IOB: integrating optimization transfer and behavior transfer for multi-policy reuse

IF 2.6 3区 计算机科学 Q3 AUTOMATION & CONTROL SYSTEMS
Siyuan Li, Hao Li, Jin Zhang, Zhen Wang, Peng Liu, Chongjie Zhang
{"title":"IOB: integrating optimization transfer and behavior transfer for multi-policy reuse","authors":"Siyuan Li,&nbsp;Hao Li,&nbsp;Jin Zhang,&nbsp;Zhen Wang,&nbsp;Peng Liu,&nbsp;Chongjie Zhang","doi":"10.1007/s10458-023-09630-9","DOIUrl":null,"url":null,"abstract":"<div><p>Humans have the ability to reuse previously learned policies to solve new tasks quickly, and reinforcement learning (RL) agents can do the same by transferring knowledge from source policies to a related target task. Transfer RL methods can reshape the policy optimization objective (optimization transfer) or influence the behavior policy (behavior transfer) using source policies. However, selecting the appropriate source policy with limited samples to guide target policy learning has been a challenge. Previous methods introduce additional components, such as hierarchical policies or estimations of source policies’ value functions, which can lead to non-stationary policy optimization or heavy sampling costs, diminishing transfer effectiveness. To address this challenge, we propose a novel transfer RL method that selects the source policy without training extra components. Our method utilizes the Q function in the actor-critic framework to guide policy selection, choosing the source policy with the largest one-step improvement over the current target policy. We integrate optimization transfer and behavior transfer (IOB) by regularizing the learned policy to mimic the guidance policy and combining them as the behavior policy. This integration significantly enhances transfer effectiveness, surpasses state-of-the-art transfer RL baselines in benchmark tasks, and improves final performance and knowledge transferability in continual learning scenarios. Additionally, we show that our optimization transfer technique is guaranteed to improve target policy learning.</p></div>","PeriodicalId":55586,"journal":{"name":"Autonomous Agents and Multi-Agent Systems","volume":"38 1","pages":""},"PeriodicalIF":2.6000,"publicationDate":"2023-12-09","publicationTypes":"Journal Article","fieldsOfStudy":null,"isOpenAccess":false,"openAccessPdf":"","citationCount":"0","resultStr":null,"platform":"Semanticscholar","paperid":null,"PeriodicalName":"Autonomous Agents and Multi-Agent Systems","FirstCategoryId":"94","ListUrlMain":"https://link.springer.com/article/10.1007/s10458-023-09630-9","RegionNum":3,"RegionCategory":"计算机科学","ArticlePicture":[],"TitleCN":null,"AbstractTextCN":null,"PMCID":null,"EPubDate":"","PubModel":"","JCR":"Q3","JCRName":"AUTOMATION & CONTROL SYSTEMS","Score":null,"Total":0}
引用次数: 0

Abstract

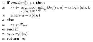
Humans have the ability to reuse previously learned policies to solve new tasks quickly, and reinforcement learning (RL) agents can do the same by transferring knowledge from source policies to a related target task. Transfer RL methods can reshape the policy optimization objective (optimization transfer) or influence the behavior policy (behavior transfer) using source policies. However, selecting the appropriate source policy with limited samples to guide target policy learning has been a challenge. Previous methods introduce additional components, such as hierarchical policies or estimations of source policies’ value functions, which can lead to non-stationary policy optimization or heavy sampling costs, diminishing transfer effectiveness. To address this challenge, we propose a novel transfer RL method that selects the source policy without training extra components. Our method utilizes the Q function in the actor-critic framework to guide policy selection, choosing the source policy with the largest one-step improvement over the current target policy. We integrate optimization transfer and behavior transfer (IOB) by regularizing the learned policy to mimic the guidance policy and combining them as the behavior policy. This integration significantly enhances transfer effectiveness, surpasses state-of-the-art transfer RL baselines in benchmark tasks, and improves final performance and knowledge transferability in continual learning scenarios. Additionally, we show that our optimization transfer technique is guaranteed to improve target policy learning.

