用富含不同废弃物的厨余饲养的白头翁幼虫的抗氧化、抗炎和抗脂肪生成活性及近似物成分。

Q2 Nursing
Texto Contexto Enfermagem Pub Date : 2024-09-01 Epub Date: 2024-09-30 DOI:10.5187/jast.2023.e87
Jung Hwan Oh, Fatih Karadeniz, Jiho Yang, Hyunjung Lee, Mi-Na Choi, Seongeun Jeon, Gwangsic Park, Jongju Kim, Kwanho Park, Chang-Suk Kong
{"title":"用富含不同废弃物的厨余饲养的白头翁幼虫的抗氧化、抗炎和抗脂肪生成活性及近似物成分。","authors":"Jung Hwan Oh, Fatih Karadeniz, Jiho Yang, Hyunjung Lee, Mi-Na Choi, Seongeun Jeon, Gwangsic Park, Jongju Kim, Kwanho Park, Chang-Suk Kong","doi":"10.5187/jast.2023.e87","DOIUrl":null,"url":null,"abstract":"<p><p>The use of insects as a food source is not a new idea, but it has gained momentum in recent years due to the need for sustainable protein source in livestock feedstuffs and for more environmentally friendly organic waste treatment. In the case of black soldier fly larvae, <i>Hermetia illucens</i>, research has focused on their ability to convert organic waste into usable nutrients and their potential as a protein source for animal and human consumption. In this study, black soldier fly larvae were reared on raw food waste (FW) mixed with garlic peel waste (G) and hydronic growth media waste (H) and the proximate composition and bioactive potential of black soldier fly larvae extract (SFL) were compared. Analysis showed that protein content of SFL fed with G was 4.21% higher and lipid content was 9.93% lower than FW. Similar results were obtained for SFL fed with H. Antioxidant activity of SFL-G was higher than that of SFL-FW and SFL-H. SFL-G treatment exhibited enhanced anti-inflammatory and anti-adipogenesis activities as well compared to SFL-FW. Current results suggested that feeding black soldier fly larvae with food waste added with garlic peel and hydroponic growth media waste resulted in increased nutritional value, polyphenol content and bioactivity for SFLs. In this context, garlic peel waste-added food waste was suggested a promising substrate for black soldier fly larvae to obtain high-quality protein source with enhanced antioxidant, anti-inflammatory and anti-adipogenic potential.</p>","PeriodicalId":51188,"journal":{"name":"Texto Contexto Enfermagem","volume":"23 1","pages":"1034-1048"},"PeriodicalIF":0.0000,"publicationDate":"2024-09-01","publicationTypes":"Journal Article","fieldsOfStudy":null,"isOpenAccess":false,"openAccessPdf":"https://www.ncbi.nlm.nih.gov/pmc/articles/PMC11466730/pdf/","citationCount":"0","resultStr":"{\"title\":\"Antioxidant, anti-inflammatory, anti-adipogenesis activities and proximate composition of <i>Hermetia illucens</i> larvae reared on food waste enriched with different wastes.\",\"authors\":\"Jung Hwan Oh, Fatih Karadeniz, Jiho Yang, Hyunjung Lee, Mi-Na Choi, Seongeun Jeon, Gwangsic Park, Jongju Kim, Kwanho Park, Chang-Suk Kong\",\"doi\":\"10.5187/jast.2023.e87\",\"DOIUrl\":null,\"url\":null,\"abstract\":\"<p><p>The use of insects as a food source is not a new idea, but it has gained momentum in recent years due to the need for sustainable protein source in livestock feedstuffs and for more environmentally friendly organic waste treatment. In the case of black soldier fly larvae, <i>Hermetia illucens</i>, research has focused on their ability to convert organic waste into usable nutrients and their potential as a protein source for animal and human consumption. In this study, black soldier fly larvae were reared on raw food waste (FW) mixed with garlic peel waste (G) and hydronic growth media waste (H) and the proximate composition and bioactive potential of black soldier fly larvae extract (SFL) were compared. Analysis showed that protein content of SFL fed with G was 4.21% higher and lipid content was 9.93% lower than FW. Similar results were obtained for SFL fed with H. Antioxidant activity of SFL-G was higher than that of SFL-FW and SFL-H. SFL-G treatment exhibited enhanced anti-inflammatory and anti-adipogenesis activities as well compared to SFL-FW. Current results suggested that feeding black soldier fly larvae with food waste added with garlic peel and hydroponic growth media waste resulted in increased nutritional value, polyphenol content and bioactivity for SFLs. In this context, garlic peel waste-added food waste was suggested a promising substrate for black soldier fly larvae to obtain high-quality protein source with enhanced antioxidant, anti-inflammatory and anti-adipogenic potential.</p>\",\"PeriodicalId\":51188,\"journal\":{\"name\":\"Texto Contexto Enfermagem\",\"volume\":\"23 1\",\"pages\":\"1034-1048\"},\"PeriodicalIF\":0.0000,\"publicationDate\":\"2024-09-01\",\"publicationTypes\":\"Journal Article\",\"fieldsOfStudy\":null,\"isOpenAccess\":false,\"openAccessPdf\":\"https://www.ncbi.nlm.nih.gov/pmc/articles/PMC11466730/pdf/\",\"citationCount\":\"0\",\"resultStr\":null,\"platform\":\"Semanticscholar\",\"paperid\":null,\"PeriodicalName\":\"Texto Contexto Enfermagem\",\"FirstCategoryId\":\"1085\",\"ListUrlMain\":\"https://doi.org/10.5187/jast.2023.e87\",\"RegionNum\":0,\"RegionCategory\":null,\"ArticlePicture\":[],\"TitleCN\":null,\"AbstractTextCN\":null,\"PMCID\":null,\"EPubDate\":\"2024/9/30 0:00:00\",\"PubModel\":\"Epub\",\"JCR\":\"Q2\",\"JCRName\":\"Nursing\",\"Score\":null,\"Total\":0}","platform":"Semanticscholar","paperid":null,"PeriodicalName":"Texto Contexto Enfermagem","FirstCategoryId":"1085","ListUrlMain":"https://doi.org/10.5187/jast.2023.e87","RegionNum":0,"RegionCategory":null,"ArticlePicture":[],"TitleCN":null,"AbstractTextCN":null,"PMCID":null,"EPubDate":"2024/9/30 0:00:00","PubModel":"Epub","JCR":"Q2","JCRName":"Nursing","Score":null,"Total":0}
引用次数: 0

