Out-of-equilibrium gene expression fluctuations in the presence of extrinsic noise.

IF 1.6 4区 生物学 Q4 BIOCHEMISTRY & MOLECULAR BIOLOGY
Marta Biondo, Abhyudai Singh, Michele Caselle, Matteo Osella
{"title":"Out-of-equilibrium gene expression fluctuations in the presence of extrinsic noise.","authors":"Marta Biondo, Abhyudai Singh, Michele Caselle, Matteo Osella","doi":"10.1088/1478-3975/acea4e","DOIUrl":null,"url":null,"abstract":"<p><p>Cell-to-cell variability in protein concentrations is strongly affected by extrinsic noise, especially for highly expressed genes. Extrinsic noise can be due to fluctuations of several possible cellular factors connected to cell physiology and to the level of key enzymes in the expression process. However, how to identify the predominant sources of extrinsic noise in a biological system is still an open question. This work considers a general stochastic model of gene expression with extrinsic noise represented as fluctuations of the different model rates, and focuses on the out-of-equilibrium expression dynamics. Combining analytical calculations with stochastic simulations, we characterize how extrinsic noise shapes the protein variability during gene activation or inactivation, depending on the prevailing source of extrinsic variability, on its intensity and timescale. In particular, we show that qualitatively different noise profiles can be identified depending on which are the fluctuating parameters. This indicates an experimentally accessible way to pinpoint the dominant sources of extrinsic noise using time-coarse experiments.</p>","PeriodicalId":20207,"journal":{"name":"Physical biology","volume":"20 5","pages":""},"PeriodicalIF":1.6000,"publicationDate":"2023-08-10","publicationTypes":"Journal Article","fieldsOfStudy":null,"isOpenAccess":false,"openAccessPdf":"https://www.ncbi.nlm.nih.gov/pmc/articles/PMC10680095/pdf/","citationCount":"2","resultStr":null,"platform":"Semanticscholar","paperid":null,"PeriodicalName":"Physical biology","FirstCategoryId":"99","ListUrlMain":"https://doi.org/10.1088/1478-3975/acea4e","RegionNum":4,"RegionCategory":"生物学","ArticlePicture":[],"TitleCN":null,"AbstractTextCN":null,"PMCID":null,"EPubDate":"","PubModel":"","JCR":"Q4","JCRName":"BIOCHEMISTRY & MOLECULAR BIOLOGY","Score":null,"Total":0}
引用次数: 2

Abstract

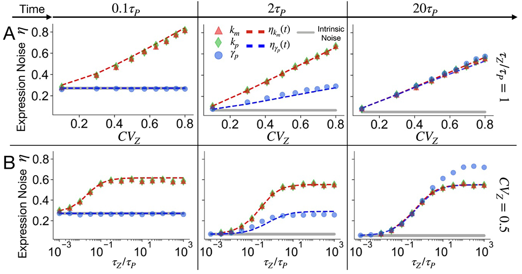
Cell-to-cell variability in protein concentrations is strongly affected by extrinsic noise, especially for highly expressed genes. Extrinsic noise can be due to fluctuations of several possible cellular factors connected to cell physiology and to the level of key enzymes in the expression process. However, how to identify the predominant sources of extrinsic noise in a biological system is still an open question. This work considers a general stochastic model of gene expression with extrinsic noise represented as fluctuations of the different model rates, and focuses on the out-of-equilibrium expression dynamics. Combining analytical calculations with stochastic simulations, we characterize how extrinsic noise shapes the protein variability during gene activation or inactivation, depending on the prevailing source of extrinsic variability, on its intensity and timescale. In particular, we show that qualitatively different noise profiles can be identified depending on which are the fluctuating parameters. This indicates an experimentally accessible way to pinpoint the dominant sources of extrinsic noise using time-coarse experiments.

Abstract Image

Abstract Image

Abstract Image

在外来噪声存在下的非平衡基因表达波动。
细胞间蛋白质浓度的变化受到外部噪声的强烈影响,尤其是高表达基因。外部噪声可能是由于与细胞生理和表达过程中关键酶水平相关的几种可能的细胞因素的波动。然而,如何识别生物系统中外来噪声的主要来源仍然是一个悬而未决的问题。本文考虑了一种通用的基因表达随机模型,其外部噪声表现为不同模型率的波动,并着重于非平衡表达动力学。结合分析计算和随机模拟,我们描述了外在噪声如何影响基因激活或失活期间的蛋白质变异性,这取决于外在变异性的主要来源、强度和时间尺度。特别是,我们表明,定性不同的噪声分布可以识别取决于哪些是波动参数。这表明了一种实验上可行的方法,可以利用时间粗实验来确定外部噪声的主要来源。
本文章由计算机程序翻译,如有差异,请以英文原文为准。
求助全文
约1分钟内获得全文 求助全文
来源期刊
Physical biology
Physical biology 生物-生物物理
CiteScore
4.20
自引率
0.00%
发文量
50
审稿时长
3 months
期刊介绍: Physical Biology publishes articles in the broad interdisciplinary field bridging biology with the physical sciences and engineering. This journal focuses on research in which quantitative approaches – experimental, theoretical and modeling – lead to new insights into biological systems at all scales of space and time, and all levels of organizational complexity. Physical Biology accepts contributions from a wide range of biological sub-fields, including topics such as: molecular biophysics, including single molecule studies, protein-protein and protein-DNA interactions subcellular structures, organelle dynamics, membranes, protein assemblies, chromosome structure intracellular processes, e.g. cytoskeleton dynamics, cellular transport, cell division systems biology, e.g. signaling, gene regulation and metabolic networks cells and their microenvironment, e.g. cell mechanics and motility, chemotaxis, extracellular matrix, biofilms cell-material interactions, e.g. biointerfaces, electrical stimulation and sensing, endocytosis cell-cell interactions, cell aggregates, organoids, tissues and organs developmental dynamics, including pattern formation and morphogenesis physical and evolutionary aspects of disease, e.g. cancer progression, amyloid formation neuronal systems, including information processing by networks, memory and learning population dynamics, ecology, and evolution collective action and emergence of collective phenomena.
×
引用
GB/T 7714-2015
复制
MLA
复制
APA
复制
导出至
BibTeX EndNote RefMan NoteFirst NoteExpress
×
提示
您的信息不完整,为了账户安全,请先补充。
现在去补充
×
提示
您因"违规操作"
具体请查看互助需知
我知道了
×
提示
确定
请完成安全验证×
copy
已复制链接
快去分享给好友吧!
我知道了
右上角分享
点击右上角分享
0
联系我们:info@booksci.cn Book学术提供免费学术资源搜索服务,方便国内外学者检索中英文文献。致力于提供最便捷和优质的服务体验。 Copyright © 2023 布克学术 All rights reserved.
京ICP备2023020795号-1
ghs 京公网安备 11010802042870号
Book学术文献互助
Book学术文献互助群
群 号:604180095
Book学术官方微信