Desensitized gamers? Violent video game exposure and empathy for pain in adolescents - an ERP study.

IF 1.5 4区 医学 Q4 NEUROSCIENCES
Social Neuroscience Pub Date : 2023-12-01 Epub Date: 2023-12-06 DOI:10.1080/17470919.2023.2284999
Ewa Miedzobrodzka, Johanna C van Hooff, Lydia Krabbendam, Elly A Konijn
{"title":"Desensitized gamers? Violent video game exposure and empathy for pain in adolescents - an ERP study.","authors":"Ewa Miedzobrodzka, Johanna C van Hooff, Lydia Krabbendam, Elly A Konijn","doi":"10.1080/17470919.2023.2284999","DOIUrl":null,"url":null,"abstract":"<p><p>This Event-Related Potential (ERP) study aimed to test how habitual and short-term violent video game exposure (VVGE) may affect empathy for pain responses in adolescents. In a within-subjects design, boys (<i>N</i> = 56; aged 12-16 years) performed a pain judgment task before and immediately after playing a violent video game. In this task, participants judged whether photos of hands depicted on their screen were in a painful situation or not. While both the P3 and the LPP components were not related to habitual violent video game exposure, general exposure to antisocial media content predicted lower P3 amplitudes to painful pictures. Further, 40 min of violent gameplay did not affect the P3 responses; however, it temporarily decreased LPP responses to painful pictures, suggesting a modest short-term desensitization effect. However, this latter interpretation is limited by a strong LPP pain effect - a significant amplitude difference between painful and non-painful pictures - that remained present in the post-game condition. Such persistent LPP effect may relate to the notion that adolescents are still learning how to properly regulate their emotional reactions. This study contributes to the limited literature on violent video games' desensitization in adolescents' brains, opening new avenues for media violence research.</p>","PeriodicalId":49511,"journal":{"name":"Social Neuroscience","volume":" ","pages":"365-381"},"PeriodicalIF":1.5000,"publicationDate":"2023-12-01","publicationTypes":"Journal Article","fieldsOfStudy":null,"isOpenAccess":false,"openAccessPdf":"https://www.ncbi.nlm.nih.gov/pmc/articles/PMC10721224/pdf/","citationCount":"0","resultStr":null,"platform":"Semanticscholar","paperid":null,"PeriodicalName":"Social Neuroscience","FirstCategoryId":"3","ListUrlMain":"https://doi.org/10.1080/17470919.2023.2284999","RegionNum":4,"RegionCategory":"医学","ArticlePicture":[],"TitleCN":null,"AbstractTextCN":null,"PMCID":null,"EPubDate":"2023/12/6 0:00:00","PubModel":"Epub","JCR":"Q4","JCRName":"NEUROSCIENCES","Score":null,"Total":0}
引用次数: 0

Abstract

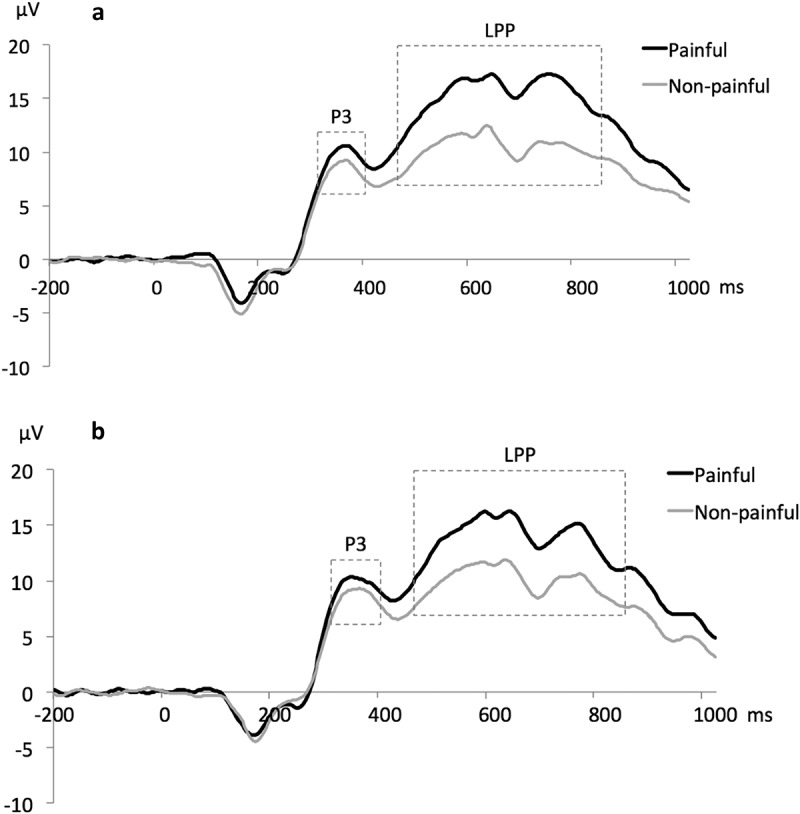
This Event-Related Potential (ERP) study aimed to test how habitual and short-term violent video game exposure (VVGE) may affect empathy for pain responses in adolescents. In a within-subjects design, boys (N = 56; aged 12-16 years) performed a pain judgment task before and immediately after playing a violent video game. In this task, participants judged whether photos of hands depicted on their screen were in a painful situation or not. While both the P3 and the LPP components were not related to habitual violent video game exposure, general exposure to antisocial media content predicted lower P3 amplitudes to painful pictures. Further, 40 min of violent gameplay did not affect the P3 responses; however, it temporarily decreased LPP responses to painful pictures, suggesting a modest short-term desensitization effect. However, this latter interpretation is limited by a strong LPP pain effect - a significant amplitude difference between painful and non-painful pictures - that remained present in the post-game condition. Such persistent LPP effect may relate to the notion that adolescents are still learning how to properly regulate their emotional reactions. This study contributes to the limited literature on violent video games' desensitization in adolescents' brains, opening new avenues for media violence research.

