Combining machine learning and optimization for the operational patient-bed assignment problem.

IF 2 3区 医学 Q2 HEALTH POLICY & SERVICES
Health Care Management Science Pub Date : 2023-12-01 Epub Date: 2023-11-28 DOI:10.1007/s10729-023-09652-5
Fabian Schäfer, Manuel Walther, Dominik G Grimm, Alexander Hübner
{"title":"Combining machine learning and optimization for the operational patient-bed assignment problem.","authors":"Fabian Schäfer, Manuel Walther, Dominik G Grimm, Alexander Hübner","doi":"10.1007/s10729-023-09652-5","DOIUrl":null,"url":null,"abstract":"<p><p>Assigning inpatients to hospital beds impacts patient satisfaction and the workload of nurses and doctors. The assignment is subject to unknown inpatient arrivals, in particular for emergency patients. Hospitals, therefore, need to deal with uncertainty on actual bed requirements and potential shortage situations as bed capacities are limited. This paper develops a model and solution approach for solving the patient bed-assignment problem that is based on a machine learning (ML) approach to forecasting emergency patients. First, it contributes by improving the anticipation of emergency patients using ML approaches, incorporating weather data, time and dates, important local and regional events, as well as current and historical occupancy levels. Drawing on real-life data from a large case hospital, we were able to improve forecasting accuracy for emergency inpatient arrivals. We achieved up to 17% better root mean square error (RMSE) when using ML methods compared to a baseline approach relying on averages for historical arrival rates. We further show that the ML methods outperform time series forecasts. Second, we develop a new hyper-heuristic for solving real-life problem instances based on the pilot method and a specialized greedy look-ahead (GLA) heuristic. When applying the hyper-heuristic in test sets we were able to increase the objective function by up to 5.3% in comparison to the benchmark approach in [40]. A benchmark with a Genetic Algorithm shows also the superiority of the hyper-heuristic. Third, the combination of ML for emergency patient admission forecasting with advanced optimization through the hyper-heuristic allowed us to obtain an improvement of up to 3.3% on a real-life problem.</p>","PeriodicalId":12903,"journal":{"name":"Health Care Management Science","volume":" ","pages":"785-806"},"PeriodicalIF":2.0000,"publicationDate":"2023-12-01","publicationTypes":"Journal Article","fieldsOfStudy":null,"isOpenAccess":false,"openAccessPdf":"https://www.ncbi.nlm.nih.gov/pmc/articles/PMC10709483/pdf/","citationCount":"0","resultStr":null,"platform":"Semanticscholar","paperid":null,"PeriodicalName":"Health Care Management Science","FirstCategoryId":"3","ListUrlMain":"https://doi.org/10.1007/s10729-023-09652-5","RegionNum":3,"RegionCategory":"医学","ArticlePicture":[],"TitleCN":null,"AbstractTextCN":null,"PMCID":null,"EPubDate":"2023/11/28 0:00:00","PubModel":"Epub","JCR":"Q2","JCRName":"HEALTH POLICY & SERVICES","Score":null,"Total":0}
引用次数: 0

