Treatment of unstable pelvic fractures in children with an external fixator: Retrospective study of 56 patients.

IF 1.6 4区 医学 Q3 ORTHOPEDICS
Journal of Childrens Orthopaedics Pub Date : 2023-11-22 eCollection Date: 2023-12-01 DOI:10.1177/18632521231201163
Yuwei Wen, Danjiang Zhu, Qiang Wang, Baojian Song, Wei Feng
{"title":"Treatment of unstable pelvic fractures in children with an external fixator: Retrospective study of 56 patients.","authors":"Yuwei Wen, Danjiang Zhu, Qiang Wang, Baojian Song, Wei Feng","doi":"10.1177/18632521231201163","DOIUrl":null,"url":null,"abstract":"Purpose: We retrospectively analyzed the data of patients who underwent external fixation treatment for unstable pelvic fractures and evaluated the clinical effects of this treatment and factors influencing pelvic function recovery. Methods: The data of patients with unstable pelvic fractures treated with an external fixator between January 2006 and December 2018 were retrospectively analyzed. The analyzed parameters included demographic data, fracture healing, pelvic asymmetry, deformity index, and complications. Fractures were categorized using the Tiles classification. Pelvic function was evaluated using the Cole score. Pelvic risk factors were identified using univariate and multivariate logistic regression analyses. Results: Fifty-six patients (29 and 27 with type B and C fractures, respectively) were included. All fractures were healed at the time of the final follow-up. Nine and three patients had pin tract infections and loosened external fixators postoperatively, respectively. Pelvic asymmetry was reduced from 1.34 ± 0.15 cm to 0.70 ± 0.19 cm (p < 0.01), and the deformity index decreased from 0.13 ± 0.03 to 0.07 ± 0.02 (p < 0.01). The Cole score was excellent and good in 41 and 15 patients, respectively. Risk factors for pelvic function recovery included injury severity score > 25.5, age > 11.3 years, and lower-extremity fractures. Conclusions: External fixation is an effective method for treating unstable pelvic fractures in children, with the advantages of a simple operation, short surgical time, no interference with treatments for associated injuries, and avoidance of re-trauma caused by open reduction. An ISS > 25.5, patient age > 11.3 years, and associated lower-extremity fractures are predictors of pelvic function recovery. Level of evidence: Level IV.","PeriodicalId":56060,"journal":{"name":"Journal of Childrens Orthopaedics","volume":"17 6","pages":"573-580"},"PeriodicalIF":1.6000,"publicationDate":"2023-11-22","publicationTypes":"Journal Article","fieldsOfStudy":null,"isOpenAccess":false,"openAccessPdf":"https://www.ncbi.nlm.nih.gov/pmc/articles/PMC10693840/pdf/","citationCount":"0","resultStr":null,"platform":"Semanticscholar","paperid":null,"PeriodicalName":"Journal of Childrens Orthopaedics","FirstCategoryId":"3","ListUrlMain":"https://doi.org/10.1177/18632521231201163","RegionNum":4,"RegionCategory":"医学","ArticlePicture":[],"TitleCN":null,"AbstractTextCN":null,"PMCID":null,"EPubDate":"2023/12/1 0:00:00","PubModel":"eCollection","JCR":"Q3","JCRName":"ORTHOPEDICS","Score":null,"Total":0}
引用次数: 0

Abstract

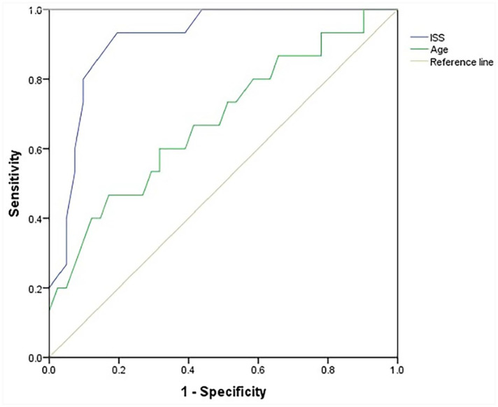
Purpose: We retrospectively analyzed the data of patients who underwent external fixation treatment for unstable pelvic fractures and evaluated the clinical effects of this treatment and factors influencing pelvic function recovery. Methods: The data of patients with unstable pelvic fractures treated with an external fixator between January 2006 and December 2018 were retrospectively analyzed. The analyzed parameters included demographic data, fracture healing, pelvic asymmetry, deformity index, and complications. Fractures were categorized using the Tiles classification. Pelvic function was evaluated using the Cole score. Pelvic risk factors were identified using univariate and multivariate logistic regression analyses. Results: Fifty-six patients (29 and 27 with type B and C fractures, respectively) were included. All fractures were healed at the time of the final follow-up. Nine and three patients had pin tract infections and loosened external fixators postoperatively, respectively. Pelvic asymmetry was reduced from 1.34 ± 0.15 cm to 0.70 ± 0.19 cm (p < 0.01), and the deformity index decreased from 0.13 ± 0.03 to 0.07 ± 0.02 (p < 0.01). The Cole score was excellent and good in 41 and 15 patients, respectively. Risk factors for pelvic function recovery included injury severity score > 25.5, age > 11.3 years, and lower-extremity fractures. Conclusions: External fixation is an effective method for treating unstable pelvic fractures in children, with the advantages of a simple operation, short surgical time, no interference with treatments for associated injuries, and avoidance of re-trauma caused by open reduction. An ISS > 25.5, patient age > 11.3 years, and associated lower-extremity fractures are predictors of pelvic function recovery. Level of evidence: Level IV.

