过剩的能量和光合作用:对半干旱南部大平原共发生的木本入侵者季节性水分限制的响应。

IF 1.6 4区 生物学 Q2 PLANT SCIENCES
Photosynthetica Pub Date : 2023-05-25 eCollection Date: 2023-01-01 DOI:10.32615/ps.2023.018
H D Raub, N Rajan, K J Mcinnes, J B West
{"title":"过剩的能量和光合作用:对半干旱南部大平原共发生的木本入侵者季节性水分限制的响应。","authors":"H D Raub, N Rajan, K J Mcinnes, J B West","doi":"10.32615/ps.2023.018","DOIUrl":null,"url":null,"abstract":"<p><p>Woody plant areal encroachment is pervasive throughout the Southern Great Plains, USA. The ability of woody plants to dissipate excess solar radiation - dynamically over the day and sustained periods without recovery overnight - is key for maintaining photosynthetic performance during dry stretches, but our understanding of these processes remains incomplete. Photosynthetic performance and energy dissipation were assessed for co-occurring encroachers on the karst Edwards Plateau (<i>Juniperus ashei</i>, <i>Prosopis glandulosa</i>, and <i>Quercus fusiformis</i>) under seasonal changes in water status. Only <i>J. ashei</i> experienced mild photoinhibition from sustained energy dissipation overnight while experiencing the lowest photochemical yields, minimal photosynthetic rates, and the highest dynamic energy dissipation rates at midday during the dry period - indicating susceptibility to photosynthetic downregulation and increased dissipation under future drought regimes. Neither other encroacher experienced sustained energy dissipation in the dry period, though <i>P. glandulosa</i> did experience marked reductions in photosynthesis, photochemical yields, and increased regulatory dynamic energy dissipation.</p>","PeriodicalId":20157,"journal":{"name":"Photosynthetica","volume":"25 1","pages":"285-296"},"PeriodicalIF":1.6000,"publicationDate":"2023-05-25","publicationTypes":"Journal Article","fieldsOfStudy":null,"isOpenAccess":false,"openAccessPdf":"https://www.ncbi.nlm.nih.gov/pmc/articles/PMC11558594/pdf/","citationCount":"0","resultStr":"{\"title\":\"Excess energy and photosynthesis: responses to seasonal water limitations in co-occurring woody encroachers of the semi-arid Southern Great Plains.\",\"authors\":\"H D Raub, N Rajan, K J Mcinnes, J B West\",\"doi\":\"10.32615/ps.2023.018\",\"DOIUrl\":null,\"url\":null,\"abstract\":\"<p><p>Woody plant areal encroachment is pervasive throughout the Southern Great Plains, USA. The ability of woody plants to dissipate excess solar radiation - dynamically over the day and sustained periods without recovery overnight - is key for maintaining photosynthetic performance during dry stretches, but our understanding of these processes remains incomplete. Photosynthetic performance and energy dissipation were assessed for co-occurring encroachers on the karst Edwards Plateau (<i>Juniperus ashei</i>, <i>Prosopis glandulosa</i>, and <i>Quercus fusiformis</i>) under seasonal changes in water status. Only <i>J. ashei</i> experienced mild photoinhibition from sustained energy dissipation overnight while experiencing the lowest photochemical yields, minimal photosynthetic rates, and the highest dynamic energy dissipation rates at midday during the dry period - indicating susceptibility to photosynthetic downregulation and increased dissipation under future drought regimes. Neither other encroacher experienced sustained energy dissipation in the dry period, though <i>P. glandulosa</i> did experience marked reductions in photosynthesis, photochemical yields, and increased regulatory dynamic energy dissipation.</p>\",\"PeriodicalId\":20157,\"journal\":{\"name\":\"Photosynthetica\",\"volume\":\"25 1\",\"pages\":\"285-296\"},\"PeriodicalIF\":1.6000,\"publicationDate\":\"2023-05-25\",\"publicationTypes\":\"Journal Article\",\"fieldsOfStudy\":null,\"isOpenAccess\":false,\"openAccessPdf\":\"https://www.ncbi.nlm.nih.gov/pmc/articles/PMC11558594/pdf/\",\"citationCount\":\"0\",\"resultStr\":null,\"platform\":\"Semanticscholar\",\"paperid\":null,\"PeriodicalName\":\"Photosynthetica\",\"FirstCategoryId\":\"99\",\"ListUrlMain\":\"https://doi.org/10.32615/ps.2023.018\",\"RegionNum\":4,\"RegionCategory\":\"生物学\",\"ArticlePicture\":[],\"TitleCN\":null,\"AbstractTextCN\":null,\"PMCID\":null,\"EPubDate\":\"2023/1/1 0:00:00\",\"PubModel\":\"eCollection\",\"JCR\":\"Q2\",\"JCRName\":\"PLANT SCIENCES\",\"Score\":null,\"Total\":0}","platform":"Semanticscholar","paperid":null,"PeriodicalName":"Photosynthetica","FirstCategoryId":"99","ListUrlMain":"https://doi.org/10.32615/ps.2023.018","RegionNum":4,"RegionCategory":"生物学","ArticlePicture":[],"TitleCN":null,"AbstractTextCN":null,"PMCID":null,"EPubDate":"2023/1/1 0:00:00","PubModel":"eCollection","JCR":"Q2","JCRName":"PLANT SCIENCES","Score":null,"Total":0}
引用次数: 0

