The Effect of Habitual Speech Rate on Speaker-Specific Processing in English Stop Voicing Perception.

IF 1.1 2区 文学 Q3 AUDIOLOGY & SPEECH-LANGUAGE PATHOLOGY
Language and Speech Pub Date : 2024-09-01 Epub Date: 2023-08-09 DOI:10.1177/00238309231188078
Connie Ting, Yoonjung Kang
{"title":"The Effect of Habitual Speech Rate on Speaker-Specific Processing in English Stop Voicing Perception.","authors":"Connie Ting, Yoonjung Kang","doi":"10.1177/00238309231188078","DOIUrl":null,"url":null,"abstract":"<p><p>This study investigates listeners' ability to track individual speakers' habitual speech rate in a dialogue and adjust their perception of durational contrasts. Previous studies that found such adjustments are inconclusive as adjustments can be attributed to exemplars of target structures in the dialogue rather than perceptual calibration of habitual speech rates. In this study, English listeners were presented with a dialogue between a fast and slow speaker, containing no stressed syllable-initial voiceless stops. Listeners then categorized /pi/-/bi/ syllables differing along a voice onset time continuum. Results did not show conclusive evidence that listeners' response differed systematically depending on speakers' habitual speech rate.</p>","PeriodicalId":51255,"journal":{"name":"Language and Speech","volume":" ","pages":"692-701"},"PeriodicalIF":1.1000,"publicationDate":"2024-09-01","publicationTypes":"Journal Article","fieldsOfStudy":null,"isOpenAccess":false,"openAccessPdf":"https://www.ncbi.nlm.nih.gov/pmc/articles/PMC11367799/pdf/","citationCount":"0","resultStr":null,"platform":"Semanticscholar","paperid":null,"PeriodicalName":"Language and Speech","FirstCategoryId":"98","ListUrlMain":"https://doi.org/10.1177/00238309231188078","RegionNum":2,"RegionCategory":"文学","ArticlePicture":[],"TitleCN":null,"AbstractTextCN":null,"PMCID":null,"EPubDate":"2023/8/9 0:00:00","PubModel":"Epub","JCR":"Q3","JCRName":"AUDIOLOGY & SPEECH-LANGUAGE PATHOLOGY","Score":null,"Total":0}
引用次数: 0

Abstract

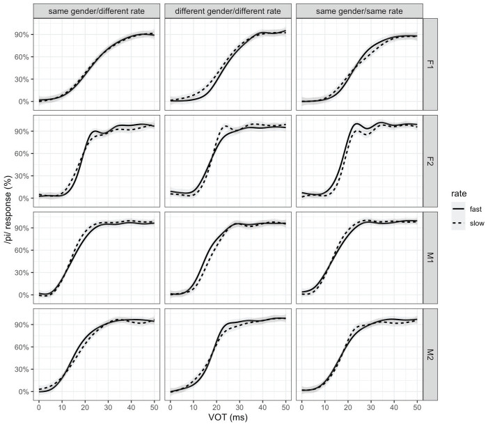
This study investigates listeners' ability to track individual speakers' habitual speech rate in a dialogue and adjust their perception of durational contrasts. Previous studies that found such adjustments are inconclusive as adjustments can be attributed to exemplars of target structures in the dialogue rather than perceptual calibration of habitual speech rates. In this study, English listeners were presented with a dialogue between a fast and slow speaker, containing no stressed syllable-initial voiceless stops. Listeners then categorized /pi/-/bi/ syllables differing along a voice onset time continuum. Results did not show conclusive evidence that listeners' response differed systematically depending on speakers' habitual speech rate.

Abstract Image

Abstract Image

Abstract Image

习惯语速对英语停顿发声感知中特定说话人处理的影响》(The Effect of Habitual Speech Rate on Speaker-Specific Processing in English Stop Voicing Perception)。
本研究调查了听者在对话中跟踪个别说话者的习惯语速并调整其对持续时间对比的感知的能力。以往发现这种调整的研究并无定论,因为调整可能归因于对话中目标结构的范例,而不是对习惯语速的感知校准。在这项研究中,向英语听者展示了快语速说话者和慢语速说话者之间的对话,对话中不包含重读音节首的无声停顿。然后,听者按照发声时间连续体对/pi/-/bi/音节进行分类。结果并未显示出确凿证据,证明听者的反应因说话者的习惯语速不同而存在系统性差异。
本文章由计算机程序翻译,如有差异,请以英文原文为准。
求助全文
约1分钟内获得全文 求助全文
来源期刊
Language and Speech
Language and Speech AUDIOLOGY & SPEECH-LANGUAGE PATHOLOGY-
CiteScore
4.00
自引率
5.60%
发文量
39
审稿时长
>12 weeks
期刊介绍: Language and Speech is a peer-reviewed journal which provides an international forum for communication among researchers in the disciplines that contribute to our understanding of the production, perception, processing, learning, use, and disorders of speech and language. The journal accepts reports of original research in all these areas.
×
引用
GB/T 7714-2015
复制
MLA
复制
APA
复制
导出至
BibTeX EndNote RefMan NoteFirst NoteExpress
×
提示
您的信息不完整,为了账户安全,请先补充。
现在去补充
×
提示
您因"违规操作"
具体请查看互助需知
我知道了
×
提示
确定
请完成安全验证×
copy
已复制链接
快去分享给好友吧!
我知道了
右上角分享
点击右上角分享
0
联系我们:info@booksci.cn Book学术提供免费学术资源搜索服务,方便国内外学者检索中英文文献。致力于提供最便捷和优质的服务体验。 Copyright © 2023 布克学术 All rights reserved.
京ICP备2023020795号-1
ghs 京公网安备 11010802042870号
Book学术文献互助
Book学术文献互助群
群 号:604180095
Book学术官方微信