2014-2015年几内亚和利比里亚埃博拉病毒病暴发前和期间急性弛缓性麻痹监测绩效评价

Q4 Medicine
Vnitrni lekarstvi Pub Date : 2023-08-30 eCollection Date: 2023-01-01 DOI:10.11604/pamj.2023.45.190.21480
Grace Umutesi, Troy D Moon, Jeevan Kumar Makam, Fabien Diomande, Charlotte Buehler Cherry, Roland No Tuopileyi Ii, Wambai Zakari, Allen Scott Craig
{"title":"2014-2015年几内亚和利比里亚埃博拉病毒病暴发前和期间急性弛缓性麻痹监测绩效评价","authors":"Grace Umutesi, Troy D Moon, Jeevan Kumar Makam, Fabien Diomande, Charlotte Buehler Cherry, Roland No Tuopileyi Ii, Wambai Zakari, Allen Scott Craig","doi":"10.11604/pamj.2023.45.190.21480","DOIUrl":null,"url":null,"abstract":"<p><strong>Introduction: </strong>the number of wild poliomyelitis cases, worldwide, dropped from 350,000 cases in 1988 to 33 in 2018. Acute flaccid paralysis (AFP) surveillance is a key strategy toward achieving global polio eradication. The 2014 Ebola virus disease (EVD) epidemic in West Africa infected over 28,000 people and had devastating effects on health systems in Guinea, Liberia, and Sierra Leone. We sought to assess the effects of the 2014 Ebola outbreak on AFP surveillance in Guinea and Liberia.</p><p><strong>Methods: </strong>a retrospective cross-sectional analysis was performed for Guinea and Liberia to evaluate EVD´s impact on World Health Organization (WHO) AFP surveillance performance indicators during 2012-2015.</p><p><strong>Results: </strong>both Guinea and Liberia met the WHO target non-polio AFP incidence rate nationally, and generally sub-nationally, prior to the EVD outbreak; rates decreased substantially during the outbreak in seven of eight regions in Guinea and 11 of 15 counties in Liberia. Throughout the study period, both Guinea and Liberia attained appropriate overall targets nationally for \"notification\" and \"stool adequacy\" indicators, but each country experienced periods of poor regional/county-specific indicator performance.</p><p><strong>Conclusion: </strong>these findings mirrored the negative effect of the Ebola outbreak on polio elimination activities in both countries and highlights the need to reinforce this surveillance system during times of crisis.</p>","PeriodicalId":23501,"journal":{"name":"Vnitrni lekarstvi","volume":"64 11 1","pages":"190"},"PeriodicalIF":0.0000,"publicationDate":"2023-08-30","publicationTypes":"Journal Article","fieldsOfStudy":null,"isOpenAccess":false,"openAccessPdf":"https://www.ncbi.nlm.nih.gov/pmc/articles/PMC10656592/pdf/","citationCount":"0","resultStr":"{\"title\":\"Evaluation of acute flaccid paralysis surveillance performance before and during the 2014-2015 Ebola virus disease outbreak in Guinea and Liberia.\",\"authors\":\"Grace Umutesi, Troy D Moon, Jeevan Kumar Makam, Fabien Diomande, Charlotte Buehler Cherry, Roland No Tuopileyi Ii, Wambai Zakari, Allen Scott Craig\",\"doi\":\"10.11604/pamj.2023.45.190.21480\",\"DOIUrl\":null,\"url\":null,\"abstract\":\"<p><strong>Introduction: </strong>the number of wild poliomyelitis cases, worldwide, dropped from 350,000 cases in 1988 to 33 in 2018. Acute flaccid paralysis (AFP) surveillance is a key strategy toward achieving global polio eradication. The 2014 Ebola virus disease (EVD) epidemic in West Africa infected over 28,000 people and had devastating effects on health systems in Guinea, Liberia, and Sierra Leone. We sought to assess the effects of the 2014 Ebola outbreak on AFP surveillance in Guinea and Liberia.</p><p><strong>Methods: </strong>a retrospective cross-sectional analysis was performed for Guinea and Liberia to evaluate EVD´s impact on World Health Organization (WHO) AFP surveillance performance indicators during 2012-2015.</p><p><strong>Results: </strong>both Guinea and Liberia met the WHO target non-polio AFP incidence rate nationally, and generally sub-nationally, prior to the EVD outbreak; rates decreased substantially during the outbreak in seven of eight regions in Guinea and 11 of 15 counties in Liberia. Throughout the study period, both Guinea and Liberia attained appropriate overall targets nationally for \\\"notification\\\" and \\\"stool adequacy\\\" indicators, but each country experienced periods of poor regional/county-specific indicator performance.</p><p><strong>Conclusion: </strong>these findings mirrored the negative effect of the Ebola outbreak on polio elimination activities in both countries and highlights the need to reinforce this surveillance system during times of crisis.</p>\",\"PeriodicalId\":23501,\"journal\":{\"name\":\"Vnitrni lekarstvi\",\"volume\":\"64 11 1\",\"pages\":\"190\"},\"PeriodicalIF\":0.0000,\"publicationDate\":\"2023-08-30\",\"publicationTypes\":\"Journal Article\",\"fieldsOfStudy\":null,\"isOpenAccess\":false,\"openAccessPdf\":\"https://www.ncbi.nlm.nih.gov/pmc/articles/PMC10656592/pdf/\",\"citationCount\":\"0\",\"resultStr\":null,\"platform\":\"Semanticscholar\",\"paperid\":null,\"PeriodicalName\":\"Vnitrni lekarstvi\",\"FirstCategoryId\":\"1085\",\"ListUrlMain\":\"https://doi.org/10.11604/pamj.2023.45.190.21480\",\"RegionNum\":0,\"RegionCategory\":null,\"ArticlePicture\":[],\"TitleCN\":null,\"AbstractTextCN\":null,\"PMCID\":null,\"EPubDate\":\"2023/1/1 0:00:00\",\"PubModel\":\"eCollection\",\"JCR\":\"Q4\",\"JCRName\":\"Medicine\",\"Score\":null,\"Total\":0}","platform":"Semanticscholar","paperid":null,"PeriodicalName":"Vnitrni lekarstvi","FirstCategoryId":"1085","ListUrlMain":"https://doi.org/10.11604/pamj.2023.45.190.21480","RegionNum":0,"RegionCategory":null,"ArticlePicture":[],"TitleCN":null,"AbstractTextCN":null,"PMCID":null,"EPubDate":"2023/1/1 0:00:00","PubModel":"eCollection","JCR":"Q4","JCRName":"Medicine","Score":null,"Total":0}
引用次数: 0