摘要

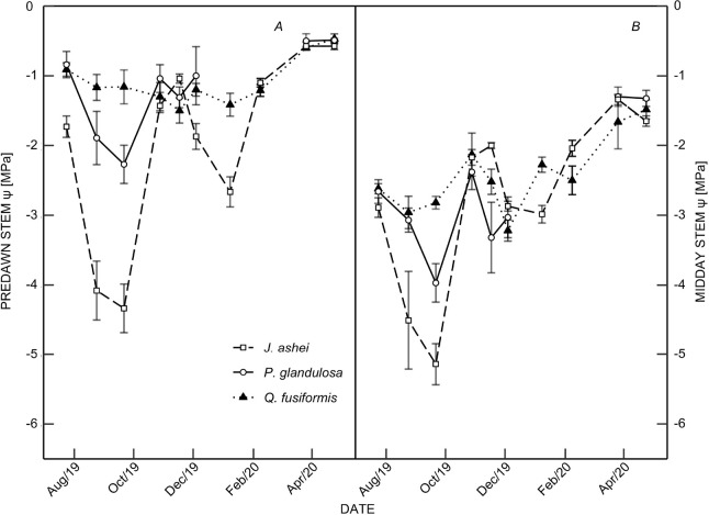
木本植物的入侵在美国南部大平原是普遍存在的。木本植物耗散多余太阳辐射的能力——在白天动态地耗散,并持续一段时间而不需要在夜间恢复——是在干旱时期维持光合作用性能的关键,但我们对这些过程的理解仍然不完整。以喀斯特爱德华兹高原为研究对象,研究了不同季节水分状况下,杉木(Juniperus ashei)、毛豆(Prosopis glandulosa)和梭子栎(Quercus fusiformis)的光合性能和能量耗散。在干旱期间,只有黑桫树经历了夜间持续能量耗散的轻度光抑制,但光化学产量最低,光合速率最低,正午动态能量耗散率最高,这表明在未来干旱条件下,它们对光合作用下调和耗散增加敏感。其他侵吞者在干旱期均未经历持续的能量耗散,但腺体草确实经历了光合作用、光化学产量的显著降低和调节动态能量耗散的增加。
本文章由计算机程序翻译,如有差异,请以英文原文为准。

Excess energy and photosynthesis: responses to seasonal water limitations in co-occurring woody encroachers of the semi-arid Southern Great Plains.

Excess energy and photosynthesis: responses to seasonal water limitations in co-occurring woody encroachers of the semi-arid Southern Great Plains.

Excess energy and photosynthesis: responses to seasonal water limitations in co-occurring woody encroachers of the semi-arid Southern Great Plains.

Excess energy and photosynthesis: responses to seasonal water limitations in co-occurring woody encroachers of the semi-arid Southern Great Plains.

Woody plant areal encroachment is pervasive throughout the Southern Great Plains, USA. The ability of woody plants to dissipate excess solar radiation - dynamically over the day and sustained periods without recovery overnight - is key for maintaining photosynthetic performance during dry stretches, but our understanding of these processes remains incomplete. Photosynthetic performance and energy dissipation were assessed for co-occurring encroachers on the karst Edwards Plateau (Juniperus ashei, Prosopis glandulosa, and Quercus fusiformis) under seasonal changes in water status. Only J. ashei experienced mild photoinhibition from sustained energy dissipation overnight while experiencing the lowest photochemical yields, minimal photosynthetic rates, and the highest dynamic energy dissipation rates at midday during the dry period - indicating susceptibility to photosynthetic downregulation and increased dissipation under future drought regimes. Neither other encroacher experienced sustained energy dissipation in the dry period, though P. glandulosa did experience marked reductions in photosynthesis, photochemical yields, and increased regulatory dynamic energy dissipation.

求助全文
通过发布文献求助,成功后即可免费获取论文全文。 去求助
来源期刊
Photosynthetica
Photosynthetica 生物-植物科学
CiteScore
5.60
自引率
7.40%
发文量
55
审稿时长
3.8 months
期刊介绍: Photosynthetica publishes original scientific papers and brief communications, reviews on specialized topics, book reviews and announcements and reports covering wide range of photosynthesis research or research including photosynthetic parameters of both experimental and theoretical nature and dealing with physiology, biophysics, biochemistry, molecular biology on one side and leaf optics, stress physiology and ecology of photosynthesis on the other side. The language of journal is English (British or American). Papers should not be published or under consideration for publication elsewhere.
×
引用
GB/T 7714-2015
复制
MLA
复制
APA
复制
导出至
BibTeX EndNote RefMan NoteFirst NoteExpress
×
提示
您的信息不完整,为了账户安全,请先补充。
现在去补充
×
提示
您因"违规操作"
具体请查看互助需知
我知道了
×
提示
确定
请完成安全验证×
copy
已复制链接
快去分享给好友吧!
我知道了
右上角分享
点击右上角分享
0
联系我们:info@booksci.cn Book学术提供免费学术资源搜索服务,方便国内外学者检索中英文文献。致力于提供最便捷和优质的服务体验。 Copyright © 2023 布克学术 All rights reserved.
京ICP备2023020795号-1
ghs 京公网安备 11010802042870号
Book学术文献互助
Book学术文献互助群
群 号:604180095
Book学术官方微信