Characterization of a New Immunosuppressive and Antimicrobial Peptide, DRS-DA2, Isolated from the Mexican Frog, Pachymedusa dacnicolor.

IF 2 Q3 IMMUNOLOGY
International Journal of Inflammation Pub Date : 2024-01-13 eCollection Date: 2024-01-01 DOI:10.1155/2024/2205864
Claire Lacombe, Estefania Aleman-Navaro, Thierry Drujon, Veronica Martinez-Osorio, Emmanuelle Sachon, Erika Melchy-Pérez, Ludovic Carlier, Lorena Elizabeth Fajardo Brigido, Yannick Fleury, Christophe Piesse, Guadalupe Gutiérrez-Escobedo, Alejandro De Las Peñas, Irene Castaño, Florie Desriac, Jose Luis Beristain-Hernandez, Christophe Combadiere, Yvonne Rosenstein, Constance Auvynet
{"title":"Characterization of a New Immunosuppressive and Antimicrobial Peptide, DRS-DA2, Isolated from the Mexican Frog, <i>Pachymedusa dacnicolor</i>.","authors":"Claire Lacombe, Estefania Aleman-Navaro, Thierry Drujon, Veronica Martinez-Osorio, Emmanuelle Sachon, Erika Melchy-Pérez, Ludovic Carlier, Lorena Elizabeth Fajardo Brigido, Yannick Fleury, Christophe Piesse, Guadalupe Gutiérrez-Escobedo, Alejandro De Las Peñas, Irene Castaño, Florie Desriac, Jose Luis Beristain-Hernandez, Christophe Combadiere, Yvonne Rosenstein, Constance Auvynet","doi":"10.1155/2024/2205864","DOIUrl":null,"url":null,"abstract":"<p><p>Inflammatory and antimicrobial diseases constitute a major burden for society, and fighting them is a WHO strategic priority. Most of the treatments available to fight inflammatory diseases are anti-inflammatory drugs, such as corticosteroids or immunomodulators that lack cellular specificity and lead to numerous side effects. In addition to suppressing undesired inflammation and reducing disease progression, these drugs lessen the immune system protective functions. Furthermore, treating infectious diseases is more and more challenging due to the rise of microbial resistance to antimicrobial drugs. Thus, controlling the inflammatory process locally without compromising the ability to combat infections is an essential feature in the treatment of inflammatory diseases. We isolated three forms (DRS-DA2N, DRS-DA2NE, and DRS-DA2NEQ) of the same peptide, DRS-DA2, which belongs to the dermaseptin family, from the Mexican tree frog <i>Pachymedusa dacnicolor</i>. Interestingly, DRS-DA2N and DRS-DA2NEQ exhibit a dual activity by inducing the death of leukocytes as well as that of Gram-negative and Gram-positive bacteria, including multiresistant strains, without affecting other cells such as epithelial cells or erythrocytes. We showed that the death of both immune cells and bacteria is induced rapidly by DRS-DA2 and that the membrane is permeabilized, leading to the loss of membrane integrity. We also validated the capacity of DRS-DA2 to regulate the pool of inflammatory cells <i>in vivo</i> in a mouse model of noninfectious peritonitis. After the induction of peritonitis, a local injection of DRS-DA2N could decrease the number of inflammatory cells locally in the peritoneal cavity without inducing a systemic effect, as no changes in the number of inflammatory cells could be detected in blood or in the bone marrow. Collectively, these data suggest that this peptide could be a promising tool in the treatment of inflammatory diseases, such as inflammatory skin diseases, as it could reduce the number of inflammatory cells locally without suppressing the ability to combat infections.</p>","PeriodicalId":14004,"journal":{"name":"International Journal of Inflammation","volume":"2024 ","pages":"2205864"},"PeriodicalIF":2.0000,"publicationDate":"2024-01-13","publicationTypes":"Journal Article","fieldsOfStudy":null,"isOpenAccess":false,"openAccessPdf":"https://www.ncbi.nlm.nih.gov/pmc/articles/PMC10799709/pdf/","citationCount":"0","resultStr":null,"platform":"Semanticscholar","paperid":null,"PeriodicalName":"International Journal of Inflammation","FirstCategoryId":"1085","ListUrlMain":"https://doi.org/10.1155/2024/2205864","RegionNum":0,"RegionCategory":null,"ArticlePicture":[],"TitleCN":null,"AbstractTextCN":null,"PMCID":null,"EPubDate":"2024/1/1 0:00:00","PubModel":"eCollection","JCR":"Q3","JCRName":"IMMUNOLOGY","Score":null,"Total":0}
引用次数: 0

