Effect of Denture Cleanser on the Physico-Mechanical Properties of Injection-Molded Thermoplastic Polyamides Denture Base Material: A preliminary Study.

IF 1.8 Q3 DENTISTRY, ORAL SURGERY & MEDICINE
Hazem Mofreh Altarawneh, Mohammed Nasser Alhajj, Nosizana Mohd Salleh, Aeman H H Elkezza, Wan Adida Mahmood
{"title":"Effect of Denture Cleanser on the Physico-Mechanical Properties of Injection-Molded Thermoplastic Polyamides Denture Base Material: A preliminary Study.","authors":"Hazem Mofreh Altarawneh, Mohammed Nasser Alhajj, Nosizana Mohd Salleh, Aeman H H Elkezza, Wan Adida Mahmood","doi":"10.15644/asc57/4/4","DOIUrl":null,"url":null,"abstract":"<p><strong>Objectives: </strong>This study aimed to assess the color stability, surface roughness, and flexural properties of the injection-molded thermoplastic polyamide Vertex ThermoSens denture base resin following a 3-minute immersion in Polident 3-minute denture cleanser.</p><p><strong>Methods: </strong>Sixty specimens (Vertex ThermoSens) were processed and divided into two main groups (n = 30) based on the type of test. Group 1 was further subdivided into two subgroups (n = 15): the control group immersed in distilled water (G1DW) and the test group immersed in Polident cleanser solution (G1PD). Group 2 was divided into three subgroups: a non-immersed group (G2None), a group immersed in distilled water (G2DW), and a group immersed in Polident cleanser solution (G2PD). Color change (∆E) and surface roughness measurements were conducted for group 1, and flexural modulus (<i>E</i>) test was performed for group 2. The CIE Lab* formula was utilized to calculate ∆E. An optical 3D surface analyzer and a three-point bending test were employed for surface roughness and <i>E</i> assessments, respectively. Data were subjected to statistical analysis using a paired-sample t-test for differences within each group before and after immersion. Furthermore, independent-sample t-tests and one-way ANOVA were conducted to analyze differences between groups. A significance level of P < 0.05 was considered.</p><p><strong>Results: </strong>The results revealed a slight, statistically insignificant (P > 0.05) ∆E in all color components (L*, a*, b*) after immersion in distilled water. However, after immersion in the denture cleanser, only the L* component exhibited a statistically significant ∆E (P = 0.002), which was slight in magnitude. Additionally, a significant difference was found in the ∆E between G1DW and G1PD, with G1PD showing a higher change (P = 0.007). A significant increase in surface roughness after immersion was observed in G1PD (P = 0.017), with a notable difference between G1DW and G1PD. However, the <i>E</i> remained unaffected (P = 0.537).</p><p><strong>Conclusion: </strong>Denture cleansers have the potential to modify the properties of thermoplastic polyamide resin. Further research is needed to explore the clinical implications of these observed changes on denture performance.</p>","PeriodicalId":7154,"journal":{"name":"Acta Stomatologica Croatica","volume":"57 4","pages":"329-338"},"PeriodicalIF":1.8000,"publicationDate":"2023-12-01","publicationTypes":"Journal Article","fieldsOfStudy":null,"isOpenAccess":false,"openAccessPdf":"https://www.ncbi.nlm.nih.gov/pmc/articles/PMC10812917/pdf/","citationCount":"0","resultStr":null,"platform":"Semanticscholar","paperid":null,"PeriodicalName":"Acta Stomatologica Croatica","FirstCategoryId":"1085","ListUrlMain":"https://doi.org/10.15644/asc57/4/4","RegionNum":0,"RegionCategory":null,"ArticlePicture":[],"TitleCN":null,"AbstractTextCN":null,"PMCID":null,"EPubDate":"","PubModel":"","JCR":"Q3","JCRName":"DENTISTRY, ORAL SURGERY & MEDICINE","Score":null,"Total":0}
引用次数: 0

Abstract

Objectives: This study aimed to assess the color stability, surface roughness, and flexural properties of the injection-molded thermoplastic polyamide Vertex ThermoSens denture base resin following a 3-minute immersion in Polident 3-minute denture cleanser.

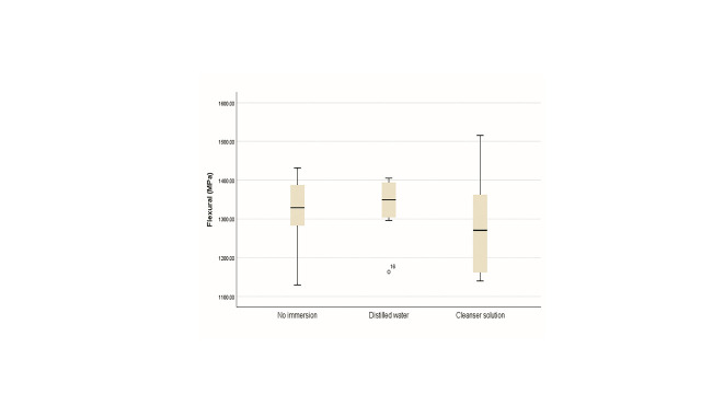
Methods: Sixty specimens (Vertex ThermoSens) were processed and divided into two main groups (n = 30) based on the type of test. Group 1 was further subdivided into two subgroups (n = 15): the control group immersed in distilled water (G1DW) and the test group immersed in Polident cleanser solution (G1PD). Group 2 was divided into three subgroups: a non-immersed group (G2None), a group immersed in distilled water (G2DW), and a group immersed in Polident cleanser solution (G2PD). Color change (∆E) and surface roughness measurements were conducted for group 1, and flexural modulus (E) test was performed for group 2. The CIE Lab* formula was utilized to calculate ∆E. An optical 3D surface analyzer and a three-point bending test were employed for surface roughness and E assessments, respectively. Data were subjected to statistical analysis using a paired-sample t-test for differences within each group before and after immersion. Furthermore, independent-sample t-tests and one-way ANOVA were conducted to analyze differences between groups. A significance level of P < 0.05 was considered.

