特殊教育的代表性趋势因语言状况而异:田纳西州代表性不足的证据。

IF 2.9 2区 教育学 Q1 EDUCATION, SPECIAL
Journal of Learning Disabilities Pub Date : 2024-05-01 Epub Date: 2023-06-13 DOI:10.1177/00222194231178285
Jeannette Mancilla-Martinez, Min Hyun Oh, Gigi Luk, Adam Rollins
{"title":"特殊教育的代表性趋势因语言状况而异:田纳西州代表性不足的证据。","authors":"Jeannette Mancilla-Martinez, Min Hyun Oh, Gigi Luk, Adam Rollins","doi":"10.1177/00222194231178285","DOIUrl":null,"url":null,"abstract":"<p><p>Using U.S. state-level data, we report unadjusted and adjusted odds ratio of special education (SPED) trends in Tennessee from 2009 to 2019 for students in Grades 3 to 8 by three language groups: native English speakers (NES), English-proficient bilinguals (EPB), and Current English learners (Current EL). We report trends across all SPED disability categories and across five prevalent disability categories (specific learning disability, specific language impairment, intellectual disability, other health impairments, and autism). The cross-sectional analytic sample included 812,783 students from 28 districts that met the SPED risk ratio threshold set by the state. Results revealed that, compared with NES students, both EPB and Current EL students were generally less likely to receive SPED services, suggesting evidence of language status disparities in SPED representation. Furthermore, findings varied depending on whether adjustments were made to generate odds ratios, especially for higher-incidence disabilities (specific learning disability, specific language impairment, and intellectual disability). Finally, the most severe evidence of underrepresentation was in lower-incidence disabilities (other health impairments and autism). Our results underscore the need for further examination into low rates of SPED identification among learners whose first language is not English (EPB and Current EL). We discuss the contextualized research, practice, and policy implications of our findings.</p>","PeriodicalId":48189,"journal":{"name":"Journal of Learning Disabilities","volume":" ","pages":"153-167"},"PeriodicalIF":2.9000,"publicationDate":"2024-05-01","publicationTypes":"Journal Article","fieldsOfStudy":null,"isOpenAccess":false,"openAccessPdf":"https://www.ncbi.nlm.nih.gov/pmc/articles/PMC11044507/pdf/","citationCount":"0","resultStr":"{\"title\":\"Special Education Representation Trends Vary by Language Status: Evidence of Underrepresentation in Tennessee.\",\"authors\":\"Jeannette Mancilla-Martinez, Min Hyun Oh, Gigi Luk, Adam Rollins\",\"doi\":\"10.1177/00222194231178285\",\"DOIUrl\":null,\"url\":null,\"abstract\":\"<p><p>Using U.S. state-level data, we report unadjusted and adjusted odds ratio of special education (SPED) trends in Tennessee from 2009 to 2019 for students in Grades 3 to 8 by three language groups: native English speakers (NES), English-proficient bilinguals (EPB), and Current English learners (Current EL). We report trends across all SPED disability categories and across five prevalent disability categories (specific learning disability, specific language impairment, intellectual disability, other health impairments, and autism). The cross-sectional analytic sample included 812,783 students from 28 districts that met the SPED risk ratio threshold set by the state. Results revealed that, compared with NES students, both EPB and Current EL students were generally less likely to receive SPED services, suggesting evidence of language status disparities in SPED representation. Furthermore, findings varied depending on whether adjustments were made to generate odds ratios, especially for higher-incidence disabilities (specific learning disability, specific language impairment, and intellectual disability). Finally, the most severe evidence of underrepresentation was in lower-incidence disabilities (other health impairments and autism). Our results underscore the need for further examination into low rates of SPED identification among learners whose first language is not English (EPB and Current EL). We discuss the contextualized research, practice, and policy implications of our findings.</p>\",\"PeriodicalId\":48189,\"journal\":{\"name\":\"Journal of Learning Disabilities\",\"volume\":\" \",\"pages\":\"153-167\"},\"PeriodicalIF\":2.9000,\"publicationDate\":\"2024-05-01\",\"publicationTypes\":\"Journal Article\",\"fieldsOfStudy\":null,\"isOpenAccess\":false,\"openAccessPdf\":\"https://www.ncbi.nlm.nih.gov/pmc/articles/PMC11044507/pdf/\",\"citationCount\":\"0\",\"resultStr\":null,\"platform\":\"Semanticscholar\",\"paperid\":null,\"PeriodicalName\":\"Journal of Learning Disabilities\",\"FirstCategoryId\":\"95\",\"ListUrlMain\":\"https://doi.org/10.1177/00222194231178285\",\"RegionNum\":2,\"RegionCategory\":\"教育学\",\"ArticlePicture\":[],\"TitleCN\":null,\"AbstractTextCN\":null,\"PMCID\":null,\"EPubDate\":\"2023/6/13 0:00:00\",\"PubModel\":\"Epub\",\"JCR\":\"Q1\",\"JCRName\":\"EDUCATION, SPECIAL\",\"Score\":null,\"Total\":0}","platform":"Semanticscholar","paperid":null,"PeriodicalName":"Journal of Learning Disabilities","FirstCategoryId":"95","ListUrlMain":"https://doi.org/10.1177/00222194231178285","RegionNum":2,"RegionCategory":"教育学","ArticlePicture":[],"TitleCN":null,"AbstractTextCN":null,"PMCID":null,"EPubDate":"2023/6/13 0:00:00","PubModel":"Epub","JCR":"Q1","JCRName":"EDUCATION, SPECIAL","Score":null,"Total":0}
引用次数: 0

