Identification of Lilium ledebourii antiproliferative compounds against skin, bone and oral cancer cells.

IF 2.2 Q3 CHEMISTRY, MEDICINAL
Nastaran Partovi, Hassan Hassani Kumleh, Ebrahim Mirzajani, Mohsen Farhadpour
{"title":"Identification of <i>Lilium ledebourii</i> antiproliferative compounds against skin, bone and oral cancer cells.","authors":"Nastaran Partovi, Hassan Hassani Kumleh, Ebrahim Mirzajani, Mohsen Farhadpour","doi":"10.22038/AJP.2023.22875","DOIUrl":null,"url":null,"abstract":"<p><strong>Objective: </strong>This study aimed at the evaluation of anti antiproliferative activity of <i>Lonicera nummularifolia</i>, <i>Lilium ledebourii</i>, <i>Campsis radicans</i> and <i>Parthenocissus quinquefolia</i> extracts<i>.</i></p><p><strong>Materials and methods: </strong>The extract was taken from the fresh leaves and bulbs of the plants by maceration method in the dark. After separating the solvent, the remaining dry matter was added to the culture medium containing G292, A431 and KB cancer and HGF-1 normal cells. Cytotoxicity tests, as well as cell cycle and apoptosis tests were performed on cells treated with dry substances and untreated cells. Finally, the most effective extract was separated into fractions by preparative HPLC and the effective fraction was characterized by Triple-Quad LC/MS connected to the UHPLC system.</p><p><strong>Results: </strong>All extracts significantly enhanced cell death rate in the three cancer cell lines more than the HGF-1 line. The Methanolic extract of <i>L. ledebourii</i> bulbs exhibited considerable efficacy on apoptosis induction in the cancer cell lines. It seems that the mode of action for <i>L. ledebourii</i> methanolic extract is mediated through increased <i>BID/MAPK14</i> expression and decreased <i>MDM2/BCL2</i>/<i>MYC</i> expression, which led to activation of the p53 protein-induced apoptosis. It was also determined that the effective fraction of <i>L. ledebourii</i> methanolic extract consists of substances such as caffeic acid, ferulic acid, coumarin acid, catechin and apigenin.</p><p><strong>Conclusion: </strong>Overall, the findings suggest that <i>L. ledebourii</i> is a promising source of bioactive compounds with anticancer properties.</p>","PeriodicalId":8677,"journal":{"name":"Avicenna Journal of Phytomedicine","volume":"13 6","pages":"626-640"},"PeriodicalIF":2.2000,"publicationDate":"2023-11-01","publicationTypes":"Journal Article","fieldsOfStudy":null,"isOpenAccess":false,"openAccessPdf":"https://www.ncbi.nlm.nih.gov/pmc/articles/PMC10719726/pdf/","citationCount":"0","resultStr":null,"platform":"Semanticscholar","paperid":null,"PeriodicalName":"Avicenna Journal of Phytomedicine","FirstCategoryId":"1085","ListUrlMain":"https://doi.org/10.22038/AJP.2023.22875","RegionNum":0,"RegionCategory":null,"ArticlePicture":[],"TitleCN":null,"AbstractTextCN":null,"PMCID":null,"EPubDate":"","PubModel":"","JCR":"Q3","JCRName":"CHEMISTRY, MEDICINAL","Score":null,"Total":0}
引用次数: 0

Abstract

Objective: This study aimed at the evaluation of anti antiproliferative activity of Lonicera nummularifolia, Lilium ledebourii, Campsis radicans and Parthenocissus quinquefolia extracts.