Abstract Image

IOB:整合优化转移和行为转移,实现多政策重用
人类有能力重复使用以前学过的策略来快速解决新任务,而强化学习(RL)代理也可以通过将源策略中的知识转移到相关的目标任务中来做到这一点。迁移 RL 方法可以利用源策略重塑策略优化目标(优化迁移)或影响行为策略(行为迁移)。然而,在样本有限的情况下选择合适的源策略来指导目标策略学习一直是个难题。以前的方法引入了额外的组件,如分层策略或源策略值函数的估计,这可能会导致非稳态策略优化或沉重的采样成本,从而降低转移的有效性。为了应对这一挑战,我们提出了一种新颖的 RL 转移方法,它可以在不训练额外组件的情况下选择源策略。我们的方法利用行为批判框架中的 Q 函数来指导策略选择,选择与当前目标策略相比一步改进最大的源策略。我们将优化转移和行为转移(IOB)整合在一起,通过正则化学习到的政策来模仿指导政策,并将它们组合为行为政策。这种整合大大提高了转移效果,在基准任务中超越了最先进的转移 RL 基线,并在持续学习场景中提高了最终性能和知识转移能力。此外,我们还证明了我们的优化转移技术能够保证改进目标策略学习。
本文章由计算机程序翻译,如有差异,请以英文原文为准。
求助全文
约1分钟内获得全文 求助全文
来源期刊
Autonomous Agents and Multi-Agent Systems
Autonomous Agents and Multi-Agent Systems 工程技术-计算机:人工智能
CiteScore
6.00
自引率
5.30%
发文量
48
审稿时长
>12 weeks
期刊介绍: This is the official journal of the International Foundation for Autonomous Agents and Multi-Agent Systems. It provides a leading forum for disseminating significant original research results in the foundations, theory, development, analysis, and applications of autonomous agents and multi-agent systems. Coverage in Autonomous Agents and Multi-Agent Systems includes, but is not limited to: Agent decision-making architectures and their evaluation, including: cognitive models; knowledge representation; logics for agency; ontological reasoning; planning (single and multi-agent); reasoning (single and multi-agent) Cooperation and teamwork, including: distributed problem solving; human-robot/agent interaction; multi-user/multi-virtual-agent interaction; coalition formation; coordination Agent communication languages, including: their semantics, pragmatics, and implementation; agent communication protocols and conversations; agent commitments; speech act theory Ontologies for agent systems, agents and the semantic web, agents and semantic web services, Grid-based systems, and service-oriented computing Agent societies and societal issues, including: artificial social systems; environments, organizations and institutions; ethical and legal issues; privacy, safety and security; trust, reliability and reputation Agent-based system development, including: agent development techniques, tools and environments; agent programming languages; agent specification or validation languages Agent-based simulation, including: emergent behavior; participatory simulation; simulation techniques, tools and environments; social simulation Agreement technologies, including: argumentation; collective decision making; judgment aggregation and belief merging; negotiation; norms Economic paradigms, including: auction and mechanism design; bargaining and negotiation; economically-motivated agents; game theory (cooperative and non-cooperative); social choice and voting Learning agents, including: computational architectures for learning agents; evolution, adaptation; multi-agent learning. Robotic agents, including: integrated perception, cognition, and action; cognitive robotics; robot planning (including action and motion planning); multi-robot systems. Virtual agents, including: agents in games and virtual environments; companion and coaching agents; modeling personality, emotions; multimodal interaction; verbal and non-verbal expressiveness Significant, novel applications of agent technology Comprehensive reviews and authoritative tutorials of research and practice in agent systems Comprehensive and authoritative reviews of books dealing with agents and multi-agent systems.
×
引用
GB/T 7714-2015
复制
MLA
复制
APA
复制
导出至
BibTeX EndNote RefMan NoteFirst NoteExpress
×
提示
您的信息不完整,为了账户安全,请先补充。
现在去补充
×
提示
您因"违规操作"
具体请查看互助需知
我知道了
×
提示
确定
请完成安全验证×
copy
已复制链接
快去分享给好友吧!
我知道了
右上角分享
点击右上角分享
0
联系我们:info@booksci.cn Book学术提供免费学术资源搜索服务,方便国内外学者检索中英文文献。致力于提供最便捷和优质的服务体验。 Copyright © 2023 布克学术 All rights reserved.
京ICP备2023020795号-1
ghs 京公网安备 11010802042870号
Book学术文献互助
Book学术文献互助群
群 号:604180095
Book学术官方微信