清醒姿势诱导的生理变化与插管的关系:新冠肺炎相关急性缺氧性呼吸衰竭患者的国际前瞻性观察研究。

IF 3 Q2 RESPIRATORY SYSTEM
Pulmonary Therapy Pub Date : 2023-12-01 Epub Date: 2023-11-02 DOI:10.1007/s41030-023-00242-y
Luis Morales-Quinteros, Raffaele Scala, João Manoel Silva, Antonio Leidi, Alexandre Leszek, Rodrigo Vazquez-Guillamet, Sergi Pascual, Ary Serpa-Neto, Antonio Artigas, Marcus J Schultz
{"title":"清醒姿势诱导的生理变化与插管的关系:新冠肺炎相关急性缺氧性呼吸衰竭患者的国际前瞻性观察研究。","authors":"Luis Morales-Quinteros, Raffaele Scala, João Manoel Silva, Antonio Leidi, Alexandre Leszek, Rodrigo Vazquez-Guillamet, Sergi Pascual, Ary Serpa-Neto, Antonio Artigas, Marcus J Schultz","doi":"10.1007/s41030-023-00242-y","DOIUrl":null,"url":null,"abstract":"<p><strong>Introduction: </strong>Awake prone positioning has the potential to improve oxygenation and decrease respiratory rate, potentially reducing the need for intubation in patients with acute hypoxemic respiratory failure. We investigated awake prone positioning-induced changes in oxygenation and respiratory rate, and the prognostic capacity for intubation in patients with COVID-19 pneumonia.</p><p><strong>Methods: </strong>International multicenter prospective observation study in critically ill adult patients with COVID-19 receiving supplemental oxygen. We collected data on oxygenation and respiratory rate at baseline, and at 1 h after being placed in prone positioning. The combined primary outcome was oxygenation and respiratory rate at 1 h. The secondary endpoint was treatment failure, defined as need for intubation within 24 h of start of awake prone positioning.</p><p><strong>Results: </strong>Between March 27th and November 2020, 101 patients were enrolled of which 99 were fully analyzable. Awake prone positioning lasted mean of 3 [2-4] h. In 77 patients (77.7%), awake prone positioning improved oxygenation, and in 37 patients (54.4%) it decreased respiratory rate. Twenty-nine patients (29.3%) were intubated within 24 h. An increase in SpO<sub>2</sub>/FiO<sub>2</sub> of < 10 (OR 5.1, 95% CI 1.4-18.5, P = 0.01), a failure to increase PaO<sub>2</sub>/FiO<sub>2</sub> to > 116 mmHg (OR 3.6, 95% CI 1.2-10.8, P = 0.02), and a decrease in respiratory rate of < 2 breaths/min (OR 3.6, 95% CI 1.3-9.5, P = 0.01) were independent variables associated with need for intubation. The AUC-ROC curve for intubation using a multivariable model was 0.73 (95% CI 0.62-0.84).</p><p><strong>Conclusions: </strong>Awake prone positioning improves oxygenation in the majority of patients, and decreases respiratory rate in more than half of patients with acute hypoxemic respiratory failure caused by COVID-19. One in three patients need intubation within 24 h. Awake prone position-induced changes in oxygenation and respiratory rate have prognostic capacity for intubation within 24 h.</p>","PeriodicalId":20919,"journal":{"name":"Pulmonary Therapy","volume":" ","pages":"499-510"},"PeriodicalIF":3.0000,"publicationDate":"2023-12-01","publicationTypes":"Journal Article","fieldsOfStudy":null,"isOpenAccess":false,"openAccessPdf":"https://www.ncbi.nlm.nih.gov/pmc/articles/PMC10721579/pdf/","citationCount":"0","resultStr":"{\"title\":\"Associations of Awake Prone Positioning-Induced Changes in Physiology with Intubation: An International Prospective Observational Study in Patients with Acute Hypoxemic Respiratory Failure Related to COVID-19.\",\"authors\":\"Luis Morales-Quinteros, Raffaele Scala, João Manoel Silva, Antonio Leidi, Alexandre Leszek, Rodrigo Vazquez-Guillamet, Sergi Pascual, Ary Serpa-Neto, Antonio Artigas, Marcus J Schultz\",\"doi\":\"10.1007/s41030-023-00242-y\",\"DOIUrl\":null,\"url\":null,\"abstract\":\"<p><strong>Introduction: </strong>Awake prone positioning has the potential to improve oxygenation and decrease respiratory rate, potentially reducing the need for intubation in patients with acute hypoxemic respiratory failure. We investigated awake prone positioning-induced changes in oxygenation and respiratory rate, and the prognostic capacity for intubation in patients with COVID-19 pneumonia.</p><p><strong>Methods: </strong>International multicenter prospective observation study in critically ill adult patients with COVID-19 receiving supplemental oxygen. We collected data on oxygenation and respiratory rate at baseline, and at 1 h after being placed in prone positioning. The combined primary outcome was oxygenation and respiratory rate at 1 h. The secondary endpoint was treatment failure, defined as need for intubation within 24 h of start of awake prone positioning.</p><p><strong>Results: </strong>Between March 27th and November 2020, 101 patients were enrolled of which 99 were fully analyzable. Awake prone positioning lasted mean of 3 [2-4] h. In 77 patients (77.7%), awake prone positioning improved oxygenation, and in 37 patients (54.4%) it decreased respiratory rate. Twenty-nine patients (29.3%) were intubated within 24 h. An increase in SpO<sub>2</sub>/FiO<sub>2</sub> of < 10 (OR 5.1, 95% CI 1.4-18.5, P = 0.01), a failure to increase PaO<sub>2</sub>/FiO<sub>2</sub> to > 116 mmHg (OR 3.6, 95% CI 1.2-10.8, P = 0.02), and a decrease in respiratory rate of < 2 breaths/min (OR 3.6, 95% CI 1.3-9.5, P = 0.01) were independent variables associated with need for intubation. The AUC-ROC curve for intubation using a multivariable model was 0.73 (95% CI 0.62-0.84).</p><p><strong>Conclusions: </strong>Awake prone positioning improves oxygenation in the majority of patients, and decreases respiratory rate in more than half of patients with acute hypoxemic respiratory failure caused by COVID-19. One in three patients need intubation within 24 h. Awake prone position-induced changes in oxygenation and respiratory rate have prognostic capacity for intubation within 24 h.</p>\",\"PeriodicalId\":20919,\"journal\":{\"name\":\"Pulmonary Therapy\",\"volume\":\" \",\"pages\":\"499-510\"},\"PeriodicalIF\":3.0000,\"publicationDate\":\"2023-12-01\",\"publicationTypes\":\"Journal Article\",\"fieldsOfStudy\":null,\"isOpenAccess\":false,\"openAccessPdf\":\"https://www.ncbi.nlm.nih.gov/pmc/articles/PMC10721579/pdf/\",\"citationCount\":\"0\",\"resultStr\":null,\"platform\":\"Semanticscholar\",\"paperid\":null,\"PeriodicalName\":\"Pulmonary Therapy\",\"FirstCategoryId\":\"1085\",\"ListUrlMain\":\"https://doi.org/10.1007/s41030-023-00242-y\",\"RegionNum\":0,\"RegionCategory\":null,\"ArticlePicture\":[],\"TitleCN\":null,\"AbstractTextCN\":null,\"PMCID\":null,\"EPubDate\":\"2023/11/2 0:00:00\",\"PubModel\":\"Epub\",\"JCR\":\"Q2\",\"JCRName\":\"RESPIRATORY SYSTEM\",\"Score\":null,\"Total\":0}","platform":"Semanticscholar","paperid":null,"PeriodicalName":"Pulmonary Therapy","FirstCategoryId":"1085","ListUrlMain":"https://doi.org/10.1007/s41030-023-00242-y","RegionNum":0,"RegionCategory":null,"ArticlePicture":[],"TitleCN":null,"AbstractTextCN":null,"PMCID":null,"EPubDate":"2023/11/2 0:00:00","PubModel":"Epub","JCR":"Q2","JCRName":"RESPIRATORY SYSTEM","Score":null,"Total":0}
引用次数: 0

