Survival Outcomes of Patients with Mantle Cell Lymphoma: A Retrospective, 15-Year, Real-Life Study.

IF 1.2 Q4 HEMATOLOGY
Emanuele Cencini, Natale Calomino, Marta Franceschini, Andreea Dragomir, Sara Fredducci, Beatrice Esposito Vangone, Giulia Lucco Navei, Alberto Fabbri, Monica Bocchia
{"title":"Survival Outcomes of Patients with Mantle Cell Lymphoma: A Retrospective, 15-Year, Real-Life Study.","authors":"Emanuele Cencini, Natale Calomino, Marta Franceschini, Andreea Dragomir, Sara Fredducci, Beatrice Esposito Vangone, Giulia Lucco Navei, Alberto Fabbri, Monica Bocchia","doi":"10.3390/hematolrep16010006","DOIUrl":null,"url":null,"abstract":"<p><p>Mantle cell lymphoma (MCL) prognosis has significantly improved in recent years; however, the possible survival benefit of new treatment options should be evaluated outside of clinical trials. We investigated 73 consecutive MCL patients managed from 2006 to 2020. For younger patients <65 years old, the median PFS was 72 months and we reported a 2-year, 5-year, and 10-year PFS of 73%, 62%, and 41%; median OS was not reached and we reported a 2-year, 5-year, and 10-year OS of 88%, 82%, and 66%. For patients aged 75 years or older, the median PFS was 36 months and we reported a 2-year, 5-year, and 10-year PFS of 52%, 37%, and 37%; median OS was not reached and we reported a 2-year, 5-year, and 10-year OS of 72%, 55%, and 55%. The median PFS was significantly reduced for patients treated between 2006 and 2010 compared to patients treated between 2011 and 2015 (<i>p</i> = 0.04). Interestingly, there was a trend towards improved OS for patients treated between 2016 and 2020 compared to between 2006 and 2010 and between 2011 and 2015 (5-year OS was 91%, 44%, and 33%). These findings could be due to the introduction of BR as a first-line regimen for elderly patients and to the introduction of ibrutinib as a second-line regimen.</p>","PeriodicalId":12829,"journal":{"name":"Hematology Reports","volume":"16 1","pages":"50-62"},"PeriodicalIF":1.2000,"publicationDate":"2024-01-18","publicationTypes":"Journal Article","fieldsOfStudy":null,"isOpenAccess":false,"openAccessPdf":"https://www.ncbi.nlm.nih.gov/pmc/articles/PMC10801596/pdf/","citationCount":"0","resultStr":null,"platform":"Semanticscholar","paperid":null,"PeriodicalName":"Hematology Reports","FirstCategoryId":"1085","ListUrlMain":"https://doi.org/10.3390/hematolrep16010006","RegionNum":0,"RegionCategory":null,"ArticlePicture":[],"TitleCN":null,"AbstractTextCN":null,"PMCID":null,"EPubDate":"","PubModel":"","JCR":"Q4","JCRName":"HEMATOLOGY","Score":null,"Total":0}
引用次数: 0

Abstract

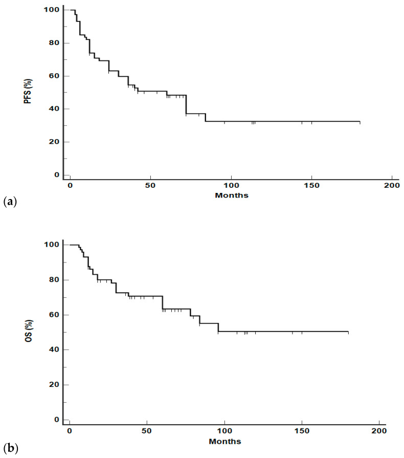
Mantle cell lymphoma (MCL) prognosis has significantly improved in recent years; however, the possible survival benefit of new treatment options should be evaluated outside of clinical trials. We investigated 73 consecutive MCL patients managed from 2006 to 2020. For younger patients <65 years old, the median PFS was 72 months and we reported a 2-year, 5-year, and 10-year PFS of 73%, 62%, and 41%; median OS was not reached and we reported a 2-year, 5-year, and 10-year OS of 88%, 82%, and 66%. For patients aged 75 years or older, the median PFS was 36 months and we reported a 2-year, 5-year, and 10-year PFS of 52%, 37%, and 37%; median OS was not reached and we reported a 2-year, 5-year, and 10-year OS of 72%, 55%, and 55%. The median PFS was significantly reduced for patients treated between 2006 and 2010 compared to patients treated between 2011 and 2015 (p = 0.04). Interestingly, there was a trend towards improved OS for patients treated between 2016 and 2020 compared to between 2006 and 2010 and between 2011 and 2015 (5-year OS was 91%, 44%, and 33%). These findings could be due to the introduction of BR as a first-line regimen for elderly patients and to the introduction of ibrutinib as a second-line regimen.

Abstract Image

Abstract Image

Abstract Image

套细胞淋巴瘤患者的生存结果:一项为期 15 年的回顾性真实生活研究。
近年来,套细胞淋巴瘤(MCL)的预后已明显改善;然而,新治疗方案可能带来的生存益处应在临床试验之外进行评估。我们调查了 2006 年至 2020 年连续接受治疗的 73 例 MCL 患者。对于年轻患者,P = 0.04)。有趣的是,与2006年至2010年以及2011年至2015年相比,2016年至2020年接受治疗的患者的OS有改善的趋势(5年OS分别为91%、44%和33%)。这些发现可能是由于将BR作为老年患者的一线治疗方案,以及将伊布替尼作为二线治疗方案。
本文章由计算机程序翻译,如有差异,请以英文原文为准。
求助全文
约1分钟内获得全文 求助全文
来源期刊
Hematology Reports
Hematology Reports HEMATOLOGY-
CiteScore
0.90
自引率
0.00%
发文量
47
审稿时长
10 weeks
×
引用
GB/T 7714-2015
复制
MLA
复制
APA
复制
导出至
BibTeX EndNote RefMan NoteFirst NoteExpress
×
提示
您的信息不完整,为了账户安全,请先补充。
现在去补充
×
提示
您因"违规操作"
具体请查看互助需知
我知道了
×
提示
确定
请完成安全验证×
copy
已复制链接
快去分享给好友吧!
我知道了
右上角分享
点击右上角分享
0
联系我们:info@booksci.cn Book学术提供免费学术资源搜索服务,方便国内外学者检索中英文文献。致力于提供最便捷和优质的服务体验。 Copyright © 2023 布克学术 All rights reserved.
京ICP备2023020795号-1
ghs 京公网安备 11010802042870号
Book学术文献互助
Book学术文献互助群
群 号:604180095
Book学术官方微信