro-imaging technologies, such as big data analytics and interactive knowledge discovery related to various large-scale brain studies and their applications. This journal will publish high-quality original research papers, brief reports and critical reviews in all theoretical, technological, clinical and interdisciplinary studies that make up the field of brain informatics and its applications in brain-machine intelligence, brain-inspired intelligent systems, mental health and brain disorders, etc. The scope of papers includes the following five tracks: Track 1: Cognitive and Computational Foundations of Brain Science Track 2: Human Information Processing Systems Track 3: Brain Big Data Analytics, Curation and Management Track 4: Informatics Paradigms for Brain and Mental Health Research Track 5: Brain-Machine Intelligence and Brain-Inspired Computing
×
引用
GB/T 7714-2015
复制
MLA
复制
APA
复制
导出至
BibTeX EndNote RefMan NoteFirst NoteExpress
×
提示
您的信息不完整,为了账户安全,请先补充。
现在去补充
×
提示
您因"违规操作"
具体请查看互助需知
我知道了
×
提示
确定
请完成安全验证×
copy
已复制链接
快去分享给好友吧!
我知道了
右上角分享
点击右上角分享
0
联系我们:info@booksci.cn Book学术提供免费学术资源搜索服务,方便国内外学者检索中英文文献。致力于提供最便捷和优质的服务体验。 Copyright © 2023 布克学术 All rights reserved.
京ICP备2023020795号-1
ghs 京公网安备 11010802042870号
Book学术文献互助
Book学术文献互助群
群 号:604180095
Book学术官方微信