Severity of Financial Toxicity for Patients Receiving Palliative Radiation Therapy.

IF 1.4 4区 医学 Q3 HEALTH CARE SCIENCES & SERVICES
Jeremy P Harris, Eric Ku, Garrett Harada, Sophie Hsu, Elaine Chiao, Pranathi Rao, Erin Healy, Misako Nagasaka, Jessica Humphreys, Michael A Hoyt
{"title":"Severity of Financial Toxicity for Patients Receiving Palliative Radiation Therapy.","authors":"Jeremy P Harris, Eric Ku, Garrett Harada, Sophie Hsu, Elaine Chiao, Pranathi Rao, Erin Healy, Misako Nagasaka, Jessica Humphreys, Michael A Hoyt","doi":"10.1177/10499091231187999","DOIUrl":null,"url":null,"abstract":"<p><p><b>Introduction:</b> Financial toxicity has negative implications for patient well-being and health outcomes. There is a gap in understanding financial toxicity for patients undergoing palliative radiotherapy (RT). <b>Methods:</b> A review of patients treated with palliative RT was conducted from January 2021 to December 2022. The FACIT-COST (COST) was measured (higher scores implying better financial well-being). Financial toxicity was graded according to previously suggested cutoffs: Grade 0 (score ≥26), Grade 1 (14-25), Grade 2 (1-13), and Grade 3 (0). FACIT-TS-G was used for treatment satisfaction, and EORTC QLQ-C30 was assessed for global health status and functional scales. <b>Results:</b> 53 patients were identified. Median COST was 25 (range 0-44), 49% had Grade 0 financial toxicity, 32% Grade 1, 15% Grade 2, and 4% Grade 3. Overall, cancer caused financial hardship among 45%. Higher COST was weakly associated with higher global health status/Quality of Life (QoL), physical functioning, role functioning, and cognitive functioning; moderately associated with higher social functioning; and strongly associated with improved emotional functioning. Higher income or Medicare or private coverage (rather than Medicaid) was associated with less financial toxicity, whereas an underrepresented minority background or a non-English language preference was associated with greater financial toxicity. A multivariate model found that higher area income (HR .80, <i>P</i> = .007) and higher cognitive functioning (HR .96, <i>P</i> = .01) were significantly associated with financial toxicity. <b>Conclusions:</b> Financial toxicity was seen in approximately half of patients receiving palliative RT. The highest risk groups were those with lower income and lower cognitive functioning. This study supports the measurement of financial toxicity by clinicians.</p>","PeriodicalId":50810,"journal":{"name":"American Journal of Hospice & Palliative Medicine","volume":" ","pages":"592-600"},"PeriodicalIF":1.4000,"publicationDate":"2024-06-01","publicationTypes":"Journal Article","fieldsOfStudy":null,"isOpenAccess":false,"openAccessPdf":"https://www.ncbi.nlm.nih.gov/pmc/articles/PMC10772523/pdf/","citationCount":"0","resultStr":null,"platform":"Semanticscholar","paperid":null,"PeriodicalName":"American Journal of Hospice & Palliative Medicine","FirstCategoryId":"3","ListUrlMain":"https://doi.org/10.1177/10499091231187999","RegionNum":4,"RegionCategory":"医学","ArticlePicture":[],"TitleCN":null,"AbstractTextCN":null,"PMCID":null,"EPubDate":"2023/7/5 0:00:00","PubModel":"Epub","JCR":"Q3","JCRName":"HEALTH CARE SCIENCES & SERVICES","Score":null,"Total":0}
引用次数: 0