摘要

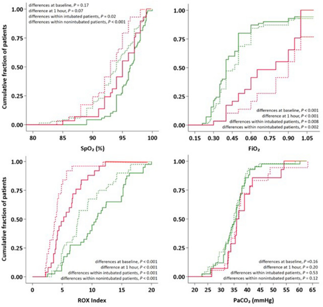
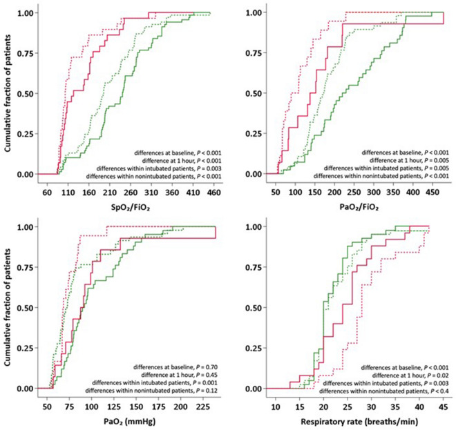
引言:清醒俯卧位有可能改善氧合并降低呼吸频率,有可能减少急性低氧性呼吸衰竭患者的插管需求。我们研究了新冠肺炎肺炎患者清醒姿势诱导的氧合和呼吸频率变化,以及插管的预后能力。方法:国际多中心前瞻性观察研究新冠肺炎成年危重患者接受补充氧气治疗。我们收集了基线时以及俯卧位后1小时的氧合和呼吸频率数据。综合的主要结果是氧合和1小时的呼吸频率。次要终点是治疗失败,定义为在清醒俯卧位开始后24小时内需要插管。结果:在2020年3月27日至11月期间,共有101名患者入选,其中99人可完全分析。清醒-俯卧位平均持续3[2-4]h。77名患者(77.7%)的清醒-俯卧位改善了氧合,37名患者(54.4%)的呼吸频率降低。29名患者(29.3%)在24小时内插管。的SpO2/FiO2增加 2/FiO2至 > 116毫米汞柱(OR 3.6,95%CI 1.2-10.8,P = 0.02),呼吸频率降低 结论:在新冠肺炎引起的急性低氧血症性呼吸衰竭患者中,醒卧位改善了大多数患者的氧合,并降低了一半以上患者的呼吸频率。三分之一的患者需要在24小时内插管。清醒俯卧位引起的氧合和呼吸频率变化具有在24小时内插管的预后能力。
本文章由计算机程序翻译,如有差异,请以英文原文为准。

Associations of Awake Prone Positioning-Induced Changes in Physiology with Intubation: An International Prospective Observational Study in Patients with Acute Hypoxemic Respiratory Failure Related to COVID-19.