摘要

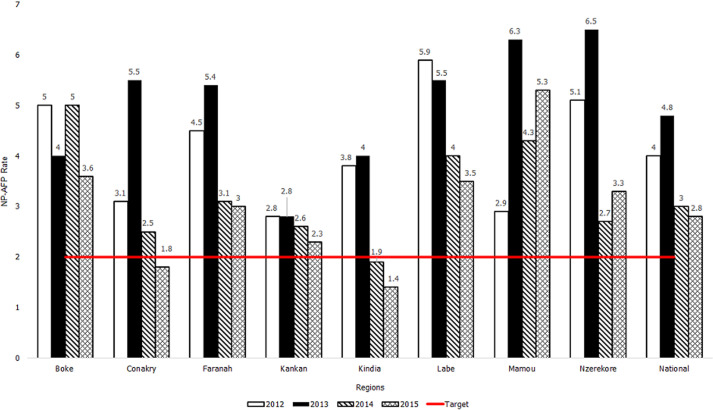
导言:全球野生脊髓灰质炎病例数从1988年的35万例下降到2018年的33例。急性弛缓性麻痹(AFP)监测是实现全球根除脊髓灰质炎的一项关键战略。2014年西非爆发的埃博拉病毒病(EVD)疫情感染了2.8万多人,对几内亚、利比里亚和塞拉利昂的卫生系统造成了毁灭性影响。我们试图评估2014年埃博拉疫情对几内亚和利比里亚AFP监测的影响。方法:对几内亚和利比里亚进行回顾性横断面分析,评估2012-2015年埃博拉病毒病对世界卫生组织AFP监测绩效指标的影响。结果:在埃博拉病毒病暴发之前,几内亚和利比里亚都达到了世卫组织在全国和全国次一级的非脊髓灰质炎AFP发病率目标;在几内亚8个地区中的7个和利比里亚15个县中的11个暴发期间,发病率大幅下降。在整个研究期间,几内亚和利比里亚都达到了“通报”和“粪便充分性”指标的适当全国总目标,但每个国家都经历了区域/国别指标执行情况不佳的时期。结论:这些发现反映了埃博拉疫情对两国消除脊髓灰质炎活动的负面影响,并突出了在危机时期加强这一监测系统的必要性。
本文章由计算机程序翻译,如有差异,请以英文原文为准。

