Progression of duodenal neoplasia to advanced adenoma in patients with familial adenomatous polyposis.

IF 2.4 4区 医学 Q3 ONCOLOGY
Hiroko Nakahira, Yoji Takeuchi, Yusaku Shimamoto, Shingo Ishiguro, Hiroshi Yunokizaki, Yasumasa Ezoe, Fumie Fujisawa, Ryu Ishihara, Tetsuji Takayama, Teruhiko Yoshida, Michihiro Mutoh, Hideki Ishikawa
{"title":"Progression of duodenal neoplasia to advanced adenoma in patients with familial adenomatous polyposis.","authors":"Hiroko Nakahira, Yoji Takeuchi, Yusaku Shimamoto, Shingo Ishiguro, Hiroshi Yunokizaki, Yasumasa Ezoe, Fumie Fujisawa, Ryu Ishihara, Tetsuji Takayama, Teruhiko Yoshida, Michihiro Mutoh, Hideki Ishikawa","doi":"10.1186/s13053-023-00264-2","DOIUrl":null,"url":null,"abstract":"<p><strong>Background: </strong>Patients with familial adenomatous polyposis (FAP) have a lifetime risk of developing duodenal adenomas approaching 100%, and the relative risk for duodenal cancer compared with the general population is high. We conducted a retrospective study to investigate the progression of non-ampullary duodenal adenomas (NADAs) and risk factors for advanced lesions in patients with FAP.</p><p><strong>Methods: </strong>Of 248 patients with 139 pedigrees at 2 institutes, we assessed 151 patients with 100 pedigrees with a pathogenic germline variant in the adenomatous polyposis coli gene, excluding mosaic variants. We evaluated the prevalence of NADAs in patients with FAP, the progression of these adenomas to advanced adenoma during the observation period, and the risk factors for the lifetime development of high-grade dysplasia (HGD), large (≥ 10 mm) duodenal adenomas, and Spiegelman stage IV.</p><p><strong>Results: </strong>During the median observation period of 7 years, the incidences of patients with NADAs, with more than 20 polyps, with polyps ≥ 10 mm, with HGD, and with stage IV at the last esophagogastroduodenoscopy were increased 1.6-fold, 1.7-fold, 5-fold, 22-fold, and 9-fold, respectively. Intramucosal cancer occurred in three patients (2%), but no patients developed invasive cancer during the observation period because we performed endoscopic intervention for advanced adenomas. Stage progression was observed in 71% of 113 patients. Stage IV was more common in women, patients with a history of colectomy, and those with a 3' side mutation in their adenomatous polyposis coli gene.</p><p><strong>Conclusions: </strong>NADAs in patients with FAP frequently become exacerbated. Our findings suggest that patients with FAP who develop duodenal adenomas should be surveyed to prevent the development of duodenal cancer.</p>","PeriodicalId":55058,"journal":{"name":"Hereditary Cancer in Clinical Practice","volume":"21 1","pages":"25"},"PeriodicalIF":2.4000,"publicationDate":"2023-11-27","publicationTypes":"Journal Article","fieldsOfStudy":null,"isOpenAccess":false,"openAccessPdf":"https://www.ncbi.nlm.nih.gov/pmc/articles/PMC10683362/pdf/","citationCount":"0","resultStr":null,"platform":"Semanticscholar","paperid":null,"PeriodicalName":"Hereditary Cancer in Clinical Practice","FirstCategoryId":"3","ListUrlMain":"https://doi.org/10.1186/s13053-023-00264-2","RegionNum":4,"RegionCategory":"医学","ArticlePicture":[],"TitleCN":null,"AbstractTextCN":null,"PMCID":null,"EPubDate":"","PubModel":"","JCR":"Q3","JCRName":"ONCOLOGY","Score":null,"Total":0}
引用次数: 0

Abstract

Background: Patients with familial adenomatous polyposis (FAP) have a lifetime risk of developing duodenal adenomas approaching 100%, and the relative risk for duodenal cancer compared with the general population is high. We conducted a retrospective study to investigate the progression of non-ampullary duodenal adenomas (NADAs) and risk factors for advanced lesions in patients with FAP.

Methods: Of 248 patients with 139 pedigrees at 2 institutes, we assessed 151 patients with 100 pedigrees with a pathogenic germline variant in the adenomatous polyposis coli gene, excluding mosaic variants. We evaluated the prevalence of NADAs in patients with FAP, the progression of these adenomas to advanced adenoma during the observation period, and the risk factors for the lifetime development of high-grade dysplasia (HGD), large (≥ 10 mm) duodenal adenomas, and Spiegelman stage IV.

