Association between severity of sepsis and thyroid function profile.

Vindy Nugraha Siampa, Satriawan Abadi, Andi Makbul Aman, Syakib Bakri, Risna Halim, Andi Alfian Zainuddin
{"title":"Association between severity of sepsis and thyroid function profile.","authors":"Vindy Nugraha Siampa, Satriawan Abadi, Andi Makbul Aman, Syakib Bakri, Risna Halim, Andi Alfian Zainuddin","doi":"10.23750/abm.v94i6.15076","DOIUrl":null,"url":null,"abstract":"<p><strong>Background and aim: </strong>Critical illness conditions such as sepsis are often accompanied by altered hormone levels, which may result in decreased thyroid axis activity. This condition aims to provide metabolic substrates for vital organs such as the brain and immune system. Significant alteration of the thyroid axis in critical illnesses such as sepsis known as Low-T3 Syndrome which is associated with increased mortality. This study aims to determine the association between severity of sepsis and thyroid function profile as a predictor of mortality in sepsis patients.</p><p><strong>Methods: </strong>An observational study involving 62 subjects with sepsis and septic shock. Serum was measured using Enzyme-linked Immunosorbent Assay (ELISA) method. Statistical analysis used Mann-Whitney, Kruskal-Wallis, and Spearman's correlation tests. Statistical test results are significant if the p-value <0.05.</p><p><strong>Results: </strong>The median fT3 level was lower in the septic shock group 13.94 pg/ml (7.71-19.93) compared to the sepsis group 20.15 pg/ml (11.08-37.15) where there was a significant difference (p<0.001). There was a significant correlation between The Sequential Organ Failure Assessment (SOFA) score and fT3 levels (R: -0.270, p=0.032). The non-survivor group had a lower median fT3 level 16.56 pg/ml (7.71-30.03) compared to the survivor group 17.50 pg/ml (10.32-37.15) where there was a significant difference (p<0.036).</p><p><strong>Conclusion: </strong>Based on the severity of sepsis, the more severe the sepsis condition, the lower thyroid function levels are obtained where decreased thyroid function levels can be a prognosis indicator to predict mortality in sepsis patients.</p>","PeriodicalId":93849,"journal":{"name":"Acta bio-medica : Atenei Parmensis","volume":"94 6","pages":"e2023239"},"PeriodicalIF":0.0000,"publicationDate":"2023-12-05","publicationTypes":"Journal Article","fieldsOfStudy":null,"isOpenAccess":false,"openAccessPdf":"https://www.ncbi.nlm.nih.gov/pmc/articles/PMC10734233/pdf/","citationCount":"0","resultStr":null,"platform":"Semanticscholar","paperid":null,"PeriodicalName":"Acta bio-medica : Atenei Parmensis","FirstCategoryId":"1085","ListUrlMain":"https://doi.org/10.23750/abm.v94i6.15076","RegionNum":0,"RegionCategory":null,"ArticlePicture":[],"TitleCN":null,"AbstractTextCN":null,"PMCID":null,"EPubDate":"","PubModel":"","JCR":"","JCRName":"","Score":null,"Total":0}
引用次数: 0

Abstract

Background and aim: Critical illness conditions such as sepsis are often accompanied by altered hormone levels, which may result in decreased thyroid axis activity. This condition aims to provide metabolic substrates for vital organs such as the brain and immune system. Significant alteration of the thyroid axis in critical illnesses such as sepsis known as Low-T3 Syndrome which is associated with increased mortality. This study aims to determine the association between severity of sepsis and thyroid function profile as a predictor of mortality in sepsis patients.

Methods: An observational study involving 62 subjects with sepsis and septic shock. Serum was measured using Enzyme-linked Immunosorbent Assay (ELISA) method. Statistical analysis used Mann-Whitney, Kruskal-Wallis, and Spearman's correlation tests. Statistical test results are significant if the p-value <0.05.

