水稻叶片光氧化的光合功能分析。

IF 1.6 4区 生物学 Q2 PLANT SCIENCES
Photosynthetica Pub Date : 2023-02-20 eCollection Date: 2023-01-01 DOI:10.32615/ps.2023.004
H Xu, X Chu, K J Gou, D X Jiang, Q Q Li, C G Lv, Z P Gao, G X Chen
{"title":"水稻叶片光氧化的光合功能分析。","authors":"H Xu, X Chu, K J Gou, D X Jiang, Q Q Li, C G Lv, Z P Gao, G X Chen","doi":"10.32615/ps.2023.004","DOIUrl":null,"url":null,"abstract":"<p><p>Photooxidative damage causes early leaf senescence and plant cell death. In this study, a light-sensitive rice cultivar, 812HS, and a non-light-sensitive cultivar, 812S, were used to investigate early leaf photooxidation. Leaf tips of 812HS exhibited yellowing under a light intensity of 720 μmol(photon) m<sup>-2</sup> s<sup>-1</sup>, accompanied by a decrease in chlorophyll and carotenoids, but 812S was unaffected. The photosynthetic performance of 812HS was also poorer than that of 812S. The H<sub>2</sub>O<sub>2</sub>, O<sub>2</sub> <sup>·-</sup>, and malondialdehyde content increased sharply in 812HS, and associated antioxidant enzymes were inhibited. The degradation of core proteins in both PSI and PSII, as well as other photosynthesis-related proteins, was accelerated in 812HS. When shaded [180 μmol(photon) m<sup>-2</sup> s<sup>-1</sup>], 812HS recovered to normal. Therefore, our findings suggested excess light disturbed the balance of ROS metabolism, leading to the destruction of the antioxidant system and photosynthetic organs, and thus triggering the senescence of rice leaves.</p>","PeriodicalId":20157,"journal":{"name":"Photosynthetica","volume":"20 1","pages":"48-57"},"PeriodicalIF":1.6000,"publicationDate":"2023-02-20","publicationTypes":"Journal Article","fieldsOfStudy":null,"isOpenAccess":false,"openAccessPdf":"https://www.ncbi.nlm.nih.gov/pmc/articles/PMC11515825/pdf/","citationCount":"0","resultStr":"{\"title\":\"The photosynthetic function analysis for leaf photooxidation in rice.\",\"authors\":\"H Xu, X Chu, K J Gou, D X Jiang, Q Q Li, C G Lv, Z P Gao, G X Chen\",\"doi\":\"10.32615/ps.2023.004\",\"DOIUrl\":null,\"url\":null,\"abstract\":\"<p><p>Photooxidative damage causes early leaf senescence and plant cell death. In this study, a light-sensitive rice cultivar, 812HS, and a non-light-sensitive cultivar, 812S, were used to investigate early leaf photooxidation. Leaf tips of 812HS exhibited yellowing under a light intensity of 720 μmol(photon) m<sup>-2</sup> s<sup>-1</sup>, accompanied by a decrease in chlorophyll and carotenoids, but 812S was unaffected. The photosynthetic performance of 812HS was also poorer than that of 812S. The H<sub>2</sub>O<sub>2</sub>, O<sub>2</sub> <sup>·-</sup>, and malondialdehyde content increased sharply in 812HS, and associated antioxidant enzymes were inhibited. The degradation of core proteins in both PSI and PSII, as well as other photosynthesis-related proteins, was accelerated in 812HS. When shaded [180 μmol(photon) m<sup>-2</sup> s<sup>-1</sup>], 812HS recovered to normal. Therefore, our findings suggested excess light disturbed the balance of ROS metabolism, leading to the destruction of the antioxidant system and photosynthetic organs, and thus triggering the senescence of rice leaves.</p>\",\"PeriodicalId\":20157,\"journal\":{\"name\":\"Photosynthetica\",\"volume\":\"20 1\",\"pages\":\"48-57\"},\"PeriodicalIF\":1.6000,\"publicationDate\":\"2023-02-20\",\"publicationTypes\":\"Journal Article\",\"fieldsOfStudy\":null,\"isOpenAccess\":false,\"openAccessPdf\":\"https://www.ncbi.nlm.nih.gov/pmc/articles/PMC11515825/pdf/\",\"citationCount\":\"0\",\"resultStr\":null,\"platform\":\"Semanticscholar\",\"paperid\":null,\"PeriodicalName\":\"Photosynthetica\",\"FirstCategoryId\":\"99\",\"ListUrlMain\":\"https://doi.org/10.32615/ps.2023.004\",\"RegionNum\":4,\"RegionCategory\":\"生物学\",\"ArticlePicture\":[],\"TitleCN\":null,\"AbstractTextCN\":null,\"PMCID\":null,\"EPubDate\":\"2023/1/1 0:00:00\",\"PubModel\":\"eCollection\",\"JCR\":\"Q2\",\"JCRName\":\"PLANT SCIENCES\",\"Score\":null,\"Total\":0}","platform":"Semanticscholar","paperid":null,"PeriodicalName":"Photosynthetica","FirstCategoryId":"99","ListUrlMain":"https://doi.org/10.32615/ps.2023.004","RegionNum":4,"RegionCategory":"生物学","ArticlePicture":[],"TitleCN":null,"AbstractTextCN":null,"PMCID":null,"EPubDate":"2023/1/1 0:00:00","PubModel":"eCollection","JCR":"Q2","JCRName":"PLANT SCIENCES","Score":null,"Total":0}
引用次数: 0