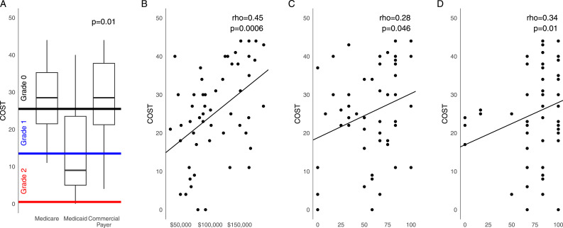
Abstract

Introduction: Financial toxicity has negative implications for patient well-being and health outcomes. There is a gap in understanding financial toxicity for patients undergoing palliative radiotherapy (RT). Methods: A review of patients treated with palliative RT was conducted from January 2021 to December 2022. The FACIT-COST (COST) was measured (higher scores implying better financial well-being). Financial toxicity was graded according to previously suggested cutoffs: Grade 0 (score ≥26), Grade 1 (14-25), Grade 2 (1-13), and Grade 3 (0). FACIT-TS-G was used for treatment satisfaction, and EORTC QLQ-C30 was assessed for global health status and functional scales. Results: 53 patients were identified. Median COST was 25 (range 0-44), 49% had Grade 0 financial toxicity, 32% Grade 1, 15% Grade 2, and 4% Grade 3. Overall, cancer caused financial hardship among 45%. Higher COST was weakly associated with higher global health status/Quality of Life (QoL), physical functioning, role functioning, and cognitive functioning; moderately associated with higher social functioning; and strongly associated with improved emotional functioning. Higher income or Medicare or private coverage (rather than Medicaid) was associated with less financial toxicity, whereas an underrepresented minority background or a non-English language preference was associated with greater financial toxicity. A multivariate model found that higher area income (HR .80, P = .007) and higher cognitive functioning (HR .96, P = .01) were significantly associated with financial toxicity. Conclusions: Financial toxicity was seen in approximately half of patients receiving palliative RT. The highest risk groups were those with lower income and lower cognitive functioning. This study supports the measurement of financial toxicity by clinicians.

Abstract Image

Abstract Image

Abstract Image

接受姑息放射治疗患者的经济毒性严重程度。
简介经济毒性会对患者的福祉和健康结果产生负面影响。对于接受姑息性放射治疗(RT)的患者来说,在了解经济毒性方面还存在差距。研究方法对 2021 年 1 月至 2022 年 12 月期间接受姑息性 RT 治疗的患者进行回顾性研究。对 FACIT-COST (COST) 进行了测量(分数越高,财务状况越好)。财务毒性根据之前建议的临界值进行分级:0级(得分≥26)、1级(14-25)、2级(1-13)和3级(0)。FACIT-TS-G 用于评估治疗满意度,EORTC QLQ-C30 用于评估总体健康状况和功能量表。结果共发现 53 名患者。中位 COST 为 25(范围 0-44),49% 的患者有 0 级经济毒性,32% 为 1 级,15% 为 2 级,4% 为 3 级。总体而言,45%的患者因癌症而陷入经济困境。较高的 COST 与较高的总体健康状况/生活质量 (QoL)、身体功能、角色功能和认知功能呈弱相关;与较高的社会功能呈中等相关;与情绪功能的改善呈强相关。较高的收入或医疗保险或私人保险(而非医疗补助)与较小的财务毒性相关,而代表性不足的少数民族背景或非英语语言偏好与较大的财务毒性相关。多变量模型发现,较高的地区收入(HR .80,P = .007)和较高的认知功能(HR .96,P = .01)与财务毒性显著相关。结论:接受姑息性 RT 治疗的患者中约有一半存在财务毒性。收入较低和认知功能较低的人群风险最高。这项研究支持临床医生对经济毒性进行测量。
本文章由计算机程序翻译,如有差异,请以英文原文为准。
求助全文
约1分钟内获得全文 求助全文
来源期刊
American Journal of Hospice & Palliative Medicine
American Journal of Hospice & Palliative Medicine HEALTH CARE SCIENCES & SERVICES-
CiteScore
3.80
自引率
5.30%
发文量
169
审稿时长
6-12 weeks
期刊介绍: American Journal of Hospice & Palliative Medicine (AJHPM) is a peer-reviewed journal, published eight times a year. In 30 years of publication, AJHPM has highlighted the interdisciplinary team approach to hospice and palliative medicine as related to the care of the patient and family. This journal is a member of the Committee on Publication Ethics (COPE).
×
引用
GB/T 7714-2015
复制
MLA
复制
APA
复制
导出至
BibTeX EndNote RefMan NoteFirst NoteExpress
×
提示
您的信息不完整,为了账户安全,请先补充。
现在去补充
×
提示
您因"违规操作"
具体请查看互助需知
我知道了
×
提示
确定
请完成安全验证×
copy
已复制链接
快去分享给好友吧!
我知道了
右上角分享
点击右上角分享
0
联系我们:info@booksci.cn Book学术提供免费学术资源搜索服务,方便国内外学者检索中英文文献。致力于提供最便捷和优质的服务体验。 Copyright © 2023 布克学术 All rights reserved.
京ICP备2023020795号-1
ghs 京公网安备 11010802042870号
Book学术文献互助
Book学术文献互助群
群 号:604180095
Book学术官方微信