Results: The results revealed a slight, statistically insignificant (P > 0.05) ∆E in all color components (L*, a*, b*) after immersion in distilled water. However, after immersion in the denture cleanser, only the L* component exhibited a statistically significant ∆E (P = 0.002), which was slight in magnitude. Additionally, a significant difference was found in the ∆E between G1DW and G1PD, with G1PD showing a higher change (P = 0.007). A significant increase in surface roughness after immersion was observed in G1PD (P = 0.017), with a notable difference between G1DW and G1PD. However, the E remained unaffected (P = 0.537).

Conclusion: Denture cleansers have the potential to modify the properties of thermoplastic polyamide resin. Further research is needed to explore the clinical implications of these observed changes on denture performance.

Abstract Image

Abstract Image

Abstract Image

义齿清洁剂对注塑热塑性聚酰胺义齿基托材料物理机械性能的影响:初步研究。
研究目的本研究旨在评估注射成型热塑性聚酰胺 Vertex ThermoSens 义齿基托树脂在 Polident 3 分钟义齿清洁剂中浸泡 3 分钟后的颜色稳定性、表面粗糙度和弯曲性能:处理了 60 个试样(Vertex ThermoSens),并根据测试类型分为两大组(n = 30)。第一组又分为两个亚组(n = 15):浸泡在蒸馏水中的对照组(G1DW)和浸泡在 Polident 洁牙液中的测试组(G1PD)。第 2 组分为三个子组:未浸泡组(G2None)、浸泡在蒸馏水中的试验组(G2DW)和浸泡在 Polident 清洁剂溶液中的试验组(G2PD)。利用 CIE Lab* 公式计算 ∆E。光学三维表面分析仪和三点弯曲测试分别用于评估表面粗糙度和 E。数据采用配对样本 t 检验进行统计分析,以确定浸泡前后各组内的差异。此外,还采用独立样本 t 检验和单因素方差分析来分析组间差异。显著性水平为 P <0.05:结果表明,在蒸馏水中浸泡后,所有颜色成分(L*、a*、b*)的∆E 都有轻微的统计学差异(P > 0.05)。然而,在义齿清洁剂中浸泡后,只有 L* 组分显示出统计学意义上的显著 ∆E (P = 0.002),但程度轻微。此外,G1DW 和 G1PD 的 ∆E 也有显著差异,G1PD 的变化更大(P = 0.007)。在 G1PD 中观察到浸泡后表面粗糙度明显增加(P = 0.017),G1DW 和 G1PD 之间差异明显。结论:义齿清洁剂对义齿表面的清洁具有重要作用:结论:义齿清洁剂有可能改变热塑性聚酰胺树脂的特性。结论:义齿清洁剂有可能改变热塑性聚酰胺树脂的特性,需要进一步研究探讨这些观察到的变化对义齿性能的临床影响。
本文章由计算机程序翻译,如有差异,请以英文原文为准。
求助全文
约1分钟内获得全文 求助全文
来源期刊
Acta Stomatologica Croatica
Acta Stomatologica Croatica DENTISTRY, ORAL SURGERY & MEDICINE-
CiteScore
2.40
自引率
28.60%
发文量
32
审稿时长
12 weeks
期刊介绍: The Acta Stomatologica Croatica (ASCRO) is a leading scientific non-profit journal in the field of dental, oral and cranio-facial sciences during the past 44 years in Croatia. ASCRO publishes original scientific and clinical papers, preliminary communications, case reports, book reviews, letters to the editor and news. Review articles are published by invitation from the Editor-in-Chief by acclaimed professionals in distinct fields of dental medicine. All manuscripts are subjected to peer review process.
×
引用
GB/T 7714-2015
复制
MLA
复制
APA
复制
导出至
BibTeX EndNote RefMan NoteFirst NoteExpress
×
提示
您的信息不完整,为了账户安全,请先补充。
现在去补充
×
提示
您因"违规操作"
具体请查看互助需知
我知道了
×
提示
确定
请完成安全验证×
copy
已复制链接
快去分享给好友吧!
我知道了
右上角分享
点击右上角分享
0
联系我们:info@booksci.cn Book学术提供免费学术资源搜索服务,方便国内外学者检索中英文文献。致力于提供最便捷和优质的服务体验。 Copyright © 2023 布克学术 All rights reserved.
京ICP备2023020795号-1
ghs 京公网安备 11010802042870号
Book学术文献互助
Book学术文献互助群
群 号:604180095
Book学术官方微信