Abstract

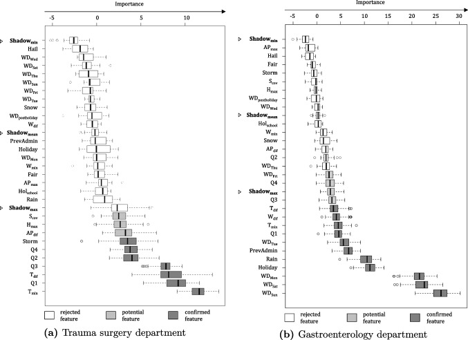
Assigning inpatients to hospital beds impacts patient satisfaction and the workload of nurses and doctors. The assignment is subject to unknown inpatient arrivals, in particular for emergency patients. Hospitals, therefore, need to deal with uncertainty on actual bed requirements and potential shortage situations as bed capacities are limited. This paper develops a model and solution approach for solving the patient bed-assignment problem that is based on a machine learning (ML) approach to forecasting emergency patients. First, it contributes by improving the anticipation of emergency patients using ML approaches, incorporating weather data, time and dates, important local and regional events, as well as current and historical occupancy levels. Drawing on real-life data from a large case hospital, we were able to improve forecasting accuracy for emergency inpatient arrivals. We achieved up to 17% better root mean square error (RMSE) when using ML methods compared to a baseline approach relying on averages for historical arrival rates. We further show that the ML methods outperform time series forecasts. Second, we develop a new hyper-heuristic for solving real-life problem instances based on the pilot method and a specialized greedy look-ahead (GLA) heuristic. When applying the hyper-heuristic in test sets we were able to increase the objective function by up to 5.3% in comparison to the benchmark approach in [40]. A benchmark with a Genetic Algorithm shows also the superiority of the hyper-heuristic. Third, the combination of ML for emergency patient admission forecasting with advanced optimization through the hyper-heuristic allowed us to obtain an improvement of up to 3.3% on a real-life problem.