摘要

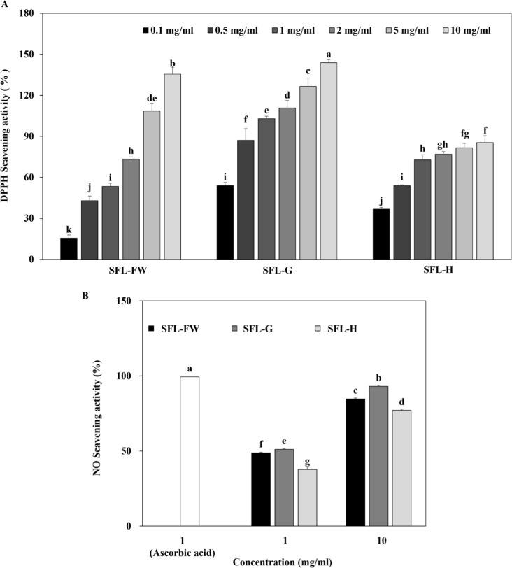
利用昆虫作为食物来源并不是一个新想法,但近年来,由于牲畜饲料中需要可持续的蛋白质来源,以及需要更环保的有机废物处理方法,这种利用昆虫作为食物来源的势头越来越猛。就黑实蝇幼虫(Hermetia illucens)而言,研究重点是其将有机废物转化为可用营养物质的能力,以及其作为供动物和人类食用的蛋白质来源的潜力。在这项研究中,黑翅苍蝇幼虫在混合了大蒜皮废弃物(G)和水力生长介质废弃物(H)的生食物垃圾(FW)上饲养,并比较了黑翅苍蝇幼虫提取物(SFL)的近似成分和生物活性潜力。分析表明,与 FW 相比,用 G 饲喂的 SFL 蛋白质含量高 4.21%,脂质含量低 9.93%。SFL-G 的抗氧化活性高于 SFL-FW 和 SFL-H。与 SFL-FW 相比,SFL-G 处理具有更强的抗炎和抗脂肪生成活性。目前的研究结果表明,用添加了大蒜皮和水培生长介质废料的食物垃圾喂养黑翅蝇幼虫可提高 SFL 的营养价值、多酚含量和生物活性。因此,添加了大蒜皮废弃物的厨余被认为是一种很有前景的基质,黑翅苍蝇幼虫可以利用这种基质获得优质蛋白源,并增强其抗氧化、抗炎和抗脂肪生成的潜力。
本文章由计算机程序翻译,如有差异,请以英文原文为准。

Antioxidant, anti-inflammatory, anti-adipogenesis activities and proximate composition of <i>Hermetia illucens</i> larvae reared on food waste enriched with different wastes.

