Tocilizumab Vs Methotrexate in a Cohort of Patients Affected by Active GCA: A Comparative Clinical and Ultrasonographic Study.

IF 3.4 Q1 MEDICINE, RESEARCH & EXPERIMENTAL
Biologics : Targets & Therapy Pub Date : 2023-12-01 eCollection Date: 2023-01-01 DOI:10.2147/BTT.S431818
Silvia Grazzini, Edoardo Conticini, Paolo Falsetti, Miriana D'Alessandro, Jurgen Sota, Riccardo Terribili, Caterina Baldi, Claudia Fabiani, Elena Bargagli, Luca Cantarini, Bruno Frediani
{"title":"Tocilizumab Vs Methotrexate in a Cohort of Patients Affected by Active GCA: A Comparative Clinical and Ultrasonographic Study.","authors":"Silvia Grazzini, Edoardo Conticini, Paolo Falsetti, Miriana D'Alessandro, Jurgen Sota, Riccardo Terribili, Caterina Baldi, Claudia Fabiani, Elena Bargagli, Luca Cantarini, Bruno Frediani","doi":"10.2147/BTT.S431818","DOIUrl":null,"url":null,"abstract":"<p><strong>Introduction: </strong>No head-to-head study has assessed the superiority of tocilizumab versus methotrexate in giant cell arteritis (GCA), and few studies have demonstrated its effectiveness in terms of ultrasonographic findings, but without a control group. The primary endpoint was to assess whether tocilizumab was superior to methotrexate in inducing normalization of US findings, whereas the secondary endpoint was to assess the effectiveness of precocious withdrawal of glucocorticoids.</p><p><strong>Methods: </strong>We prospectively enrolled all the patients with active GCA at our clinic. The inclusion criteria were clinical diagnosis of GCA; active disease; and clinical, laboratory, and US data, evaluated using the halo count (HC) and OMERACT GCA Ultrasonography Score (OGUS). Evaluations were repeated at 3, 6, and 12 months.</p><p><strong>Results: </strong>Twenty patients were treated with Tocilizumab and 9 with Methotrexate. All but three tocilizumab-treated patients achieved remission at six months, whereas at 12 months, all patients were in glucocorticoid-free remission. Up to three of the nine methotrexate patients experienced a lack of efficacy or minor relapses. Tocilizumab-treated patients showed a statistically significant difference between baseline and all follow-ups in terms of OGUS and HC, whereas the difference in the Methotrexate group was significant after 1 year. The mean glucocorticoid dosage significantly decreased in both groups. No severe adverse events or major relapses were reported.</p><p><strong>Conclusion: </strong>Our study demonstrates the superiority in terms of rapidity of a tocilizumab-based scheme over a methotrexate-based scheme in inducing clinical and US remission. Precocious withdrawal of glucocorticoids did not increase the risk of relapse.</p>","PeriodicalId":9025,"journal":{"name":"Biologics : Targets & Therapy","volume":"17 ","pages":"151-160"},"PeriodicalIF":3.4000,"publicationDate":"2023-12-01","publicationTypes":"Journal Article","fieldsOfStudy":null,"isOpenAccess":false,"openAccessPdf":"https://www.ncbi.nlm.nih.gov/pmc/articles/PMC10697083/pdf/","citationCount":"0","resultStr":null,"platform":"Semanticscholar","paperid":null,"PeriodicalName":"Biologics : Targets & Therapy","FirstCategoryId":"1085","ListUrlMain":"https://doi.org/10.2147/BTT.S431818","RegionNum":0,"RegionCategory":null,"ArticlePicture":[],"TitleCN":null,"AbstractTextCN":null,"PMCID":null,"EPubDate":"2023/1/1 0:00:00","PubModel":"eCollection","JCR":"Q1","JCRName":"MEDICINE, RESEARCH & EXPERIMENTAL","Score":null,"Total":0}
引用次数: 0

Abstract

Introduction: No head-to-head study has assessed the superiority of tocilizumab versus methotrexate in giant cell arteritis (GCA), and few studies have demonstrated its effectiveness in terms of ultrasonographic findings, but without a control group. The primary endpoint was to assess whether tocilizumab was superior to methotrexate in inducing normalization of US findings, whereas the secondary endpoint was to assess the effectiveness of precocious withdrawal of glucocorticoids.

