Breathing Pattern Response after 6 Weeks of Inspiratory Muscle Training during Exercise.

IF 2.3 Q3 RESPIRATORY SYSTEM
Eduardo Salazar-Martínez
{"title":"Breathing Pattern Response after 6 Weeks of Inspiratory Muscle Training during Exercise.","authors":"Eduardo Salazar-Martínez","doi":"10.3390/arm92010008","DOIUrl":null,"url":null,"abstract":"<p><p>(1) Background: The breathing pattern is defined as the relationship between the tidal volume (VT) and breathing frequency (BF) for a given VE. The aim of this study was to evaluate whether inspiratory muscle training influenced the response of the breathing pattern during an incremental effort in amateur cyclists. (2) Methods: Eighteen amateur cyclists completed an incremental test to exhaustion, and a gas analysis on a cycle ergometer and spirometry were conducted. Cyclists were randomly assigned to two groups (IMTG = 9; CON = 9). The IMTG completed 6 weeks of inspiratory muscle training (IMT) using a PowerBreathe K3<sup>®</sup> device at 50% of the maximum inspiratory pressure (Pimax). The workload was adjusted weekly. The CON did not carry out any inspiratory training during the experimental period. After the 6-week intervention, the cyclists repeated the incremental exercise test, and the gas analysis and spirometry were conducted. The response of the breathing pattern was evaluated during the incremental exercise test. (3) Results: The Pimax increased in the IMTG (<i>p</i> < 0.05; d = 3.1; +19.62%). Variables related to the breathing pattern response showed no differences between groups after the intervention (EXPvsCON; <i>p</i> > 0.05). Likewise, no differences in breathing pattern were found in the IMTG after training (PREvsPOST; <i>p</i> > 0.05). (4) Conclusions: IMT improved the strength of inspiratory muscles and sport performance in amateur cyclists. These changes were not attributed to alterations in the response of the breathing pattern.</p>","PeriodicalId":7391,"journal":{"name":"Advances in respiratory medicine","volume":"92 1","pages":"58-65"},"PeriodicalIF":2.3000,"publicationDate":"2024-01-17","publicationTypes":"Journal Article","fieldsOfStudy":null,"isOpenAccess":false,"openAccessPdf":"https://www.ncbi.nlm.nih.gov/pmc/articles/PMC10801573/pdf/","citationCount":"0","resultStr":null,"platform":"Semanticscholar","paperid":null,"PeriodicalName":"Advances in respiratory medicine","FirstCategoryId":"1085","ListUrlMain":"https://doi.org/10.3390/arm92010008","RegionNum":0,"RegionCategory":null,"ArticlePicture":[],"TitleCN":null,"AbstractTextCN":null,"PMCID":null,"EPubDate":"","PubModel":"","JCR":"Q3","JCRName":"RESPIRATORY SYSTEM","Score":null,"Total":0}
引用次数: 0

Abstract

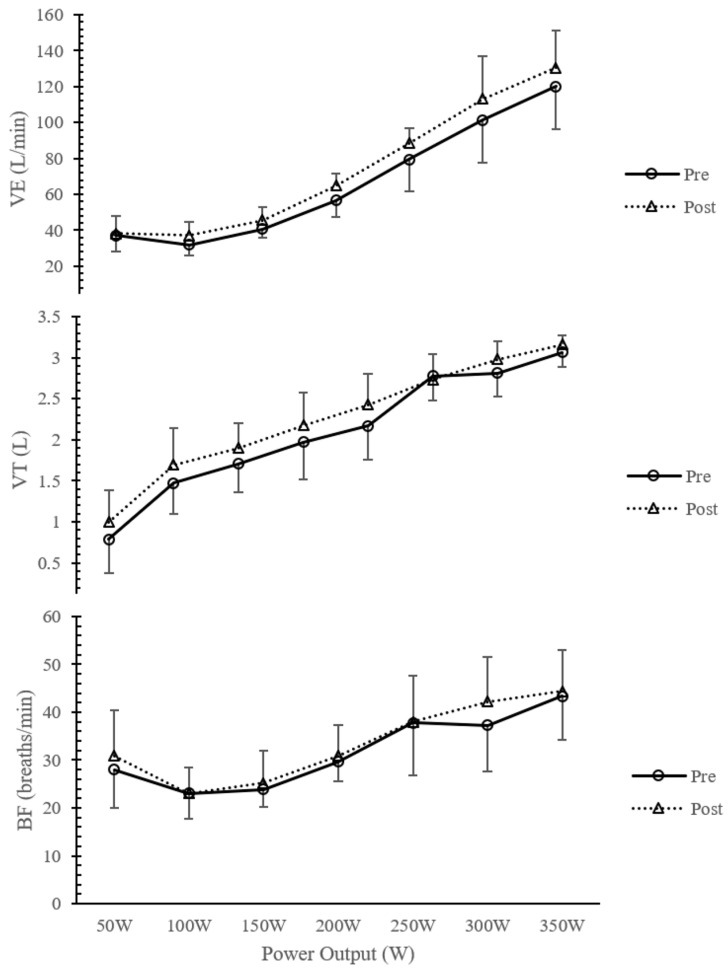
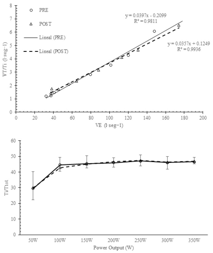
(1) Background: The breathing pattern is defined as the relationship between the tidal volume (VT) and breathing frequency (BF) for a given VE. The aim of this study was to evaluate whether inspiratory muscle training influenced the response of the breathing pattern during an incremental effort in amateur cyclists. (2) Methods: Eighteen amateur cyclists completed an incremental test to exhaustion, and a gas analysis on a cycle ergometer and spirometry were conducted. Cyclists were randomly assigned to two groups (IMTG = 9; CON = 9). The IMTG completed 6 weeks of inspiratory muscle training (IMT) using a PowerBreathe K3® device at 50% of the maximum inspiratory pressure (Pimax). The workload was adjusted weekly. The CON did not carry out any inspiratory training during the experimental period. After the 6-week intervention, the cyclists repeated the incremental exercise test, and the gas analysis and spirometry were conducted. The response of the breathing pattern was evaluated during the incremental exercise test. (3) Results: The Pimax increased in the IMTG (p < 0.05; d = 3.1; +19.62%). Variables related to the breathing pattern response showed no differences between groups after the intervention (EXPvsCON; p > 0.05). Likewise, no differences in breathing pattern were found in the IMTG after training (PREvsPOST; p > 0.05). (4) Conclusions: IMT improved the strength of inspiratory muscles and sport performance in amateur cyclists. These changes were not attributed to alterations in the response of the breathing pattern.

