Pharmacokinetics of low doses of colchicine in the leukocytes of Japanese healthy individuals.

IF 1.5 Q4 PHARMACOLOGY & PHARMACY
Translational and Clinical Pharmacology Pub Date : 2023-12-01 Epub Date: 2023-12-12 DOI:10.12793/tcp.2023.31.e19
Akiko Mutoh, Hitoshi Uehara, Asano Maeda, Akihiro Tokushige, Yasushi Higashiuesato, Mika Maeda, Yuji Kumagai, Shinichiro Ueda
{"title":"Pharmacokinetics of low doses of colchicine in the leukocytes of Japanese healthy individuals.","authors":"Akiko Mutoh, Hitoshi Uehara, Asano Maeda, Akihiro Tokushige, Yasushi Higashiuesato, Mika Maeda, Yuji Kumagai, Shinichiro Ueda","doi":"10.12793/tcp.2023.31.e19","DOIUrl":null,"url":null,"abstract":"<p><p>The venerable drug colchicine has garnered significant recent attention due to its endorsement by the United States Food and Drug Administration as an anti-inflammatory medication for cardiovascular diseases. However, the administration of this drug at its minimal available dose of 0.5 mg has been associated with certain adverse reactions. Once colchicine is administered, the drug disappears from blood in a short time and distributes in the leukocytes for a certain period of time that elicits anti-inflammatory effect. Consequently, an in-depth comprehension of the pharmacokinetics of lower dosages within leukocytes assumes important for its broader application in routine clinical contexts. In this study, we present a comprehensive analysis of the pharmacological disposition of colchicine in the plasma, polymorphonuclear leukocytes, and mononuclear leukocytes among healthy Japanese male subjects, following both single and multiple oral administrations of 0.5 mg and 0.25 mg doses of colchicine. Our investigation reveals that colchicine persists within leukocyte populations even when administered at reduced dosages. The findings herein hold promise for mitigating the adverse effects associated with its use in the treatment of inflammatory cardiovascular disorders.</p>","PeriodicalId":23288,"journal":{"name":"Translational and Clinical Pharmacology","volume":"31 4","pages":"217-225"},"PeriodicalIF":1.5000,"publicationDate":"2023-12-01","publicationTypes":"Journal Article","fieldsOfStudy":null,"isOpenAccess":false,"openAccessPdf":"https://www.ncbi.nlm.nih.gov/pmc/articles/PMC10772056/pdf/","citationCount":"0","resultStr":null,"platform":"Semanticscholar","paperid":null,"PeriodicalName":"Translational and Clinical Pharmacology","FirstCategoryId":"1085","ListUrlMain":"https://doi.org/10.12793/tcp.2023.31.e19","RegionNum":0,"RegionCategory":null,"ArticlePicture":[],"TitleCN":null,"AbstractTextCN":null,"PMCID":null,"EPubDate":"2023/12/12 0:00:00","PubModel":"Epub","JCR":"Q4","JCRName":"PHARMACOLOGY & PHARMACY","Score":null,"Total":0}
引用次数: 0