Evaluation of acute flaccid paralysis surveillance performance before and during the 2014-2015 Ebola virus disease outbreak in Guinea and Liberia.

Evaluation of acute flaccid paralysis surveillance performance before and during the 2014-2015 Ebola virus disease outbreak in Guinea and Liberia.

Evaluation of acute flaccid paralysis surveillance performance before and during the 2014-2015 Ebola virus disease outbreak in Guinea and Liberia.

Evaluation of acute flaccid paralysis surveillance performance before and during the 2014-2015 Ebola virus disease outbreak in Guinea and Liberia.

Introduction: the number of wild poliomyelitis cases, worldwide, dropped from 350,000 cases in 1988 to 33 in 2018. Acute flaccid paralysis (AFP) surveillance is a key strategy toward achieving global polio eradication. The 2014 Ebola virus disease (EVD) epidemic in West Africa infected over 28,000 people and had devastating effects on health systems in Guinea, Liberia, and Sierra Leone. We sought to assess the effects of the 2014 Ebola outbreak on AFP surveillance in Guinea and Liberia.

Methods: a retrospective cross-sectional analysis was performed for Guinea and Liberia to evaluate EVD´s impact on World Health Organization (WHO) AFP surveillance performance indicators during 2012-2015.

Results: both Guinea and Liberia met the WHO target non-polio AFP incidence rate nationally, and generally sub-nationally, prior to the EVD outbreak; rates decreased substantially during the outbreak in seven of eight regions in Guinea and 11 of 15 counties in Liberia. Throughout the study period, both Guinea and Liberia attained appropriate overall targets nationally for "notification" and "stool adequacy" indicators, but each country experienced periods of poor regional/county-specific indicator performance.

Conclusion: these findings mirrored the negative effect of the Ebola outbreak on polio elimination activities in both countries and highlights the need to reinforce this surveillance system during times of crisis.

求助全文
通过发布文献求助,成功后即可免费获取论文全文。 去求助
来源期刊
Vnitrni lekarstvi
Vnitrni lekarstvi Medicine-Internal Medicine
CiteScore
0.50
自引率
0.00%
发文量
104
期刊介绍: Vnitřní lékařství je tiskovým orgánem České internistické společnosti České lékařské společnosti Jana Evangelisty Purkyně a Slovenskej internistickej spoločnosti Slovenskej lekárskej spoločnosti. Je vydáván nepřetržitě od roku 1955. Časopis vychází jako měsíčník, tedy 12krát do roka a podle potřeby jsou v běžném ročníku vydávána jeho suplementa, která jsou obsahově zaměřena k určitému tématu. Tematicky je časopis zaměřen široce na oblast interní medicíny se zvláštní pozorností ke kardiologii, diabetologii a poruchám metabolizmu.
×
引用
GB/T 7714-2015
复制
MLA
复制
APA
复制
导出至
BibTeX EndNote RefMan NoteFirst NoteExpress
×
提示
您的信息不完整,为了账户安全,请先补充。
现在去补充
×
提示
您因"违规操作"
具体请查看互助需知
我知道了
×
提示
确定
请完成安全验证×
copy
已复制链接
快去分享给好友吧!
我知道了
右上角分享
点击右上角分享
0
联系我们:info@booksci.cn Book学术提供免费学术资源搜索服务,方便国内外学者检索中英文文献。致力于提供最便捷和优质的服务体验。 Copyright © 2023 布克学术 All rights reserved.
京ICP备2023020795号-1
ghs 京公网安备 11010802042870号
Book学术文献互助
Book学术文献互助群
群 号:604180095
Book学术官方微信