Abstract Image

Abstract Image

Abstract Image

麻木的玩家吗?青少年接触暴力视频游戏与对痛苦的共情——一项ERP研究。
事件相关电位(ERP)研究旨在测试习惯性和短期暴力视频游戏暴露(VVGE)如何影响青少年对疼痛反应的共情。在受试者内部设计中,男孩(N = 56;(12-16岁)在玩暴力视频游戏之前和之后立即进行疼痛判断任务。在这个任务中,参与者判断屏幕上显示的手的照片是否处于痛苦的状态。虽然P3和LPP成分与习惯性暴力视频游戏接触无关,但一般接触反社交媒体内容预测痛苦图片的P3振幅较低。此外,40分钟的暴力游戏并不影响P3反应,但它暂时降低了LPP对痛苦图片的反应,这表明存在适度的短期脱敏效应。然而,后一种解释受到强烈的LPP疼痛效应(疼痛和非疼痛图像之间的显著振幅差异)的限制,这种效应在赛后条件下仍然存在。这种持续的LPP效应可能与青少年仍在学习如何适当地调节他们的情绪反应的概念有关。本研究对暴力电子游戏在青少年大脑中的脱敏作用的有限文献做出了贡献,为媒体暴力研究开辟了新的途径。
本文章由计算机程序翻译,如有差异,请以英文原文为准。
求助全文
约1分钟内获得全文 求助全文
来源期刊
Social Neuroscience
Social Neuroscience 医学-神经科学
CiteScore
3.40
自引率
5.00%
发文量
36
审稿时长
6-12 weeks
期刊介绍: Social Neuroscience features original empirical Research Papers as well as targeted Reviews, Commentaries and Fast Track Brief Reports that examine how the brain mediates social behavior, social cognition, social interactions and relationships, group social dynamics, and related topics that deal with social/interpersonal psychology and neurobiology. Multi-paper symposia and special topic issues are organized and presented regularly as well. The goal of Social Neuroscience is to provide a place to publish empirical articles that intend to further our understanding of the neural mechanisms contributing to the development and maintenance of social behaviors, or to understanding how these mechanisms are disrupted in clinical disorders.
×
引用
GB/T 7714-2015
复制
MLA
复制
APA
复制
导出至
BibTeX EndNote RefMan NoteFirst NoteExpress
×
提示
您的信息不完整,为了账户安全,请先补充。
现在去补充
×
提示
您因"违规操作"
具体请查看互助需知
我知道了
×
提示
确定
请完成安全验证×
copy
已复制链接
快去分享给好友吧!
我知道了
右上角分享
点击右上角分享
0
联系我们:info@booksci.cn Book学术提供免费学术资源搜索服务,方便国内外学者检索中英文文献。致力于提供最便捷和优质的服务体验。 Copyright © 2023 布克学术 All rights reserved.
京ICP备2023020795号-1
ghs 京公网安备 11010802042870号
Book学术文献互助
Book学术文献互助群
群 号:604180095
Book学术官方微信