Abstract Image

Abstract Image

Abstract Image

外固定架治疗儿童不稳定骨盆骨折56例回顾性研究
目的:回顾性分析不稳定骨盆骨折行外固定治疗的患者资料,评价外固定治疗的临床效果及影响骨盆功能恢复的因素。方法:回顾性分析2006年1月至2018年12月使用外固定架治疗的不稳定骨盆骨折患者的资料。分析的参数包括人口统计数据、骨折愈合、骨盆不对称、畸形指数和并发症。骨折采用Tiles分类。使用Cole评分评估盆腔功能。采用单因素和多因素logistic回归分析确定盆腔危险因素。结果:共纳入56例患者(B型29例,C型27例)。所有骨折在最后随访时均愈合。术后发生针道感染9例,外固定架松动3例。骨盆不对称从1.34±0.15 cm减少到0.70±0.19 cm (p 25.5),年龄> 11.3岁,下肢骨折。结论:外固定架是治疗儿童不稳定骨盆骨折的有效方法,具有操作简单、手术时间短、不干扰相关损伤的治疗、避免切开复位引起的再创伤等优点。ISS > 25.5,患者年龄> 11.3岁,并伴有下肢骨折是骨盆功能恢复的预测因素。证据等级:四级。
本文章由计算机程序翻译,如有差异,请以英文原文为准。
求助全文
约1分钟内获得全文 求助全文
来源期刊
Journal of Childrens Orthopaedics
Journal of Childrens Orthopaedics Medicine-Orthopedics and Sports Medicine
CiteScore
2.70
自引率
14.30%
发文量
61
审稿时长
23 weeks
期刊介绍: Aims & Scope The Journal of Children’s Orthopaedics is the official journal of the European Paediatric Orthopaedic Society (EPOS) and is published by The British Editorial Society of Bone & Joint Surgery. It provides a forum for the advancement of the knowledge and education in paediatric orthopaedics and traumatology across geographical borders. It advocates an increased worldwide involvement in preventing and treating musculoskeletal diseases in children and adolescents. The journal publishes high quality, peer-reviewed articles that focus on clinical practice, diagnosis and treatment of disorders unique to paediatric orthopaedics, as well as on basic and applied research. It aims to help physicians stay abreast of the latest and ever-changing developments in the field of paediatric orthopaedics and traumatology. The journal welcomes original contributions submitted exclusively for review to the journal. This continuously published online journal is fully open access and will publish one print issue each year to coincide with the EPOS Annual Congress, featuring the meeting’s abstracts.
×
引用
GB/T 7714-2015
复制
MLA
复制
APA
复制
导出至
BibTeX EndNote RefMan NoteFirst NoteExpress
×
提示
您的信息不完整,为了账户安全,请先补充。
现在去补充
×
提示
您因"违规操作"
具体请查看互助需知
我知道了
×
提示
确定
请完成安全验证×
copy
已复制链接
快去分享给好友吧!
我知道了
右上角分享
点击右上角分享
0
联系我们:info@booksci.cn Book学术提供免费学术资源搜索服务,方便国内外学者检索中英文文献。致力于提供最便捷和优质的服务体验。 Copyright © 2023 布克学术 All rights reserved.
京ICP备2023020795号-1
ghs 京公网安备 11010802042870号
Book学术文献互助
Book学术文献互助群
群 号:604180095
Book学术官方微信