60-102岁认知正常人群脑病理、认知和生理指标与年龄的关系

IF 0.8 Q4 ENGINEERING, AEROSPACE
Nienke Legdeur, Betty M Tijms, Elles Konijnenberg, Anouk den Braber, Mara Ten Kate, Carole H Sudre, Jori Tomassen, Maryam Badissi, Maqsood Yaqub, Frederik Barkhof, Bart N van Berckel, Dorret I Boomsma, Philip Scheltens, Henne Holstege, Andrea B Maier, Pieter Jelle Visser
{"title":"60-102岁认知正常人群脑病理、认知和生理指标与年龄的关系","authors":"Nienke Legdeur, Betty M Tijms, Elles Konijnenberg, Anouk den Braber, Mara Ten Kate, Carole H Sudre, Jori Tomassen, Maryam Badissi, Maqsood Yaqub, Frederik Barkhof, Bart N van Berckel, Dorret I Boomsma, Philip Scheltens, Henne Holstege, Andrea B Maier, Pieter Jelle Visser","doi":"10.1093/gerona/glz180","DOIUrl":null,"url":null,"abstract":"<p><p>The prevalence of brain pathologies increases with age and cognitive and physical functions worsen over the lifetime. It is unclear whether these processes show a similar increase with age. We studied the association of markers for brain pathology cognitive and physical functions with age in 288 cognitively normal individuals aged 60-102 years selected from the cross-sectional EMIF-AD PreclinAD and 90+ Study at the Amsterdam UMC. An abnormal score was consistent with a score below the 5th percentile in the 60- to 70-year-old individuals. Prevalence of abnormal scores was estimated using Generalized Estimating Equations (GEE) models. The prevalence of abnormal handgrip strength, the Digit Symbol Substitution Test, and hippocampal volume showed the fastest increase with age and abnormal MMSE score, muscle mass, and amyloid aggregation the lowest. The increase in prevalence of abnormal markers was partly dependent on sex, level of education, and amyloid aggregation. We did not find a consistent pattern in which markers of brain pathology cognitive and physical processes became abnormal with age.</p>","PeriodicalId":44417,"journal":{"name":"International Journal of Energetic Materials and Chemical Propulsion","volume":"8 1","pages":"1609-1617"},"PeriodicalIF":0.8000,"publicationDate":"2020-09-16","publicationTypes":"Journal Article","fieldsOfStudy":null,"isOpenAccess":false,"openAccessPdf":"https://sci-hub-pdf.com/10.1093/gerona/glz180","citationCount":"6","resultStr":"{\"title\":\"Associations of Brain Pathology Cognitive and Physical Markers With Age in Cognitively Normal Individuals Aged 60-102 Years.\",\"authors\":\"Nienke Legdeur, Betty M Tijms, Elles Konijnenberg, Anouk den Braber, Mara Ten Kate, Carole H Sudre, Jori Tomassen, Maryam Badissi, Maqsood Yaqub, Frederik Barkhof, Bart N van Berckel, Dorret I Boomsma, Philip Scheltens, Henne Holstege, Andrea B Maier, Pieter Jelle Visser\",\"doi\":\"10.1093/gerona/glz180\",\"DOIUrl\":null,\"url\":null,\"abstract\":\"<p><p>The prevalence of brain pathologies increases with age and cognitive and physical functions worsen over the lifetime. It is unclear whether these processes show a similar increase with age. We studied the association of markers for brain pathology cognitive and physical functions with age in 288 cognitively normal individuals aged 60-102 years selected from the cross-sectional EMIF-AD PreclinAD and 90+ Study at the Amsterdam UMC. An abnormal score was consistent with a score below the 5th percentile in the 60- to 70-year-old individuals. Prevalence of abnormal scores was estimated using Generalized Estimating Equations (GEE) models. The prevalence of abnormal handgrip strength, the Digit Symbol Substitution Test, and hippocampal volume showed the fastest increase with age and abnormal MMSE score, muscle mass, and amyloid aggregation the lowest. The increase in prevalence of abnormal markers was partly dependent on sex, level of education, and amyloid aggregation. We did not find a consistent pattern in which markers of brain pathology cognitive and physical processes became abnormal with age.</p>\",\"PeriodicalId\":44417,\"journal\":{\"name\":\"International Journal of Energetic Materials and Chemical Propulsion\",\"volume\":\"8 1\",\"pages\":\"1609-1617\"},\"PeriodicalIF\":0.8000,\"publicationDate\":\"2020-09-16\",\"publicationTypes\":\"Journal Article\",\"fieldsOfStudy\":null,\"isOpenAccess\":false,\"openAccessPdf\":\"https://sci-hub-pdf.com/10.1093/gerona/glz180\",\"citationCount\":\"6\",\"resultStr\":null,\"platform\":\"Semanticscholar\",\"paperid\":null,\"PeriodicalName\":\"International Journal of Energetic Materials and Chemical Propulsion\",\"FirstCategoryId\":\"1085\",\"ListUrlMain\":\"https://doi.org/10.1093/gerona/glz180\",\"RegionNum\":0,\"RegionCategory\":null,\"ArticlePicture\":[],\"TitleCN\":null,\"AbstractTextCN\":null,\"PMCID\":null,\"EPubDate\":\"\",\"PubModel\":\"\",\"JCR\":\"Q4\",\"JCRName\":\"ENGINEERING, AEROSPACE\",\"Score\":null,\"Total\":0}","platform":"Semanticscholar","paperid":null,"PeriodicalName":"International Journal of Energetic Materials and Chemical Propulsion","FirstCategoryId":"1085","ListUrlMain":"https://doi.org/10.1093/gerona/glz180","RegionNum":0,"RegionCategory":null,"ArticlePicture":[],"TitleCN":null,"AbstractTextCN":null,"PMCID":null,"EPubDate":"","PubModel":"","JCR":"Q4","JCRName":"ENGINEERING, AEROSPACE","Score":null,"Total":0}
引用次数: 6