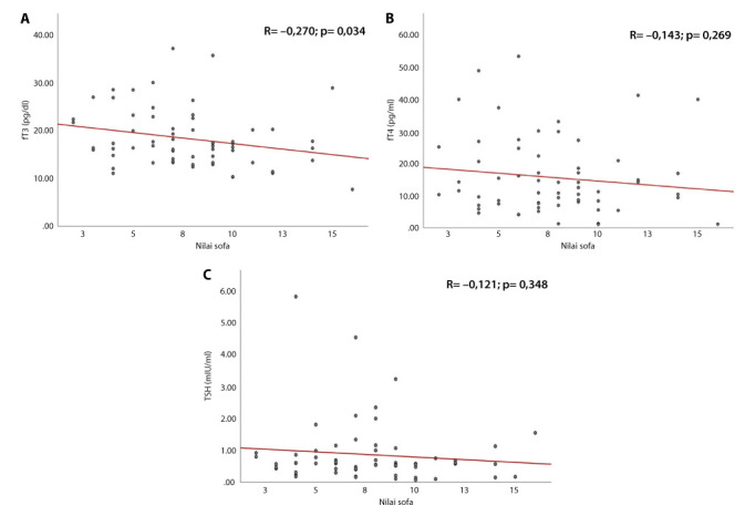
Results: The median fT3 level was lower in the septic shock group 13.94 pg/ml (7.71-19.93) compared to the sepsis group 20.15 pg/ml (11.08-37.15) where there was a significant difference (p<0.001). There was a significant correlation between The Sequential Organ Failure Assessment (SOFA) score and fT3 levels (R: -0.270, p=0.032). The non-survivor group had a lower median fT3 level 16.56 pg/ml (7.71-30.03) compared to the survivor group 17.50 pg/ml (10.32-37.15) where there was a significant difference (p<0.036).

Conclusion: Based on the severity of sepsis, the more severe the sepsis condition, the lower thyroid function levels are obtained where decreased thyroid function levels can be a prognosis indicator to predict mortality in sepsis patients.

Abstract Image

败血症严重程度与甲状腺功能状况之间的关系
背景和目的:脓毒症等重症疾病往往伴随着激素水平的改变,这可能会导致甲状腺轴活性降低。这种情况旨在为大脑和免疫系统等重要器官提供代谢基质。甲状腺轴在败血症等危重病中的显著变化被称为低T3综合征,与死亡率增加有关。本研究旨在确定败血症的严重程度与甲状腺功能状况之间的关联,并以此作为预测败血症患者死亡率的指标:这项观察性研究涉及 62 名脓毒症和脓毒性休克患者。采用酶联免疫吸附试验(ELISA)法测定血清。统计分析采用 Mann-Whitney、Kruskal-Wallis 和 Spearman 相关性检验。统计检验结果以 p 值为显着结果:脓毒性休克组的 fT3 水平中位数为 13.94 pg/ml(7.71-19.93),低于脓毒症组的 20.15 pg/ml(11.08-37.15),差异有显著性(pConclusion):根据脓毒症的严重程度,脓毒症病情越严重,甲状腺功能水平越低,甲状腺功能水平下降可作为预测脓毒症患者死亡率的预后指标。
本文章由计算机程序翻译,如有差异,请以英文原文为准。
求助全文
约1分钟内获得全文 求助全文
来源期刊
自引率
0.00%
发文量
0
×
引用
GB/T 7714-2015
复制
MLA
复制
APA
复制
导出至
BibTeX EndNote RefMan NoteFirst NoteExpress
×
提示
您的信息不完整,为了账户安全,请先补充。
现在去补充
×
提示
您因"违规操作"
具体请查看互助需知
我知道了
×
提示
确定
请完成安全验证×
copy
已复制链接
快去分享给好友吧!
我知道了
右上角分享
点击右上角分享
0
联系我们:info@booksci.cn Book学术提供免费学术资源搜索服务,方便国内外学者检索中英文文献。致力于提供最便捷和优质的服务体验。 Copyright © 2023 布克学术 All rights reserved.
京ICP备2023020795号-1
ghs 京公网安备 11010802042870号
Book学术文献互助
Book学术文献互助群
群 号:604180095
Book学术官方微信