[Utility of the medial region of pro-adrenomodulin for the detection of true bacteremia in elderly patients treated in the emergency department for suspected infection].

IF 2.2 4区 医学 Q4 MICROBIOLOGY
Revista Espanola De Quimioterapia Pub Date : 2024-02-01 Epub Date: 2023-12-18 DOI:10.37201/req/110.2023
M C Yañez Palma, F Roman, F Llopis-Roca, M Fragiel, A Julián Jiménez, F J Martín-Sánchez, J González Del Castillo
{"title":"[Utility of the medial region of pro-adrenomodulin for the detection of true bacteremia in elderly patients treated in the emergency department for suspected infection].","authors":"M C Yañez Palma, F Roman, F Llopis-Roca, M Fragiel, A Julián Jiménez, F J Martín-Sánchez, J González Del Castillo","doi":"10.37201/req/110.2023","DOIUrl":null,"url":null,"abstract":"<p><strong>Objective: </strong>The prediction of bacteremia in the emergency department (ER) is important for initial decision-making. The elderly population is a diagnosis challenge. The objective was to evaluate the accuracy of mid regional pro-adrenomedullin (MR-proADM) to identify true bacteremia (BV) in elderly patients attended in 3 hospital emergency departments.</p><p><strong>Methods: </strong>Observational study including patients ≥75 years of age or older attended in the ER for suspected infection in whom a blood culture (BC) was extracted. Sociodemographic, comorbidity, hemodynamic and analytical variables, biomarkers [MR-proADM, procalcitonin (PCT), C-reactive protein (CRP) and lactate] and final diagnosis were collected. The primary outcome was a true positive on a blood culture.</p><p><strong>Results: </strong>A total of 109 patients with a mean age of 83 (SD: 5.5) years were included. A final diagnosis of BV was obtained in 22 patients (20.2%). The independent variables to predict it were PCT (OR: 13.9; CI95%: 2.702-71.703; p=0.002), MR-proADM (OR: 4.081; CI95%: 1.026-16.225; p=0.046) and temperature (OR: 2.171; CI95%: 1.109-4.248; p=0.024). Considering the cut-off point for MR-proADM (2.13 mg/dl), a sensitivity (Se) of 73%, specificity (E) of 71%, a positive predictive value (PPV) of 39%, a negative predictive value (NPV) of 91%, a positive likelihood ratio (LHR+) of 2.53 and a negative likelihood ratio (LHR-) of 0.38; for PCT (0.76 mg/dl) a Se of 90%, E of 65%, PPV of 40%, NPV of 96%, LHR+ 2,64 and a LHR- of 0.14 were obtained. When combining both, a Se of 69%, E of 84%, PPV of 52%, NPV of 91%, LHR+ of 4.24 and LHR- of 0.38 were observed.</p><p><strong>Conclusions: </strong>Elevated levels of PCT and MR-proADM were independently associated with an increased risk of BV and the combination of both improves the accuracy to identify these patients.</p>","PeriodicalId":21232,"journal":{"name":"Revista Espanola De Quimioterapia","volume":" ","pages":"78-87"},"PeriodicalIF":2.2000,"publicationDate":"2024-02-01","publicationTypes":"Journal Article","fieldsOfStudy":null,"isOpenAccess":false,"openAccessPdf":"https://www.ncbi.nlm.nih.gov/pmc/articles/PMC10874664/pdf/","citationCount":"0","resultStr":null,"platform":"Semanticscholar","paperid":null,"PeriodicalName":"Revista Espanola De Quimioterapia","FirstCategoryId":"3","ListUrlMain":"https://doi.org/10.37201/req/110.2023","RegionNum":4,"RegionCategory":"医学","ArticlePicture":[],"TitleCN":null,"AbstractTextCN":null,"PMCID":null,"EPubDate":"2023/12/18 0:00:00","PubModel":"Epub","JCR":"Q4","JCRName":"MICROBIOLOGY","Score":null,"Total":0}
引用次数: 0

Abstract

Objective: The prediction of bacteremia in the emergency department (ER) is important for initial decision-making. The elderly population is a diagnosis challenge. The objective was to evaluate the accuracy of mid regional pro-adrenomedullin (MR-proADM) to identify true bacteremia (BV) in elderly patients attended in 3 hospital emergency departments.

Methods: Observational study including patients ≥75 years of age or older attended in the ER for suspected infection in whom a blood culture (BC) was extracted. Sociodemographic, comorbidity, hemodynamic and analytical variables, biomarkers [MR-proADM, procalcitonin (PCT), C-reactive protein (CRP) and lactate] and final diagnosis were collected. The primary outcome was a true positive on a blood culture.