摘要

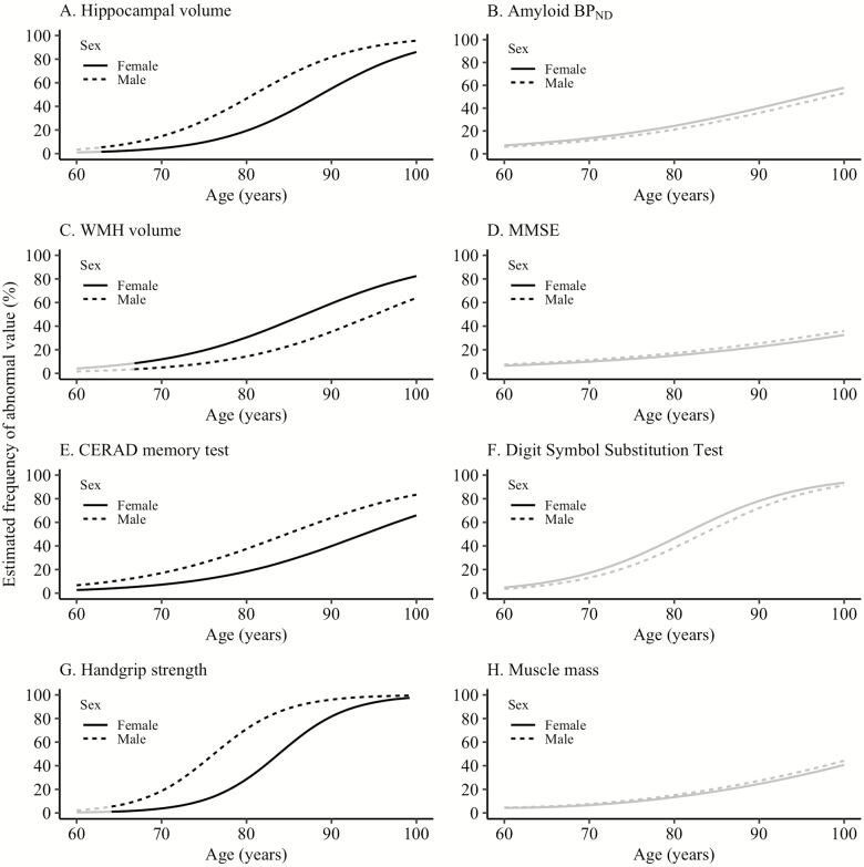
脑部疾病的患病率随着年龄的增长而增加,认知和身体功能在一生中会恶化。目前还不清楚这些过程是否会随着年龄的增长而增加。我们研究了288名60-102岁的认知正常个体的脑病理、认知和身体功能标志物与年龄的关系,这些个体来自阿姆斯特丹UMC的EMIF-AD PreclinAD和90+的横断面研究。在60至70岁的个体中,异常得分与低于第5百分位的得分一致。使用广义估计方程(GEE)模型估计异常评分的发生率。异常握力、数字符号替代测试和海马体积的患病率随年龄增长最快,异常MMSE评分、肌肉质量和淀粉样蛋白聚集最低。异常标记物患病率的增加部分取决于性别、教育水平和淀粉样蛋白聚集。我们没有发现一个一致的模式,其中大脑病理标志物认知和物理过程变得异常随着年龄的增长。
本文章由计算机程序翻译,如有差异,请以英文原文为准。

