Morphology of the prefrontal cortex predicts body composition in early adolescence: cognitive mediators and environmental moderators in the ABCD Study.

IF 3.1 2区 医学 Q2 NEUROSCIENCES
Peter A Hall, John R Best, Elliott A Beaton, Mohammad N Sakib, James Danckert
{"title":"Morphology of the prefrontal cortex predicts body composition in early adolescence: cognitive mediators and environmental moderators in the ABCD Study.","authors":"Peter A Hall, John R Best, Elliott A Beaton, Mohammad N Sakib, James Danckert","doi":"10.1093/scan/nsab104","DOIUrl":null,"url":null,"abstract":"<p><p>Morphological features of the lateral prefrontal cortex (PFC) in late childhood and early adolescence may provide important clues as to the developmental etiology of clinical conditions such as obesity. Body composition measurements and structural brain imaging were performed on 11 226 youth at baseline (age 9 or 10 years) and follow-up (age 11 or 12 years). Baseline morphological features of the lateral PFC were examined as predictors of body composition. Findings revealed reliable associations between middle frontal gyrus volume, thickness and surface area and multiple indices of body composition. These findings were consistent across both time points and remained significant after covariate adjustment. Cortical thicknesses of the inferior frontal gyrus and lateral orbitofrontal cortex were also reliable predictors. Morphology effects on body composition were mediated by performance on a non-verbal reasoning task. Modest but reliable moderation effects were observed with respect to environmental self-regulatory demand after controlling for sex, race/ethnicity, income and methodological variables. Overall findings suggest that PFC morphology is a reliable predictor of body composition in early adolescence, as mediated through select cognitive functions and partially moderated by environmental characteristics.</p>","PeriodicalId":21789,"journal":{"name":"Social cognitive and affective neuroscience","volume":"18 1","pages":""},"PeriodicalIF":3.1000,"publicationDate":"2023-02-06","publicationTypes":"Journal Article","fieldsOfStudy":null,"isOpenAccess":false,"openAccessPdf":"https://www.ncbi.nlm.nih.gov/pmc/articles/PMC11305164/pdf/","citationCount":"0","resultStr":null,"platform":"Semanticscholar","paperid":null,"PeriodicalName":"Social cognitive and affective neuroscience","FirstCategoryId":"3","ListUrlMain":"https://doi.org/10.1093/scan/nsab104","RegionNum":2,"RegionCategory":"医学","ArticlePicture":[],"TitleCN":null,"AbstractTextCN":null,"PMCID":null,"EPubDate":"","PubModel":"","JCR":"Q2","JCRName":"NEUROSCIENCES","Score":null,"Total":0}
引用次数: 0

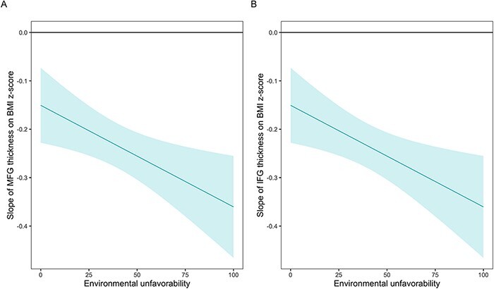
Abstract

Morphological features of the lateral prefrontal cortex (PFC) in late childhood and early adolescence may provide important clues as to the developmental etiology of clinical conditions such as obesity. Body composition measurements and structural brain imaging were performed on 11 226 youth at baseline (age 9 or 10 years) and follow-up (age 11 or 12 years). Baseline morphological features of the lateral PFC were examined as predictors of body composition. Findings revealed reliable associations between middle frontal gyrus volume, thickness and surface area and multiple indices of body composition. These findings were consistent across both time points and remained significant after covariate adjustment. Cortical thicknesses of the inferior frontal gyrus and lateral orbitofrontal cortex were also reliable predictors. Morphology effects on body composition were mediated by performance on a non-verbal reasoning task. Modest but reliable moderation effects were observed with respect to environmental self-regulatory demand after controlling for sex, race/ethnicity, income and methodological variables. Overall findings suggest that PFC morphology is a reliable predictor of body composition in early adolescence, as mediated through select cognitive functions and partially moderated by environmental characteristics.

Abstract Image

Abstract Image

Abstract Image

前额叶皮层形态预测青春期早期的身体构成:ABCD 研究中的认知中介因素和环境调节因素。
儿童晚期和青少年早期外侧前额叶皮层(PFC)的形态特征可能为肥胖等临床症状的发育病因提供重要线索。研究人员对 11 226 名青少年进行了基线(9 或 10 岁)和随访(11 或 12 岁)身体成分测量和大脑结构成像。研究将外侧前脑皮层的基线形态特征作为身体成分的预测因素。研究结果显示,额叶中回的体积、厚度和表面积与身体成分的多个指数之间存在可靠的关联。这些发现在两个时间点上都是一致的,并且在进行协变量调整后仍然显著。额叶下回和眶额叶外侧皮层的皮质厚度也是可靠的预测指标。非言语推理任务的成绩对身体组成的形态学影响具有中介作用。在控制了性别、种族/族裔、收入和方法学变量之后,观察到了环境自我调节需求方面的适度但可靠的调节效应。总体研究结果表明,前脑功能区形态是青春期早期身体成分的可靠预测因素,它通过特定的认知功能起中介作用,并部分受到环境特征的调节。
本文章由计算机程序翻译,如有差异,请以英文原文为准。
求助全文
约1分钟内获得全文 求助全文
来源期刊
CiteScore
6.80
自引率
4.80%
发文量
62
审稿时长
4-8 weeks
期刊介绍: SCAN will consider research that uses neuroimaging (fMRI, MRI, PET, EEG, MEG), neuropsychological patient studies, animal lesion studies, single-cell recording, pharmacological perturbation, and transcranial magnetic stimulation. SCAN will also consider submissions that examine the mediational role of neural processes in linking social phenomena to physiological, neuroendocrine, immunological, developmental, and genetic processes. Additionally, SCAN will publish papers that address issues of mental and physical health as they relate to social and affective processes (e.g., autism, anxiety disorders, depression, stress, effects of child rearing) as long as cognitive neuroscience methods are used.
×
引用
GB/T 7714-2015
复制
MLA
复制
APA
复制
导出至
BibTeX EndNote RefMan NoteFirst NoteExpress
×
提示
您的信息不完整,为了账户安全,请先补充。
现在去补充
×
提示
您因"违规操作"
具体请查看互助需知
我知道了
×
提示
确定
请完成安全验证×
copy
已复制链接
快去分享给好友吧!
我知道了
右上角分享
点击右上角分享
0
联系我们:info@booksci.cn Book学术提供免费学术资源搜索服务,方便国内外学者检索中英文文献。致力于提供最便捷和优质的服务体验。 Copyright © 2023 布克学术 All rights reserved.
京ICP备2023020795号-1
ghs 京公网安备 11010802042870号
Book学术文献互助
Book学术文献互助群
群 号:604180095
Book学术官方微信