Evaluating pro-arrhythmogenic effects of the T634S-hERG mutation: insights from a simulation study.

IF 4 3区 生物学 Q1 BIOLOGY
Interface Focus Pub Date : 2023-12-15 eCollection Date: 2023-12-06 DOI:10.1098/rsfs.2023.0035
Wei Hu, Wenfeng Zhang, Kevin Zhang, Ehab Al-Moubarak, Yihong Zhang, Stephen C Harmer, Jules C Hancox, Henggui Zhang
{"title":"Evaluating pro-arrhythmogenic effects of the T634S-hERG mutation: insights from a simulation study.","authors":"Wei Hu, Wenfeng Zhang, Kevin Zhang, Ehab Al-Moubarak, Yihong Zhang, Stephen C Harmer, Jules C Hancox, Henggui Zhang","doi":"10.1098/rsfs.2023.0035","DOIUrl":null,"url":null,"abstract":"<p><p>A mutation to serine of a conserved threonine (T634S) in the hERG K<sup>+</sup> channel S6 pore region has been identified as a variant of uncertain significance, showing a loss-of-function effect. However, its potential consequences for ventricular excitation and arrhythmogenesis have not been reported. This study evaluated possible functional effects of the T634S-hERG mutation on ventricular excitation and arrhythmogenesis by using multi-scale computer models of the human ventricle. A Markov chain model of the rapid delayed rectifier potassium current (I<sub>Kr</sub>) was reconstructed for wild-type and T634S-hERG mutant conditions and incorporated into the ten Tusscher <i>et al</i>. models of human ventricles at cell and tissue (1D, 2D and 3D) levels. Possible functional impacts of the T634S-hERG mutation were evaluated by its effects on action potential durations (APDs) and their rate-dependence (APDr) at the cell level; and on the QT interval of pseudo-ECGs, tissue vulnerability to unidirectional conduction block (VW), spiral wave dynamics and repolarization dispersion at the tissue level. It was found that the T634S-hERG mutation prolonged cellular APDs, steepened APDr, prolonged the QT interval, increased VW, destablized re-entry and augmented repolarization dispersion across the ventricle. Collectively, these results imply potential pro-arrhythmic effects of the T634S-hERG mutation, consistent with LQT2.</p>","PeriodicalId":13795,"journal":{"name":"Interface Focus","volume":"13 6","pages":"20230035"},"PeriodicalIF":4.0000,"publicationDate":"2023-12-15","publicationTypes":"Journal Article","fieldsOfStudy":null,"isOpenAccess":false,"openAccessPdf":"https://www.ncbi.nlm.nih.gov/pmc/articles/PMC10722218/pdf/","citationCount":"0","resultStr":null,"platform":"Semanticscholar","paperid":null,"PeriodicalName":"Interface Focus","FirstCategoryId":"99","ListUrlMain":"https://doi.org/10.1098/rsfs.2023.0035","RegionNum":3,"RegionCategory":"生物学","ArticlePicture":[],"TitleCN":null,"AbstractTextCN":null,"PMCID":null,"EPubDate":"2023/12/6 0:00:00","PubModel":"eCollection","JCR":"Q1","JCRName":"BIOLOGY","Score":null,"Total":0}
引用次数: 0