Abstract Image

Abstract Image

Abstract Image

结合机器学习和优化的手术病床分配问题。
将住院病人分配到医院病床会影响病人的满意度和护士和医生的工作量。这项任务取决于未知的住院病人,特别是急诊病人。因此,医院需要处理实际床位需求的不确定性和床位容量有限的潜在短缺情况。本文提出了一种基于机器学习(ML)方法预测急诊患者的床位分配问题的模型和解决方法。首先,它通过使用机器学习方法,结合天气数据、时间和日期、重要的地方和区域事件以及当前和历史的入住率,提高对急诊患者的预测。利用来自一家大型医院的真实数据,我们能够提高对急诊住院病人到来的预测准确性。与依赖历史到达率平均值的基线方法相比,使用ML方法的均方根误差(RMSE)提高了17%。我们进一步表明,机器学习方法优于时间序列预测。其次,基于导频法和一种特殊的贪婪预见性(GLA)启发式算法,提出了一种求解现实问题实例的超启发式算法。当在测试集中应用超启发式算法时,与[40]中的基准方法相比,我们能够将目标函数增加5.3%。基于遗传算法的测试也显示了超启发式算法的优越性。第三,将ML用于急诊患者入院预测与通过超启发式的高级优化相结合,使我们能够在现实问题上获得高达3.3%的改进。
本文章由计算机程序翻译,如有差异,请以英文原文为准。
求助全文
约1分钟内获得全文 求助全文
来源期刊
Health Care Management Science
Health Care Management Science HEALTH POLICY & SERVICES-
CiteScore
7.20
自引率
5.60%
发文量
40
期刊介绍: Health Care Management Science publishes papers dealing with health care delivery, health care management, and health care policy. Papers should have a decision focus and make use of quantitative methods including management science, operations research, analytics, machine learning, and other emerging areas. Articles must clearly articulate the relevance and the realized or potential impact of the work. Applied research will be considered and is of particular interest if there is evidence that it was implemented or informed a decision-making process. Papers describing routine applications of known methods are discouraged. Authors are encouraged to disclose all data and analyses thereof, and to provide computational code when appropriate. Editorial statements for the individual departments are provided below. Health Care Analytics Departmental Editors: Margrét Bjarnadóttir, University of Maryland Nan Kong, Purdue University With the explosion in computing power and available data, we have seen fast changes in the analytics applied in the healthcare space. The Health Care Analytics department welcomes papers applying a broad range of analytical approaches, including those rooted in machine learning, survival analysis, and complex event analysis, that allow healthcare professionals to find opportunities for improvement in health system management, patient engagement, spending, and diagnosis. We especially encourage papers that combine predictive and prescriptive analytics to improve decision making and health care outcomes. The contribution of papers can be across multiple dimensions including new methodology, novel modeling techniques and health care through real-world cohort studies. Papers that are methodologically focused need in addition to show practical relevance. Similarly papers that are application focused should clearly demonstrate improvements over the status quo and available approaches by applying rigorous analytics. Health Care Operations Management Departmental Editors: Nilay Tanik Argon, University of North Carolina at Chapel Hill Bob Batt, University of Wisconsin The department invites high-quality papers on the design, control, and analysis of operations at healthcare systems. We seek papers on classical operations management issues (such as scheduling, routing, queuing, transportation, patient flow, and quality) as well as non-traditional problems driven by everchanging healthcare practice. Empirical, experimental, and analytical (model based) methodologies are all welcome. Papers may draw theory from across disciplines, and should provide insight into improving operations from the perspective of patients, service providers, organizations (municipal/government/industry), and/or society. Health Care Management Science Practice Departmental Editor: Vikram Tiwari, Vanderbilt University Medical Center The department seeks research from academicians and practitioners that highlights Management Science based solutions directly relevant to the practice of healthcare. Relevance is judged by the impact on practice, as well as the degree to which researchers engaged with practitioners in understanding the problem context and in developing the solution. Validity, that is, the extent to which the results presented do or would apply in practice is a key evaluation criterion. In addition to meeting the journal’s standards of originality and substantial contribution to knowledge creation, research that can be replicated in other organizations is encouraged. Papers describing unsuccessful applied research projects may be considered if there are generalizable learning points addressing why the project was unsuccessful. Health Care Productivity Analysis Departmental Editor: Jonas Schreyögg, University of Hamburg The department invites papers with rigorous methods and significant impact for policy and practice. Papers typically apply theory and techniques to measuring productivity in health care organizations and systems. The journal welcomes state-of-the-art parametric as well as non-parametric techniques such as data envelopment analysis, stochastic frontier analysis or partial frontier analysis. The contribution of papers can be manifold including new methodology, novel combination of existing methods or application of existing methods to new contexts. Empirical papers should produce results generalizable beyond a selected set of health care organizations. All papers should include a section on implications for management or policy to enhance productivity. Public Health Policy and Medical Decision Making Departmental Editors: Ebru Bish, University of Alabama Julie L. Higle, University of Southern California The department invites high quality papers that use data-driven methods to address important problems that arise in public health policy and medical decision-making domains. We welcome submissions that develop and apply mathematical and computational models in support of data-driven and model-based analyses for these problems. The Public Health Policy and Medical Decision-Making Department is particularly interested in papers that: Study high-impact problems involving health policy, treatment planning and design, and clinical applications; Develop original data-driven models, including those that integrate disease modeling with screening and/or treatment guidelines; Use model-based analyses as decision making-tools to identify optimal solutions, insights, recommendations. Articles must clearly articulate the relevance of the work to decision and/or policy makers and the potential impact on patients and/or society. Papers will include articulated contributions within the methodological domain, which may include modeling, analytical, or computational methodologies. Emerging Topics Departmental Editor: Alec Morton, University of Strathclyde Emerging Topics will handle papers which use innovative quantitative methods to shed light on frontier issues in healthcare management and policy. Such papers may deal with analytic challenges arising from novel health technologies or new organizational forms. Papers falling under this department may also deal with the analysis of new forms of data which are increasingly captured as health systems become more and more digitized.
×
引用
GB/T 7714-2015
复制
MLA
复制
APA
复制
导出至
BibTeX EndNote RefMan NoteFirst NoteExpress
×
提示
您的信息不完整,为了账户安全,请先补充。
现在去补充
×
提示
您因"违规操作"
具体请查看互助需知
我知道了
×
提示
确定
请完成安全验证×
copy
已复制链接
快去分享给好友吧!
我知道了
右上角分享
点击右上角分享
0
联系我们:info@booksci.cn Book学术提供免费学术资源搜索服务,方便国内外学者检索中英文文献。致力于提供最便捷和优质的服务体验。 Copyright © 2023 布克学术 All rights reserved.
京ICP备2023020795号-1
ghs 京公网安备 11010802042870号
Book学术文献互助
Book学术文献互助群
群 号:604180095
Book学术官方微信