Antioxidant, anti-inflammatory, anti-adipogenesis activities and proximate composition of <i>Hermetia illucens</i> larvae reared on food waste enriched with different wastes.

Antioxidant, anti-inflammatory, anti-adipogenesis activities and proximate composition of <i>Hermetia illucens</i> larvae reared on food waste enriched with different wastes.

Antioxidant, anti-inflammatory, anti-adipogenesis activities and proximate composition of Hermetia illucens larvae reared on food waste enriched with different wastes.

The use of insects as a food source is not a new idea, but it has gained momentum in recent years due to the need for sustainable protein source in livestock feedstuffs and for more environmentally friendly organic waste treatment. In the case of black soldier fly larvae, Hermetia illucens, research has focused on their ability to convert organic waste into usable nutrients and their potential as a protein source for animal and human consumption. In this study, black soldier fly larvae were reared on raw food waste (FW) mixed with garlic peel waste (G) and hydronic growth media waste (H) and the proximate composition and bioactive potential of black soldier fly larvae extract (SFL) were compared. Analysis showed that protein content of SFL fed with G was 4.21% higher and lipid content was 9.93% lower than FW. Similar results were obtained for SFL fed with H. Antioxidant activity of SFL-G was higher than that of SFL-FW and SFL-H. SFL-G treatment exhibited enhanced anti-inflammatory and anti-adipogenesis activities as well compared to SFL-FW. Current results suggested that feeding black soldier fly larvae with food waste added with garlic peel and hydroponic growth media waste resulted in increased nutritional value, polyphenol content and bioactivity for SFLs. In this context, garlic peel waste-added food waste was suggested a promising substrate for black soldier fly larvae to obtain high-quality protein source with enhanced antioxidant, anti-inflammatory and anti-adipogenic potential.

求助全文
通过发布文献求助,成功后即可免费获取论文全文。 去求助
来源期刊
Texto Contexto Enfermagem
Texto Contexto Enfermagem Nursing-General Nursing
CiteScore
1.80
自引率
0.00%
发文量
85
审稿时长
>12 weeks
期刊介绍: Texto & Contexto Enfermagem provides space for reflection and deepening of knowledge about issues of practice, teaching and research in health and nursing, at national and international levels. The journal is published quarterly in the rolling pass or Continuous flow mode, accepting manuscripts in Portuguese, English or Spanish, in the categories original article, reflection, experience report and review. Contributions designated to the dissemination of unpublished original research results are prioritized for publication. Special issues are published at the discretion of the Board of Directors and Associate Editors. All manuscripts are published in two versions, one of which is English, aiming to cover the largest number of readers worldwide. The editorial policy of Texto & Contexto Enfermagem is based on rigorous quality criteria for indexing and publishing (including technical and normative aspects, graphic and textual quality and excellence in scientific content); on responsibility for shared management between the Board of Directors, Editorial Board and Internal and External Editors Associates; and on the rigorous and constructive peer review, preserving the anonymity of authors and reviewers (double blinded).
×
引用
GB/T 7714-2015
复制
MLA
复制
APA
复制
导出至
BibTeX EndNote RefMan NoteFirst NoteExpress
×
提示
您的信息不完整,为了账户安全,请先补充。
现在去补充
×
提示
您因"违规操作"
具体请查看互助需知
我知道了
×
提示
确定
请完成安全验证×
copy
已复制链接
快去分享给好友吧!
我知道了
右上角分享
点击右上角分享
0
联系我们:info@booksci.cn Book学术提供免费学术资源搜索服务,方便国内外学者检索中英文文献。致力于提供最便捷和优质的服务体验。 Copyright © 2023 布克学术 All rights reserved.
京ICP备2023020795号-1
ghs 京公网安备 11010802042870号
Book学术文献互助
Book学术文献互助群
群 号:604180095
Book学术官方微信