Specific Features of g ≈ 4.3 EPR Line Behavior in Magnetic Nanogranular Composites

IF 0.8 4区 物理与天体物理 Q3 PHYSICS, MULTIDISCIPLINARY
A. B. Drovosekov, N. M. Kreines, D. A. Ziganurov, A. V. Sitnikov, S. N. Nikolaev, V. V. Rylkov
{"title":"Specific Features of g ≈ 4.3 EPR Line Behavior in Magnetic Nanogranular Composites","authors":"A. B. Drovosekov,&nbsp;N. M. Kreines,&nbsp;D. A. Ziganurov,&nbsp;A. V. Sitnikov,&nbsp;S. N. Nikolaev,&nbsp;V. V. Rylkov","doi":"10.1134/S1063776123100023","DOIUrl":null,"url":null,"abstract":"<p>Films of metal-insulator nanogranular composites M<sub><i>x</i></sub>D<sub>100 –</sub> <sub><i>x</i></sub> with different composition and percentage of metal and dielectric phases (M = Fe, Co, CoFeB; D = Al<sub>2</sub>O<sub>3</sub>, SiO<sub>2</sub>, LiNbO<sub>3</sub>; <i>x</i> ≈ 15–70 at %) are investigated by magnetic resonance in a wide range of frequencies (<i>f</i> = 7–37 GHz) and temperatures (<i>T</i> = 4.2–360 K). In addition to the usual ferromagnetic resonance signal from an array of nanogranules, the experimental spectra contain an additional absorption peak, which we associate with the electron paramagnetic resonance (EPR) of Fe and Co ions dispersed in the insulating space between the granules. In contrast to the traditional EPR of Fe and Co ions in weakly doped non-magnetic matrices, the observed peak demonstrates a number of unusual properties, which we explain by the presence of magnetic interactions between ions and granules.</p>","PeriodicalId":629,"journal":{"name":"Journal of Experimental and Theoretical Physics","volume":"137 :","pages":"562 - 571"},"PeriodicalIF":0.8000,"publicationDate":"2023-12-10","publicationTypes":"Journal Article","fieldsOfStudy":null,"isOpenAccess":false,"openAccessPdf":"","citationCount":"0","resultStr":null,"platform":"Semanticscholar","paperid":null,"PeriodicalName":"Journal of Experimental and Theoretical Physics","FirstCategoryId":"101","ListUrlMain":"https://link.springer.com/article/10.1134/S1063776123100023","RegionNum":4,"RegionCategory":"物理与天体物理","ArticlePicture":[],"TitleCN":null,"AbstractTextCN":null,"PMCID":null,"EPubDate":"","PubModel":"","JCR":"Q3","JCRName":"PHYSICS, MULTIDISCIPLINARY","Score":null,"Total":0}
引用次数: 0

Abstract

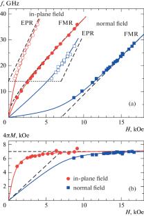
Films of metal-insulator nanogranular composites MxD100 – x with different composition and percentage of metal and dielectric phases (M = Fe, Co, CoFeB; D = Al2O3, SiO2, LiNbO3; x ≈ 15–70 at %) are investigated by magnetic resonance in a wide range of frequencies (f = 7–37 GHz) and temperatures (T = 4.2–360 K). In addition to the usual ferromagnetic resonance signal from an array of nanogranules, the experimental spectra contain an additional absorption peak, which we associate with the electron paramagnetic resonance (EPR) of Fe and Co ions dispersed in the insulating space between the granules. In contrast to the traditional EPR of Fe and Co ions in weakly doped non-magnetic matrices, the observed peak demonstrates a number of unusual properties, which we explain by the presence of magnetic interactions between ions and granules.

Abstract Image

Abstract Image

磁性纳米粒状复合材料中 g ≈ 4.3 EPR 线行为的具体特征
摘要 通过磁共振研究了金属-绝缘体纳米粒状复合材料 MxD100 - x 薄膜,其金属和介电相(M = Fe、Co、CoFeB;D = Al2O3、SiO2、LiNbO3;x ≈ 15-70 at %)的组成和比例各不相同,频率(f = 7-37 GHz)和温度(T = 4.2-360 K)范围很广。除了来自纳米颗粒阵列的常规铁磁共振信号外,实验光谱还包含一个额外的吸收峰,我们将其与分散在颗粒之间绝缘空间的铁离子和钴离子的电子顺磁共振(EPR)联系起来。与传统的铁离子和钴离子在弱掺杂的非磁性基质中的电子顺磁共振不同,观察到的峰值显示出许多不寻常的特性,我们将其解释为离子和颗粒之间存在磁性相互作用。
本文章由计算机程序翻译,如有差异,请以英文原文为准。
求助全文
约1分钟内获得全文 求助全文
来源期刊
CiteScore
1.90
自引率
9.10%
发文量
130
审稿时长
3-6 weeks
期刊介绍: Journal of Experimental and Theoretical Physics is one of the most influential physics research journals. Originally based on Russia, this international journal now welcomes manuscripts from all countries in the English or Russian language. It publishes original papers on fundamental theoretical and experimental research in all fields of physics: from solids and liquids to elementary particles and astrophysics.
×
引用
GB/T 7714-2015
复制
MLA
复制
APA
复制
导出至
BibTeX EndNote RefMan NoteFirst NoteExpress
×
提示
您的信息不完整,为了账户安全,请先补充。
现在去补充
×
提示
您因"违规操作"
具体请查看互助需知
我知道了
×
提示
确定
请完成安全验证×
copy
已复制链接
快去分享给好友吧!
我知道了
右上角分享
点击右上角分享
0
联系我们:info@booksci.cn Book学术提供免费学术资源搜索服务,方便国内外学者检索中英文文献。致力于提供最便捷和优质的服务体验。 Copyright © 2023 布克学术 All rights reserved.
京ICP备2023020795号-1
ghs 京公网安备 11010802042870号
Book学术文献互助
Book学术文献互助群
群 号:604180095
Book学术官方微信