摘要

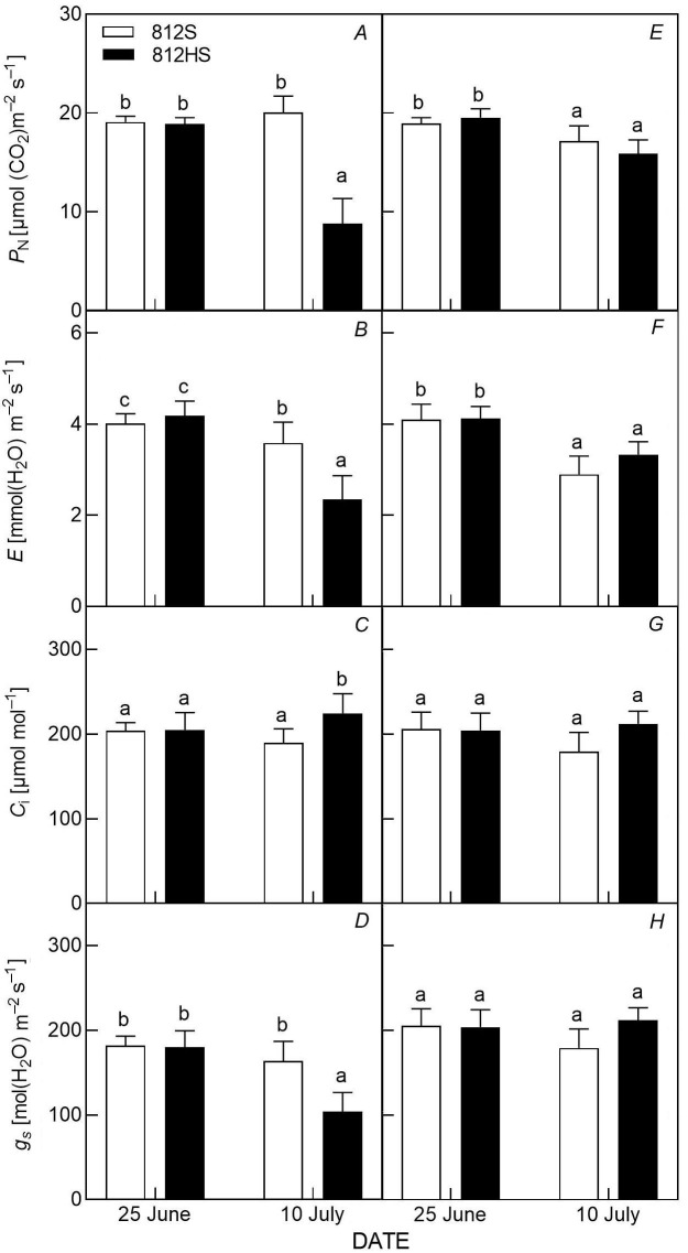
光氧化损伤导致叶片早期衰老和植物细胞死亡。以光敏型水稻812HS和非光敏型水稻812S为材料,研究了叶片早期光氧化现象。在720 μmol(光子)m-2 s-1的光强下,812HS叶尖呈现黄化,叶绿素和类胡萝卜素含量下降,但812S未受影响。812HS的光合性能也不如812S。H2O2、O2·-和丙二醛含量急剧升高,相关的抗氧化酶受到抑制。812HS加速了PSI和PSII核心蛋白以及其他光合作用相关蛋白的降解。当遮光[180 μmol(光子)m-2 s-1]时,812HS恢复正常。因此,我们的研究结果表明,过量的光干扰了ROS代谢的平衡,导致抗氧化系统和光合器官的破坏,从而引发水稻叶片衰老。
本文章由计算机程序翻译,如有差异,请以英文原文为准。

