广义西格玛量子函数

IF 2.3 3区 社会学 Q1 AREA STUDIES
China Information Pub Date : 2024-01-01 Epub Date: 2022-02-28 DOI:10.1080/03610918.2022.2032161
Alan D Hutson
{"title":"广义西格玛量子函数","authors":"Alan D Hutson","doi":"10.1080/03610918.2022.2032161","DOIUrl":null,"url":null,"abstract":"<p><p>In this note we introduce a new smooth nonparametric quantile function estimator based on a newly defined generalized expectile function and termed the sigmoidal quantile function estimator. We also introduce a hybrid quantile function estimator, which combines the optimal properties of the classic kernel quantile function estimator with our new generalized sigmoidal quantile function estimator. The generalized sigmoidal quantile function can estimate quantiles beyond the range of the data, which is important for certain applications given smaller sample sizes. This property of extrapolation is illustrated in order to improve standard bootstrap smoothing resampling methods.</p>","PeriodicalId":45809,"journal":{"name":"China Information","volume":"31 1","pages":"799-813"},"PeriodicalIF":2.3000,"publicationDate":"2024-01-01","publicationTypes":"Journal Article","fieldsOfStudy":null,"isOpenAccess":false,"openAccessPdf":"https://www.ncbi.nlm.nih.gov/pmc/articles/PMC10959509/pdf/","citationCount":"0","resultStr":"{\"title\":\"The generalized sigmoidal quantile function.\",\"authors\":\"Alan D Hutson\",\"doi\":\"10.1080/03610918.2022.2032161\",\"DOIUrl\":null,\"url\":null,\"abstract\":\"<p><p>In this note we introduce a new smooth nonparametric quantile function estimator based on a newly defined generalized expectile function and termed the sigmoidal quantile function estimator. We also introduce a hybrid quantile function estimator, which combines the optimal properties of the classic kernel quantile function estimator with our new generalized sigmoidal quantile function estimator. The generalized sigmoidal quantile function can estimate quantiles beyond the range of the data, which is important for certain applications given smaller sample sizes. This property of extrapolation is illustrated in order to improve standard bootstrap smoothing resampling methods.</p>\",\"PeriodicalId\":45809,\"journal\":{\"name\":\"China Information\",\"volume\":\"31 1\",\"pages\":\"799-813\"},\"PeriodicalIF\":2.3000,\"publicationDate\":\"2024-01-01\",\"publicationTypes\":\"Journal Article\",\"fieldsOfStudy\":null,\"isOpenAccess\":false,\"openAccessPdf\":\"https://www.ncbi.nlm.nih.gov/pmc/articles/PMC10959509/pdf/\",\"citationCount\":\"0\",\"resultStr\":null,\"platform\":\"Semanticscholar\",\"paperid\":null,\"PeriodicalName\":\"China Information\",\"FirstCategoryId\":\"90\",\"ListUrlMain\":\"https://doi.org/10.1080/03610918.2022.2032161\",\"RegionNum\":3,\"RegionCategory\":\"社会学\",\"ArticlePicture\":[],\"TitleCN\":null,\"AbstractTextCN\":null,\"PMCID\":null,\"EPubDate\":\"2022/2/28 0:00:00\",\"PubModel\":\"Epub\",\"JCR\":\"Q1\",\"JCRName\":\"AREA STUDIES\",\"Score\":null,\"Total\":0}","platform":"Semanticscholar","paperid":null,"PeriodicalName":"China Information","FirstCategoryId":"90","ListUrlMain":"https://doi.org/10.1080/03610918.2022.2032161","RegionNum":3,"RegionCategory":"社会学","ArticlePicture":[],"TitleCN":null,"AbstractTextCN":null,"PMCID":null,"EPubDate":"2022/2/28 0:00:00","PubModel":"Epub","JCR":"Q1","JCRName":"AREA STUDIES","Score":null,"Total":0}
引用次数: 0

摘要

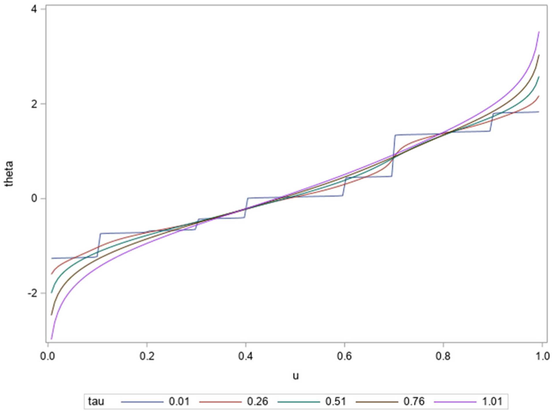
在本论文中,我们介绍了一种基于新定义的广义期望值函数的新的平滑非参数量化函数估计器,称为西格玛量化函数估计器。我们还介绍了一种混合量化函数估计器,它结合了经典核量化函数估计器和我们新的广义西格玛量化函数估计器的最佳特性。广义 sigmoidal 量化函数可以估计超出数据范围的量化值,这对于样本量较小的某些应用非常重要。为了改进标准自举平滑重采样方法,我们对这一外推特性进行了说明。
本文章由计算机程序翻译,如有差异,请以英文原文为准。

The generalized sigmoidal quantile function.

The generalized sigmoidal quantile function.

The generalized sigmoidal quantile function.

The generalized sigmoidal quantile function.

In this note we introduce a new smooth nonparametric quantile function estimator based on a newly defined generalized expectile function and termed the sigmoidal quantile function estimator. We also introduce a hybrid quantile function estimator, which combines the optimal properties of the classic kernel quantile function estimator with our new generalized sigmoidal quantile function estimator. The generalized sigmoidal quantile function can estimate quantiles beyond the range of the data, which is important for certain applications given smaller sample sizes. This property of extrapolation is illustrated in order to improve standard bootstrap smoothing resampling methods.

求助全文
通过发布文献求助,成功后即可免费获取论文全文。 去求助
来源期刊
China Information
China Information AREA STUDIES-
CiteScore
3.50
自引率
4.80%
发文量
38
期刊介绍: China Information presents timely and in-depth analyses of major developments in contemporary China and overseas Chinese communities in the areas of politics, economics, law, ecology, culture, and society, including literature and the arts. China Information pays special attention to views and areas that do not receive sufficient attention in the mainstream discourse on contemporary China. It encourages discussion and debate between different academic traditions, offers a platform to express controversial and dissenting opinions, and promotes research that is historically sensitive and contemporarily relevant.
×
引用
GB/T 7714-2015
复制
MLA
复制
APA
复制
导出至
BibTeX EndNote RefMan NoteFirst NoteExpress
×
提示
您的信息不完整,为了账户安全,请先补充。
现在去补充
×
提示
您因"违规操作"
具体请查看互助需知
我知道了
×
提示
确定
请完成安全验证×
copy
已复制链接
快去分享给好友吧!
我知道了
右上角分享
点击右上角分享
0
联系我们:info@booksci.cn Book学术提供免费学术资源搜索服务,方便国内外学者检索中英文文献。致力于提供最便捷和优质的服务体验。 Copyright © 2023 布克学术 All rights reserved.
京ICP备2023020795号-1
ghs 京公网安备 11010802042870号
Book学术文献互助
Book学术文献互助群
群 号:604180095
Book学术官方微信