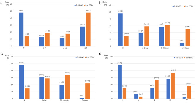
Results: During the median observation period of 7 years, the incidences of patients with NADAs, with more than 20 polyps, with polyps ≥ 10 mm, with HGD, and with stage IV at the last esophagogastroduodenoscopy were increased 1.6-fold, 1.7-fold, 5-fold, 22-fold, and 9-fold, respectively. Intramucosal cancer occurred in three patients (2%), but no patients developed invasive cancer during the observation period because we performed endoscopic intervention for advanced adenomas. Stage progression was observed in 71% of 113 patients. Stage IV was more common in women, patients with a history of colectomy, and those with a 3' side mutation in their adenomatous polyposis coli gene.

Conclusions: NADAs in patients with FAP frequently become exacerbated. Our findings suggest that patients with FAP who develop duodenal adenomas should be surveyed to prevent the development of duodenal cancer.

Abstract Image

Abstract Image

Abstract Image

家族性腺瘤性息肉病患者的十二指肠肿瘤进展到晚期腺瘤。
背景:家族性腺瘤性息肉病(familial adenomatous polyposis, FAP)患者一生中发生十二指肠腺瘤的风险接近100%,与一般人群相比,其发生十二指肠癌的相对风险较高。我们进行了一项回顾性研究,探讨FAP患者非壶腹十二指肠腺瘤(NADAs)的进展和晚期病变的危险因素。方法:在2个研究所的248例139个家系患者中,我们评估了151例100个家系的大肠腺瘤性息肉病基因致病种系变异患者,不包括马赛克变异。我们评估了FAP患者中NADAs的患病率,这些腺瘤在观察期间向晚期腺瘤的进展情况,以及终生发展为高级别不典型增生(HGD)、大(≥10 mm)十二指肠腺瘤和Spiegelman iv期的危险因素。在中位7年的观察期内,NADAs、息肉≥20个、息肉≥10 mm、HGD和末次食管胃十二指肠镜检查ⅳ期患者的发生率分别增加了1.6倍、1.7倍、5倍、22倍和9倍。3例(2%)患者发生了粘膜内癌,但由于我们对晚期腺瘤进行了内镜干预,在观察期间没有患者发生浸润性癌。113例患者中有71%出现分期进展。IV期更常见于女性、结肠切除术史患者和腺瘤性大肠息肉病基因3′侧突变患者。结论:FAP患者的nada经常加重。我们的研究结果提示,发生十二指肠腺瘤的FAP患者应进行调查,以防止发生十二指肠癌。
本文章由计算机程序翻译,如有差异,请以英文原文为准。
求助全文
约1分钟内获得全文 求助全文
来源期刊
CiteScore
3.10
自引率
5.90%
发文量
38
审稿时长
>12 weeks
期刊介绍: Hereditary Cancer in Clinical Practice is an open access journal that publishes articles of interest for the cancer genetics community and serves as a discussion forum for the development appropriate healthcare strategies. Cancer genetics encompasses a wide variety of disciplines and knowledge in the field is rapidly growing, especially as the amount of information linking genetic differences to inherited cancer predispositions continues expanding. With the increased knowledge of genetic variability and how this relates to cancer risk there is a growing demand not only to disseminate this information into clinical practice but also to enable competent debate concerning how such information is managed and what it implies for patient care. Topics covered by the journal include but are not limited to: Original research articles on any aspect of inherited predispositions to cancer. Reviews of inherited cancer predispositions. Application of molecular and cytogenetic analysis to clinical decision making. Clinical aspects of the management of hereditary cancers. Genetic counselling issues associated with cancer genetics. The role of registries in improving health care of patients with an inherited predisposition to cancer.
×
引用
GB/T 7714-2015
复制
MLA
复制
APA
复制
导出至
BibTeX EndNote RefMan NoteFirst NoteExpress
×
提示
您的信息不完整,为了账户安全,请先补充。
现在去补充
×
提示
您因"违规操作"
具体请查看互助需知
我知道了
×
提示
确定
请完成安全验证×
copy
已复制链接
快去分享给好友吧!
我知道了
右上角分享
点击右上角分享
0
联系我们:info@booksci.cn Book学术提供免费学术资源搜索服务,方便国内外学者检索中英文文献。致力于提供最便捷和优质的服务体验。 Copyright © 2023 布克学术 All rights reserved.
京ICP备2023020795号-1
ghs 京公网安备 11010802042870号
Book学术文献互助
Book学术文献互助群
群 号:604180095
Book学术官方微信