The photosynthetic function analysis for leaf photooxidation in rice.

The photosynthetic function analysis for leaf photooxidation in rice.

The photosynthetic function analysis for leaf photooxidation in rice.

The photosynthetic function analysis for leaf photooxidation in rice.

Photooxidative damage causes early leaf senescence and plant cell death. In this study, a light-sensitive rice cultivar, 812HS, and a non-light-sensitive cultivar, 812S, were used to investigate early leaf photooxidation. Leaf tips of 812HS exhibited yellowing under a light intensity of 720 μmol(photon) m-2 s-1, accompanied by a decrease in chlorophyll and carotenoids, but 812S was unaffected. The photosynthetic performance of 812HS was also poorer than that of 812S. The H2O2, O2 ·-, and malondialdehyde content increased sharply in 812HS, and associated antioxidant enzymes were inhibited. The degradation of core proteins in both PSI and PSII, as well as other photosynthesis-related proteins, was accelerated in 812HS. When shaded [180 μmol(photon) m-2 s-1], 812HS recovered to normal. Therefore, our findings suggested excess light disturbed the balance of ROS metabolism, leading to the destruction of the antioxidant system and photosynthetic organs, and thus triggering the senescence of rice leaves.

求助全文
通过发布文献求助,成功后即可免费获取论文全文。 去求助
来源期刊
Photosynthetica
Photosynthetica 生物-植物科学
CiteScore
5.60
自引率
7.40%
发文量
55
审稿时长
3.8 months
期刊介绍: Photosynthetica publishes original scientific papers and brief communications, reviews on specialized topics, book reviews and announcements and reports covering wide range of photosynthesis research or research including photosynthetic parameters of both experimental and theoretical nature and dealing with physiology, biophysics, biochemistry, molecular biology on one side and leaf optics, stress physiology and ecology of photosynthesis on the other side. The language of journal is English (British or American). Papers should not be published or under consideration for publication elsewhere.
×
引用
GB/T 7714-2015
复制
MLA
复制
APA
复制
导出至
BibTeX EndNote RefMan NoteFirst NoteExpress
×
提示
您的信息不完整,为了账户安全,请先补充。
现在去补充
×
提示
您因"违规操作"
具体请查看互助需知
我知道了
×
提示
确定
请完成安全验证×
copy
已复制链接
快去分享给好友吧!
我知道了
右上角分享
点击右上角分享
0
联系我们:info@booksci.cn Book学术提供免费学术资源搜索服务,方便国内外学者检索中英文文献。致力于提供最便捷和优质的服务体验。 Copyright © 2023 布克学术 All rights reserved.
京ICP备2023020795号-1
ghs 京公网安备 11010802042870号
Book学术文献互助
Book学术文献互助群
群 号:604180095
Book学术官方微信