摘要

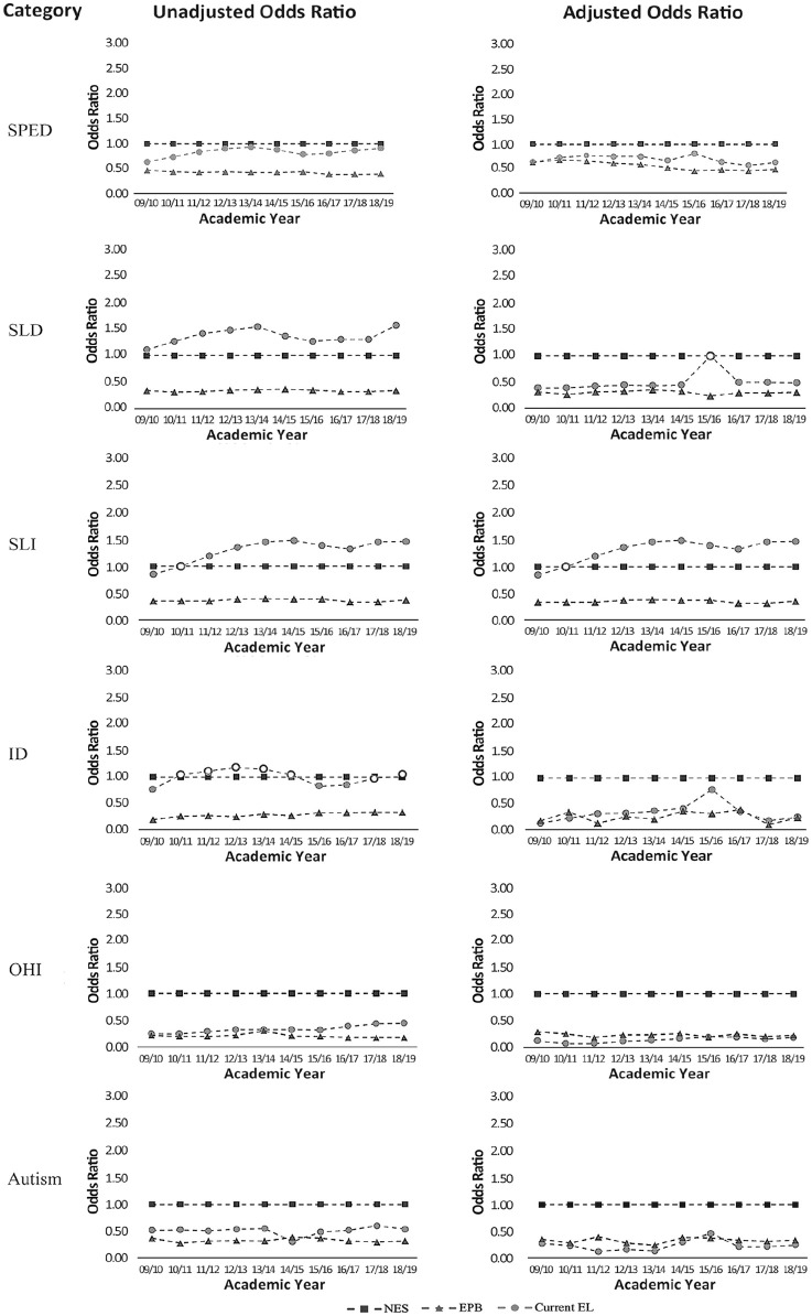
利用美国州级数据,我们报告了田纳西州三至八年级学生在 2009 年至 2019 年期间特殊教育(SPED)趋势的未调整和调整后的几率比,按三个语言群体划分:英语为母语者(NES)、英语熟练的双语者(EPB)和当前英语学习者(Current EL)。我们报告了所有 SPED 残疾类别和五个普遍残疾类别(特殊学习障碍、特殊语言障碍、智力障碍、其他健康障碍和自闭症)的趋势。横截面分析样本包括来自 28 个地区的 812 783 名学生,这些地区均符合州政府规定的 SPED 风险比率阈值。结果显示,与非英语学生相比,EPB 和当前 EL 学生接受 SPED 服务的可能性普遍较低,这表明 SPED 的代表性存在语言地位差异。此外,不同的调查结果取决于是否对生成的几率比进行了调整,特别是对于高发残疾(特殊学习障碍、特殊语言障碍和智力障碍)。最后,在发病率较低的残疾(其他健康障碍和自闭症)中,代表性不足的情况最为严重。我们的研究结果突出表明,有必要进一步研究母语非英语的学习者(EPB 和当前 EL)中 SPED 识别率低的问题。我们将讨论我们的研究结果对研究、实践和政策的影响。
本文章由计算机程序翻译,如有差异,请以英文原文为准。