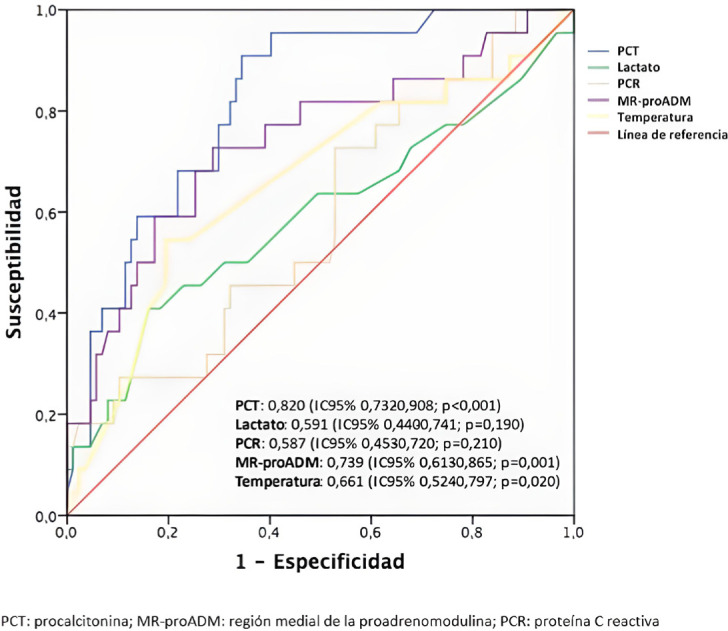
Results: A total of 109 patients with a mean age of 83 (SD: 5.5) years were included. A final diagnosis of BV was obtained in 22 patients (20.2%). The independent variables to predict it were PCT (OR: 13.9; CI95%: 2.702-71.703; p=0.002), MR-proADM (OR: 4.081; CI95%: 1.026-16.225; p=0.046) and temperature (OR: 2.171; CI95%: 1.109-4.248; p=0.024). Considering the cut-off point for MR-proADM (2.13 mg/dl), a sensitivity (Se) of 73%, specificity (E) of 71%, a positive predictive value (PPV) of 39%, a negative predictive value (NPV) of 91%, a positive likelihood ratio (LHR+) of 2.53 and a negative likelihood ratio (LHR-) of 0.38; for PCT (0.76 mg/dl) a Se of 90%, E of 65%, PPV of 40%, NPV of 96%, LHR+ 2,64 and a LHR- of 0.14 were obtained. When combining both, a Se of 69%, E of 84%, PPV of 52%, NPV of 91%, LHR+ of 4.24 and LHR- of 0.38 were observed.

Conclusions: Elevated levels of PCT and MR-proADM were independently associated with an increased risk of BV and the combination of both improves the accuracy to identify these patients.

Abstract Image

Abstract Image

[前肾上腺素调节蛋白内侧区域对检测急诊科疑似感染的老年患者是否为真正菌血症的作用]。
目的:预测急诊科(ER)中的菌血症对初步决策非常重要。老年人群是一个诊断难题。该研究旨在评估中区域肾上腺髓质原(MR-proADM)在 3 家医院急诊科就诊的老年患者中识别真正菌血症(BV)的准确性:方法:观察性研究,包括因疑似感染而到急诊室就诊的年龄≥75 岁或以上的患者,并对其进行血液培养(BC)。研究收集了社会人口学、合并症、血液动力学和分析变量、生物标记物[MR-proADM、降钙素原(PCT)、C反应蛋白(CRP)和乳酸盐]以及最终诊断结果。主要结果是血液培养呈真阳性:结果:共纳入 109 名患者,平均年龄为 83 岁(标准差:5.5)。有 22 名患者(20.2%)最终确诊为 BV。预测BV的自变量为PCT(OR:13.9;CI95%:2.702-71.703;P=0.002)、MR-proADM(OR:4.081;CI95%:1.026-16.225;P=0.046)和体温(OR:2.171;CI95%:1.109-4.248;P=0.024)。考虑到 MR-proADM 的临界点(2.13 mg/dl),敏感性(Se)为 73%,特异性(E)为 71%,阳性预测值(PPV)为 39%,阴性预测值(NPV)为 91%,阳性似然比(LHR+)为 2.对于 PCT(0.76 mg/dl),Se 为 90%,E 为 65%,PPV 为 40%,NPV 为 96%,LHR+ 为 2.64,LHR- 为 0.14。如果将两者结合起来,Se 为 69%,E 为 84%,PPV 为 52%,NPV 为 91%,LHR+ 为 4.24,LHR- 为 0.38:结论:PCT 和 MR-proADM 水平的升高与 BV 风险的增加有独立的相关性,两者的结合提高了识别这些患者的准确性。
本文章由计算机程序翻译,如有差异,请以英文原文为准。
求助全文
约1分钟内获得全文 求助全文
来源期刊
CiteScore
2.90
自引率
10.50%
发文量
146
审稿时长
>12 weeks
期刊介绍: The official journal of the Sociedad Española de Quimioterapia (Spanish Society of Chemotherapy), publishes articles that further knowledge and advance the science and application of antimicrobial chemotherapy with antibiotics and antifungal, antiviral and antiprotozoal agents primarily in human medicine. Authors sign an exclusive license agreement, where authors have copyright but license exclusive rights in their article to the Publisher. All manuscripts are free open access. Revista Española de Quimioterapia includes the following sections: reviews, original articles, brierf reports, letters, and consensus documents.
×
引用
GB/T 7714-2015
复制
MLA
复制
APA
复制
导出至
BibTeX EndNote RefMan NoteFirst NoteExpress
×
提示
您的信息不完整,为了账户安全,请先补充。
现在去补充
×
提示
您因"违规操作"
具体请查看互助需知
我知道了
×
提示
确定
请完成安全验证×
copy
已复制链接
快去分享给好友吧!
我知道了
右上角分享
点击右上角分享
0
联系我们:info@booksci.cn Book学术提供免费学术资源搜索服务,方便国内外学者检索中英文文献。致力于提供最便捷和优质的服务体验。 Copyright © 2023 布克学术 All rights reserved.
京ICP备2023020795号-1
ghs 京公网安备 11010802042870号
Book学术文献互助
Book学术文献互助群
群 号:604180095
Book学术官方微信