Associations of Brain Pathology Cognitive and Physical Markers With Age in Cognitively Normal Individuals Aged 60-102 Years.

Associations of Brain Pathology Cognitive and Physical Markers With Age in Cognitively Normal Individuals Aged 60-102 Years.

Associations of Brain Pathology Cognitive and Physical Markers With Age in Cognitively Normal Individuals Aged 60-102 Years.

Associations of Brain Pathology Cognitive and Physical Markers With Age in Cognitively Normal Individuals Aged 60-102 Years.

The prevalence of brain pathologies increases with age and cognitive and physical functions worsen over the lifetime. It is unclear whether these processes show a similar increase with age. We studied the association of markers for brain pathology cognitive and physical functions with age in 288 cognitively normal individuals aged 60-102 years selected from the cross-sectional EMIF-AD PreclinAD and 90+ Study at the Amsterdam UMC. An abnormal score was consistent with a score below the 5th percentile in the 60- to 70-year-old individuals. Prevalence of abnormal scores was estimated using Generalized Estimating Equations (GEE) models. The prevalence of abnormal handgrip strength, the Digit Symbol Substitution Test, and hippocampal volume showed the fastest increase with age and abnormal MMSE score, muscle mass, and amyloid aggregation the lowest. The increase in prevalence of abnormal markers was partly dependent on sex, level of education, and amyloid aggregation. We did not find a consistent pattern in which markers of brain pathology cognitive and physical processes became abnormal with age.

求助全文
通过发布文献求助,成功后即可免费获取论文全文。 去求助
来源期刊
CiteScore
1.20
自引率
14.30%
发文量
22
×
引用
GB/T 7714-2015
复制
MLA
复制
APA
复制
导出至
BibTeX EndNote RefMan NoteFirst NoteExpress
×
提示
您的信息不完整,为了账户安全,请先补充。
现在去补充
×
提示
您因"违规操作"
具体请查看互助需知
我知道了
×
提示
确定
请完成安全验证×
copy
已复制链接
快去分享给好友吧!
我知道了
右上角分享
点击右上角分享
0
联系我们:info@booksci.cn Book学术提供免费学术资源搜索服务,方便国内外学者检索中英文文献。致力于提供最便捷和优质的服务体验。 Copyright © 2023 布克学术 All rights reserved.
京ICP备2023020795号-1
ghs 京公网安备 11010802042870号
Book学术文献互助
Book学术文献互助群
群 号:604180095
Book学术官方微信