Special Education Representation Trends Vary by Language Status: Evidence of Underrepresentation in Tennessee.

Special Education Representation Trends Vary by Language Status: Evidence of Underrepresentation in Tennessee.

Special Education Representation Trends Vary by Language Status: Evidence of Underrepresentation in Tennessee.

Special Education Representation Trends Vary by Language Status: Evidence of Underrepresentation in Tennessee.

Using U.S. state-level data, we report unadjusted and adjusted odds ratio of special education (SPED) trends in Tennessee from 2009 to 2019 for students in Grades 3 to 8 by three language groups: native English speakers (NES), English-proficient bilinguals (EPB), and Current English learners (Current EL). We report trends across all SPED disability categories and across five prevalent disability categories (specific learning disability, specific language impairment, intellectual disability, other health impairments, and autism). The cross-sectional analytic sample included 812,783 students from 28 districts that met the SPED risk ratio threshold set by the state. Results revealed that, compared with NES students, both EPB and Current EL students were generally less likely to receive SPED services, suggesting evidence of language status disparities in SPED representation. Furthermore, findings varied depending on whether adjustments were made to generate odds ratios, especially for higher-incidence disabilities (specific learning disability, specific language impairment, and intellectual disability). Finally, the most severe evidence of underrepresentation was in lower-incidence disabilities (other health impairments and autism). Our results underscore the need for further examination into low rates of SPED identification among learners whose first language is not English (EPB and Current EL). We discuss the contextualized research, practice, and policy implications of our findings.

求助全文
通过发布文献求助,成功后即可免费获取论文全文。 去求助
来源期刊
CiteScore
7.60
自引率
3.30%
发文量
30
期刊介绍: The Journal of Learning Disabilities (JLD), a multidisciplinary, international publication, presents work and comments related to learning disabilities. Initial consideration of a manuscript depends upon (a) the relevance and usefulness of the content to the readership; (b) how the manuscript compares to other articles dealing with similar content on pertinent variables (e.g., sample size, research design, review of literature); (c) clarity of writing style; and (d) the author"s adherence to APA guidelines. Articles cover such fields as education, psychology, neurology, medicine, law, and counseling.
×
引用
GB/T 7714-2015
复制
MLA
复制
APA
复制
导出至
BibTeX EndNote RefMan NoteFirst NoteExpress
×
提示
您的信息不完整,为了账户安全,请先补充。
现在去补充
×
提示
您因"违规操作"
具体请查看互助需知
我知道了
×
提示
确定
请完成安全验证×
copy
已复制链接
快去分享给好友吧!
我知道了
右上角分享
点击右上角分享
0
联系我们:info@booksci.cn Book学术提供免费学术资源搜索服务,方便国内外学者检索中英文文献。致力于提供最便捷和优质的服务体验。 Copyright © 2023 布克学术 All rights reserved.
京ICP备2023020795号-1
ghs 京公网安备 11010802042870号
Book学术文献互助
Book学术文献互助群
群 号:604180095
Book学术官方微信