Abstract

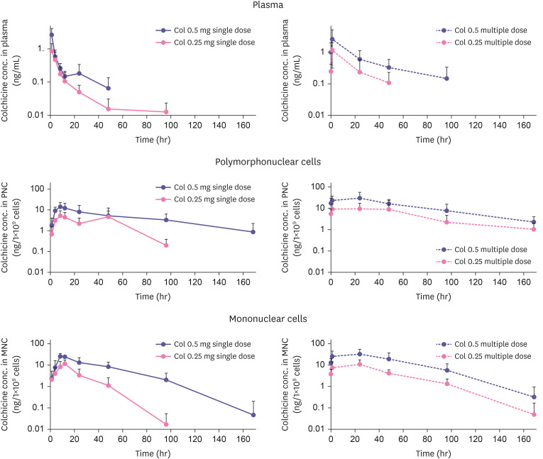
The venerable drug colchicine has garnered significant recent attention due to its endorsement by the United States Food and Drug Administration as an anti-inflammatory medication for cardiovascular diseases. However, the administration of this drug at its minimal available dose of 0.5 mg has been associated with certain adverse reactions. Once colchicine is administered, the drug disappears from blood in a short time and distributes in the leukocytes for a certain period of time that elicits anti-inflammatory effect. Consequently, an in-depth comprehension of the pharmacokinetics of lower dosages within leukocytes assumes important for its broader application in routine clinical contexts. In this study, we present a comprehensive analysis of the pharmacological disposition of colchicine in the plasma, polymorphonuclear leukocytes, and mononuclear leukocytes among healthy Japanese male subjects, following both single and multiple oral administrations of 0.5 mg and 0.25 mg doses of colchicine. Our investigation reveals that colchicine persists within leukocyte populations even when administered at reduced dosages. The findings herein hold promise for mitigating the adverse effects associated with its use in the treatment of inflammatory cardiovascular disorders.

Abstract Image

Abstract Image

Abstract Image

低剂量秋水仙碱在日本健康人白细胞中的药代动力学。
由于美国食品和药物管理局认可秋水仙碱为治疗心血管疾病的抗炎药物,这种古老的药物近来备受关注。然而,以 0.5 毫克的最小可用剂量服用这种药物会产生某些不良反应。一旦服用秋水仙碱,药物会在短时间内从血液中消失,并在白细胞中分布一段时间,从而产生抗炎作用。因此,深入了解低剂量药物在白细胞内的药代动力学对其在常规临床中的广泛应用非常重要。在本研究中,我们对健康的日本男性受试者单次和多次口服 0.5 毫克和 0.25 毫克剂量的秋水仙碱后,秋水仙碱在血浆、多形核白细胞和单核白细胞中的药理处置进行了全面分析。我们的调查显示,即使减少给药剂量,秋水仙碱也会在白细胞群中持续存在。这些发现有望减轻秋水仙碱在治疗心血管炎症性疾病时产生的不良反应。
本文章由计算机程序翻译,如有差异,请以英文原文为准。
求助全文
约1分钟内获得全文 求助全文
来源期刊
Translational and Clinical Pharmacology
Translational and Clinical Pharmacology Medicine-Pharmacology (medical)
CiteScore
1.60
自引率
11.10%
发文量
17
期刊介绍: Translational and Clinical Pharmacology (Transl Clin Pharmacol, TCP) is the official journal of the Korean Society for Clinical Pharmacology and Therapeutics (KSCPT). TCP is an interdisciplinary journal devoted to the dissemination of knowledge relating to all aspects of translational and clinical pharmacology. The categories for publication include pharmacokinetics (PK) and drug disposition, drug metabolism, pharmacodynamics (PD), clinical trials and design issues, pharmacogenomics and pharmacogenetics, pharmacometrics, pharmacoepidemiology, pharmacovigilence, and human pharmacology. Studies involving animal models, pharmacological characterization, and clinical trials are appropriate for consideration.
×
引用
GB/T 7714-2015
复制
MLA
复制
APA
复制
导出至
BibTeX EndNote RefMan NoteFirst NoteExpress
×
提示
您的信息不完整,为了账户安全,请先补充。
现在去补充
×
提示
您因"违规操作"
具体请查看互助需知
我知道了
×
提示
确定
请完成安全验证×
copy
已复制链接
快去分享给好友吧!
我知道了
右上角分享
点击右上角分享
0
联系我们:info@booksci.cn Book学术提供免费学术资源搜索服务,方便国内外学者检索中英文文献。致力于提供最便捷和优质的服务体验。 Copyright © 2023 布克学术 All rights reserved.
京ICP备2023020795号-1
ghs 京公网安备 11010802042870号
Book学术文献互助
Book学术文献互助群
群 号:604180095
Book学术官方微信