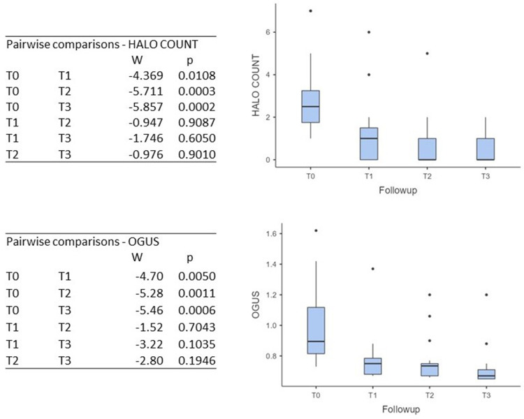
Methods: We prospectively enrolled all the patients with active GCA at our clinic. The inclusion criteria were clinical diagnosis of GCA; active disease; and clinical, laboratory, and US data, evaluated using the halo count (HC) and OMERACT GCA Ultrasonography Score (OGUS). Evaluations were repeated at 3, 6, and 12 months.

Results: Twenty patients were treated with Tocilizumab and 9 with Methotrexate. All but three tocilizumab-treated patients achieved remission at six months, whereas at 12 months, all patients were in glucocorticoid-free remission. Up to three of the nine methotrexate patients experienced a lack of efficacy or minor relapses. Tocilizumab-treated patients showed a statistically significant difference between baseline and all follow-ups in terms of OGUS and HC, whereas the difference in the Methotrexate group was significant after 1 year. The mean glucocorticoid dosage significantly decreased in both groups. No severe adverse events or major relapses were reported.

Conclusion: Our study demonstrates the superiority in terms of rapidity of a tocilizumab-based scheme over a methotrexate-based scheme in inducing clinical and US remission. Precocious withdrawal of glucocorticoids did not increase the risk of relapse.

Abstract Image

Abstract Image

Abstract Image

托珠单抗与甲氨蝶呤在一组受活动性GCA影响的患者中:一项比较临床和超声研究。
在巨细胞动脉炎(GCA)中,目前还没有研究评估tocilizumab与甲氨蝶呤的优越性,很少有研究证实其在超声检查方面的有效性,但没有对照组。主要终点是评估tocilizumab是否优于甲氨蝶呤在诱导US检查结果正常化方面,而次要终点是评估过早停用糖皮质激素的有效性。方法:我们前瞻性地纳入了所有在我们诊所患有活动性GCA的患者。入选标准为临床诊断为GCA;活动性疾病;以及临床、实验室和美国数据,使用光晕计数(HC)和OMERACT GCA超声评分(OGUS)进行评估。在3、6和12个月时重复评估。结果:20例患者接受托珠单抗治疗,9例患者接受甲氨蝶呤治疗。除3例tocilizumab治疗的患者外,所有患者在6个月时均达到缓解,而在12个月时,所有患者均达到无糖皮质激素缓解。9例甲氨蝶呤患者中有3例缺乏疗效或轻微复发。托珠单抗治疗的患者在OGUS和HC方面的基线和所有随访之间存在统计学差异,而甲氨蝶呤组在1年后的差异具有统计学意义。两组患者糖皮质激素平均剂量均显著降低。未见严重不良事件或重大复发。结论:我们的研究表明,在诱导临床和美国缓解方面,以托珠单抗为基础的方案比以甲氨蝶呤为基础的方案在快速方面具有优势。过早停用糖皮质激素不会增加复发的风险。
本文章由计算机程序翻译,如有差异,请以英文原文为准。
求助全文
约1分钟内获得全文 求助全文
来源期刊
Biologics : Targets & Therapy
Biologics : Targets & Therapy MEDICINE, RESEARCH & EXPERIMENTAL-
CiteScore
8.30
自引率
0.00%
发文量
22
审稿时长
16 weeks
×
引用
GB/T 7714-2015
复制
MLA
复制
APA
复制
导出至
BibTeX EndNote RefMan NoteFirst NoteExpress
×
提示
您的信息不完整,为了账户安全,请先补充。
现在去补充
×
提示
您因"违规操作"
具体请查看互助需知
我知道了
×
提示
确定
请完成安全验证×
copy
已复制链接
快去分享给好友吧!
我知道了
右上角分享
点击右上角分享
0
联系我们:info@booksci.cn Book学术提供免费学术资源搜索服务,方便国内外学者检索中英文文献。致力于提供最便捷和优质的服务体验。 Copyright © 2023 布克学术 All rights reserved.
京ICP备2023020795号-1
ghs 京公网安备 11010802042870号
Book学术文献互助
Book学术文献互助群
群 号:604180095
Book学术官方微信