Abstract

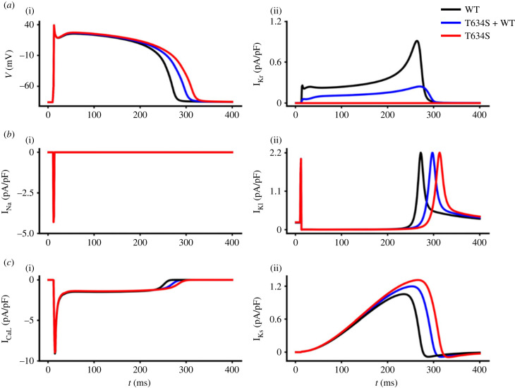
A mutation to serine of a conserved threonine (T634S) in the hERG K+ channel S6 pore region has been identified as a variant of uncertain significance, showing a loss-of-function effect. However, its potential consequences for ventricular excitation and arrhythmogenesis have not been reported. This study evaluated possible functional effects of the T634S-hERG mutation on ventricular excitation and arrhythmogenesis by using multi-scale computer models of the human ventricle. A Markov chain model of the rapid delayed rectifier potassium current (IKr) was reconstructed for wild-type and T634S-hERG mutant conditions and incorporated into the ten Tusscher et al. models of human ventricles at cell and tissue (1D, 2D and 3D) levels. Possible functional impacts of the T634S-hERG mutation were evaluated by its effects on action potential durations (APDs) and their rate-dependence (APDr) at the cell level; and on the QT interval of pseudo-ECGs, tissue vulnerability to unidirectional conduction block (VW), spiral wave dynamics and repolarization dispersion at the tissue level. It was found that the T634S-hERG mutation prolonged cellular APDs, steepened APDr, prolonged the QT interval, increased VW, destablized re-entry and augmented repolarization dispersion across the ventricle. Collectively, these results imply potential pro-arrhythmic effects of the T634S-hERG mutation, consistent with LQT2.

Abstract Image

Abstract Image

Abstract Image

评估 T634S-hERG 突变的致心律失常效应:模拟研究的启示。
hERG K+ 通道 S6 孔区域中一个保守苏氨酸(T634S)的丝氨酸突变已被确定为意义不确定的变异,显示出功能缺失效应。然而,其对心室兴奋和心律失常发生的潜在影响尚未见报道。本研究通过使用人体心室的多尺度计算机模型,评估了 T634S-hERG 突变对心室兴奋和心律失常发生的可能功能影响。针对野生型和 T634S-hERG 突变体重建了快速延迟整流钾电流(IKr)的马尔可夫链模型,并将其纳入 Tusscher 等人的十个人类心室模型的细胞和组织(一维、二维和三维)层面。通过在细胞水平上对动作电位持续时间(APDs)及其速率依赖性(APDr)的影响,以及在组织水平上对伪心电图的 QT 间期、组织对单向传导阻滞(VW)的脆弱性、螺旋波动力学和复极化弥散的影响,评估了 T634S-hERG 突变可能产生的功能影响。研究发现,T634S-hERG 突变可延长细胞 APDs、使 APDr 变陡、延长 QT 间期、增加 VW、破坏再入路和扩大整个心室的复极化弥散。总之,这些结果表明 T634S-hERG 突变具有潜在的促心律失常效应,与 LQT2 一致。
本文章由计算机程序翻译,如有差异,请以英文原文为准。
求助全文
约1分钟内获得全文 求助全文
来源期刊
Interface Focus
Interface Focus BIOLOGY-
CiteScore
9.20
自引率
0.00%
发文量
44
审稿时长
6-12 weeks
期刊介绍: Each Interface Focus themed issue is devoted to a particular subject at the interface of the physical and life sciences. Formed of high-quality articles, they aim to facilitate cross-disciplinary research across this traditional divide by acting as a forum accessible to all. Topics may be newly emerging areas of research or dynamic aspects of more established fields. Organisers of each Interface Focus are strongly encouraged to contextualise the journal within their chosen subject.
×
引用
GB/T 7714-2015
复制
MLA
复制
APA
复制
导出至
BibTeX EndNote RefMan NoteFirst NoteExpress
×
提示
您的信息不完整,为了账户安全,请先补充。
现在去补充
×
提示
您因"违规操作"
具体请查看互助需知
我知道了
×
提示
确定
请完成安全验证×
copy
已复制链接
快去分享给好友吧!
我知道了
右上角分享
点击右上角分享
0
联系我们:info@booksci.cn Book学术提供免费学术资源搜索服务,方便国内外学者检索中英文文献。致力于提供最便捷和优质的服务体验。 Copyright © 2023 布克学术 All rights reserved.
京ICP备2023020795号-1
ghs 京公网安备 11010802042870号
Book学术文献互助
Book学术文献互助群
群 号:604180095
Book学术官方微信