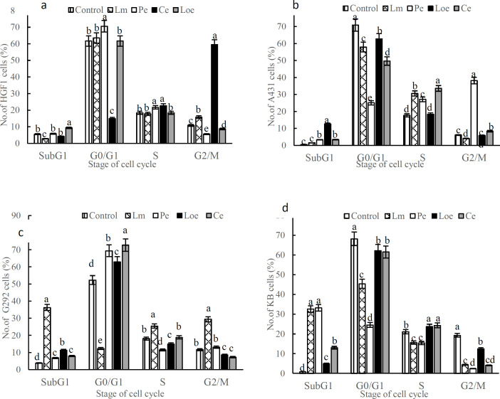
Materials and methods: The extract was taken from the fresh leaves and bulbs of the plants by maceration method in the dark. After separating the solvent, the remaining dry matter was added to the culture medium containing G292, A431 and KB cancer and HGF-1 normal cells. Cytotoxicity tests, as well as cell cycle and apoptosis tests were performed on cells treated with dry substances and untreated cells. Finally, the most effective extract was separated into fractions by preparative HPLC and the effective fraction was characterized by Triple-Quad LC/MS connected to the UHPLC system.

Results: All extracts significantly enhanced cell death rate in the three cancer cell lines more than the HGF-1 line. The Methanolic extract of L. ledebourii bulbs exhibited considerable efficacy on apoptosis induction in the cancer cell lines. It seems that the mode of action for L. ledebourii methanolic extract is mediated through increased BID/MAPK14 expression and decreased MDM2/BCL2/MYC expression, which led to activation of the p53 protein-induced apoptosis. It was also determined that the effective fraction of L. ledebourii methanolic extract consists of substances such as caffeic acid, ferulic acid, coumarin acid, catechin and apigenin.

Conclusion: Overall, the findings suggest that L. ledebourii is a promising source of bioactive compounds with anticancer properties.

Abstract Image

Abstract Image

Abstract Image

鉴定百合花抗皮肤癌、骨癌和口腔癌细胞增殖的化合物。
研究目的本研究旨在评估忍冬、百合、凌霄花和五味子提取物的抗增殖活性:提取物取自植物的新鲜叶片和鳞茎,采用浸渍法在黑暗中提取。分离溶剂后,将剩余的干物质加入含有 G292、A431 和 KB 癌细胞以及 HGF-1 正常细胞的培养基中。对使用干物质处理过的细胞和未处理过的细胞进行细胞毒性测试、细胞周期测试和细胞凋亡测试。最后,用制备型高效液相色谱法将最有效的提取物分离成馏分,并用连接到超高效液相色谱系统的三重四元液相色谱/质谱对有效馏分进行表征:结果:与 HGF-1 株相比,所有提取物都能明显提高三种癌细胞株的细胞死亡率。L.ledebourii鳞茎的甲醇提取物在诱导癌细胞凋亡方面表现出相当大的功效。看来鳞茎叶甲醇提取物的作用模式是通过增加 BID/MAPK14 的表达和减少 MDM2/BCL2/MYC 的表达,从而激活 p53 蛋白诱导细胞凋亡。研究还发现,L. ledebourii甲醇提取物的有效成分包括咖啡酸、阿魏酸、香豆素酸、儿茶素和芹菜素等物质:总之,研究结果表明,L. ledebourii 是一种具有抗癌特性的生物活性化合物的良好来源。
本文章由计算机程序翻译,如有差异,请以英文原文为准。
求助全文
约1分钟内获得全文 求助全文
来源期刊
Avicenna Journal of Phytomedicine
Avicenna Journal of Phytomedicine CHEMISTRY, MEDICINAL-
CiteScore
3.40
自引率
4.50%
发文量
17
审稿时长
6 weeks
×
引用
GB/T 7714-2015
复制
MLA
复制
APA
复制
导出至
BibTeX EndNote RefMan NoteFirst NoteExpress
×
提示
您的信息不完整,为了账户安全,请先补充。
现在去补充
×
提示
您因"违规操作"
具体请查看互助需知
我知道了
×
提示
确定
请完成安全验证×
copy
已复制链接
快去分享给好友吧!
我知道了
右上角分享
点击右上角分享
0
联系我们:info@booksci.cn Book学术提供免费学术资源搜索服务,方便国内外学者检索中英文文献。致力于提供最便捷和优质的服务体验。 Copyright © 2023 布克学术 All rights reserved.
京ICP备2023020795号-1
ghs 京公网安备 11010802042870号
Book学术文献互助
Book学术文献互助群
群 号:604180095
Book学术官方微信