Abstract

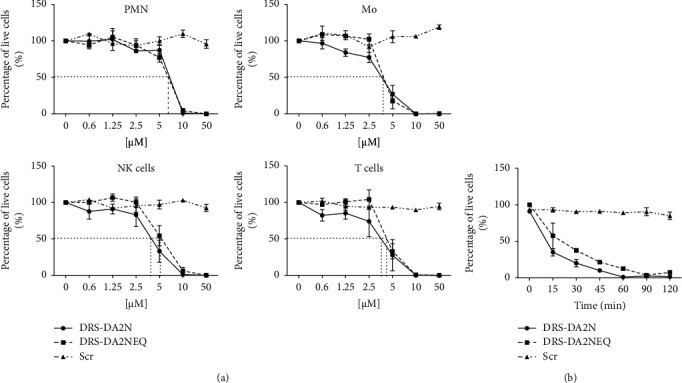
Inflammatory and antimicrobial diseases constitute a major burden for society, and fighting them is a WHO strategic priority. Most of the treatments available to fight inflammatory diseases are anti-inflammatory drugs, such as corticosteroids or immunomodulators that lack cellular specificity and lead to numerous side effects. In addition to suppressing undesired inflammation and reducing disease progression, these drugs lessen the immune system protective functions. Furthermore, treating infectious diseases is more and more challenging due to the rise of microbial resistance to antimicrobial drugs. Thus, controlling the inflammatory process locally without compromising the ability to combat infections is an essential feature in the treatment of inflammatory diseases. We isolated three forms (DRS-DA2N, DRS-DA2NE, and DRS-DA2NEQ) of the same peptide, DRS-DA2, which belongs to the dermaseptin family, from the Mexican tree frog Pachymedusa dacnicolor. Interestingly, DRS-DA2N and DRS-DA2NEQ exhibit a dual activity by inducing the death of leukocytes as well as that of Gram-negative and Gram-positive bacteria, including multiresistant strains, without affecting other cells such as epithelial cells or erythrocytes. We showed that the death of both immune cells and bacteria is induced rapidly by DRS-DA2 and that the membrane is permeabilized, leading to the loss of membrane integrity. We also validated the capacity of DRS-DA2 to regulate the pool of inflammatory cells in vivo in a mouse model of noninfectious peritonitis. After the induction of peritonitis, a local injection of DRS-DA2N could decrease the number of inflammatory cells locally in the peritoneal cavity without inducing a systemic effect, as no changes in the number of inflammatory cells could be detected in blood or in the bone marrow. Collectively, these data suggest that this peptide could be a promising tool in the treatment of inflammatory diseases, such as inflammatory skin diseases, as it could reduce the number of inflammatory cells locally without suppressing the ability to combat infections.

Abstract Image

Abstract Image

Abstract Image

从墨西哥蛙 Pachymedusa dacnicolor 中分离出的新型免疫抑制和抗菌肽 DRS-DA2 的特性。
炎症和抗微生物疾病是社会的一大负担,防治这些疾病是世卫组织的战略重点。现有的抗炎治疗方法大多是抗炎药物,如皮质类固醇或免疫调节剂,这些药物缺乏细胞特异性,会导致许多副作用。除了抑制不良炎症和减少疾病进展外,这些药物还会削弱免疫系统的保护功能。此外,由于微生物对抗菌药物产生抗药性,治疗传染性疾病越来越具有挑战性。因此,在不影响抗感染能力的情况下局部控制炎症过程是治疗炎症性疾病的一个基本特征。我们从墨西哥树蛙 Pachymedusa dacnicolor 身上分离出了同一种肽 DRS-DA2 的三种形式(DRS-DA2N、DRS-DA2NE 和 DRS-DA2NEQ),DRS-DA2 属于皮肤肽家族。有趣的是,DRS-DA2N 和 DRS-DA2NEQ 具有双重活性,能诱导白细胞以及革兰氏阴性菌和革兰氏阳性菌(包括多重耐药菌株)死亡,而不影响上皮细胞或红细胞等其他细胞。我们的研究表明,DRS-DA2 能迅速诱导免疫细胞和细菌死亡,并使细胞膜通透,导致膜完整性丧失。我们还在非感染性腹膜炎小鼠模型中验证了 DRS-DA2 调节体内炎症细胞池的能力。在诱导腹膜炎后,局部注射 DRS-DA2N 可减少腹腔局部炎症细胞的数量,而不会引起全身效应,因为在血液或骨髓中检测不到炎症细胞数量的变化。总之,这些数据表明,这种多肽可以在不抑制抗感染能力的情况下减少局部炎症细胞的数量,因此有望成为治疗炎症性疾病(如炎症性皮肤病)的一种工具。
本文章由计算机程序翻译,如有差异,请以英文原文为准。
求助全文
约1分钟内获得全文 求助全文
来源期刊
CiteScore
3.80
自引率
0.00%
发文量
16
审稿时长
16 weeks
×
引用
GB/T 7714-2015
复制
MLA
复制
APA
复制
导出至
BibTeX EndNote RefMan NoteFirst NoteExpress
×
提示
您的信息不完整,为了账户安全,请先补充。
现在去补充
×
提示
您因"违规操作"
具体请查看互助需知
我知道了
×
提示
确定
请完成安全验证×
copy
已复制链接
快去分享给好友吧!
我知道了
右上角分享
点击右上角分享
0
联系我们:info@booksci.cn Book学术提供免费学术资源搜索服务,方便国内外学者检索中英文文献。致力于提供最便捷和优质的服务体验。 Copyright © 2023 布克学术 All rights reserved.
京ICP备2023020795号-1
ghs 京公网安备 11010802042870号
Book学术文献互助
Book学术文献互助群
群 号:604180095
Book学术官方微信