Abstract Image

Abstract Image

Abstract Image

运动时进行 6 周吸气肌肉训练后的呼吸模式反应
(1) 背景:呼吸模式是指在给定 VE 的情况下,潮气量(VT)和呼吸频率(BF)之间的关系。本研究旨在评估吸气肌肉训练是否会影响业余自行车运动员在增量努力过程中的呼吸模式反应。(2)方法:18 名业余自行车运动员完成了增量测试,并在自行车测力计上进行了气体分析和肺活量测定。自行车运动员被随机分配到两组(IMTG=9;CON=9)。IMTG组使用PowerBreathe K3®设备,以50%的最大吸气压力(Pimax)完成为期6周的吸气肌肉训练(IMT)。每周调整工作量。在实验期间,CON 没有进行任何吸气训练。为期 6 周的干预结束后,骑车者重复了增量运动测试,并进行了气体分析和肺活量测定。在增量运动测试期间,对呼吸模式的反应进行了评估。(3)结果:IMTG 的 Pimax 增加了(p < 0.05; d = 3.1; +19.62%)。与呼吸模式反应相关的变量显示,干预后各组之间没有差异(EXPvsCON;P > 0.05)。同样,IMTG 在训练后的呼吸模式也没有发现差异(PREVSPOST;P > 0.05)。(4) 结论:IMT 改善了业余自行车运动员的吸气肌肉力量和运动表现。这些变化并不是因为呼吸模式的反应发生了改变。
本文章由计算机程序翻译,如有差异,请以英文原文为准。
求助全文
约1分钟内获得全文 求助全文
来源期刊
Advances in respiratory medicine
Advances in respiratory medicine RESPIRATORY SYSTEM-
CiteScore
2.60
自引率
0.00%
发文量
90
期刊介绍: "Advances in Respiratory Medicine" is a new international title for "Pneumonologia i Alergologia Polska", edited bimonthly and addressed to respiratory professionals. The Journal contains peer-reviewed original research papers, short communications, case-reports, recommendations of the Polish Respiratory Society concerning the diagnosis and treatment of lung diseases, editorials, postgraduate education articles, letters and book reviews in the field of pneumonology, allergology, oncology, immunology and infectious diseases. "Advances in Respiratory Medicine" is an open access, official journal of Polish Society of Lung Diseases, Polish Society of Allergology and National Research Institute of Tuberculosis and Lung Diseases.
×
引用
GB/T 7714-2015
复制
MLA
复制
APA
复制
导出至
BibTeX EndNote RefMan NoteFirst NoteExpress
×
提示
您的信息不完整,为了账户安全,请先补充。
现在去补充
×
提示
您因"违规操作"
具体请查看互助需知
我知道了
×
提示
确定
请完成安全验证×
copy
已复制链接
快去分享给好友吧!
我知道了
右上角分享
点击右上角分享
0
联系我们:info@booksci.cn Book学术提供免费学术资源搜索服务,方便国内外学者检索中英文文献。致力于提供最便捷和优质的服务体验。 Copyright © 2023 布克学术 All rights reserved.
京ICP备2023020795号-1
ghs 京公网安备 11010802042870号
Book学术文献互助
Book学术文献互助群
群 号:604180095
Book学术官方微信