Associations of Awake Prone Positioning-Induced Changes in Physiology with Intubation: An International Prospective Observational Study in Patients with Acute Hypoxemic Respiratory Failure Related to COVID-19.

Associations of Awake Prone Positioning-Induced Changes in Physiology with Intubation: An International Prospective Observational Study in Patients with Acute Hypoxemic Respiratory Failure Related to COVID-19.

Associations of Awake Prone Positioning-Induced Changes in Physiology with Intubation: An International Prospective Observational Study in Patients with Acute Hypoxemic Respiratory Failure Related to COVID-19.

Introduction: Awake prone positioning has the potential to improve oxygenation and decrease respiratory rate, potentially reducing the need for intubation in patients with acute hypoxemic respiratory failure. We investigated awake prone positioning-induced changes in oxygenation and respiratory rate, and the prognostic capacity for intubation in patients with COVID-19 pneumonia.

Methods: International multicenter prospective observation study in critically ill adult patients with COVID-19 receiving supplemental oxygen. We collected data on oxygenation and respiratory rate at baseline, and at 1 h after being placed in prone positioning. The combined primary outcome was oxygenation and respiratory rate at 1 h. The secondary endpoint was treatment failure, defined as need for intubation within 24 h of start of awake prone positioning.

Results: Between March 27th and November 2020, 101 patients were enrolled of which 99 were fully analyzable. Awake prone positioning lasted mean of 3 [2-4] h. In 77 patients (77.7%), awake prone positioning improved oxygenation, and in 37 patients (54.4%) it decreased respiratory rate. Twenty-nine patients (29.3%) were intubated within 24 h. An increase in SpO2/FiO2 of < 10 (OR 5.1, 95% CI 1.4-18.5, P = 0.01), a failure to increase PaO2/FiO2 to > 116 mmHg (OR 3.6, 95% CI 1.2-10.8, P = 0.02), and a decrease in respiratory rate of < 2 breaths/min (OR 3.6, 95% CI 1.3-9.5, P = 0.01) were independent variables associated with need for intubation. The AUC-ROC curve for intubation using a multivariable model was 0.73 (95% CI 0.62-0.84).

Conclusions: Awake prone positioning improves oxygenation in the majority of patients, and decreases respiratory rate in more than half of patients with acute hypoxemic respiratory failure caused by COVID-19. One in three patients need intubation within 24 h. Awake prone position-induced changes in oxygenation and respiratory rate have prognostic capacity for intubation within 24 h.

求助全文
通过发布文献求助,成功后即可免费获取论文全文。 去求助
来源期刊
Pulmonary Therapy
Pulmonary Therapy Medicine-Pulmonary and Respiratory Medicine
CiteScore
5.20
自引率
3.30%
发文量
24
审稿时长
6 weeks
期刊介绍: Aims and Scope Pulmonary Therapy is an international, open access, peer-reviewed (single-blind), and rapid publication journal. The scope of the journal is broad and will consider all scientifically sound research from pre-clinical, clinical (all phases), observational, real-world, and health outcomes research around the use of pulmonary therapies, devices, and surgical techniques. Areas of focus include, but are not limited to: asthma; chronic obstructive pulmonary disease; idiopathic pulmonary fibrosis; pulmonary hypertension; cystic fibrosis; lung cancer; respiratory tract disorders; allergic rhinitis and other respiratory allergies; influenza, pneumococcal infection, respiratory syncytial virus and other respiratory infections; and inhalers and other device therapies. The journal is of interest to a broad audience of pharmaceutical and healthcare professionals and publishes original research, reviews, case reports/series, trial protocols and short communications such as commentaries and editorials. Pulmonary Therapy will consider all scientifically sound research be it positive, confirmatory or negative data. Submissions are welcomed whether they relate to an international and/or a country-specific audience, something that is crucially important when researchers are trying to target more specific patient populations. This inclusive approach allows the journal to assist in the dissemination of quality research, which may be considered of insufficient interest by other journals. Rapid Publication The journal’s publication timelines aim for a rapid peer review of 2 weeks. If an article is accepted it will be published 3–4 weeks from acceptance. The rapid timelines are achieved through the combination of a dedicated in-house editorial team, who manage article workflow, and an extensive Editorial and Advisory Board who assist with peer review. This allows the journal to support the rapid dissemination of research, whilst still providing robust peer review. Combined with the journal’s open access model this allows for the rapid, efficient communication of the latest research and reviews, fostering the advancement of pulmonary therapies. Open Access All articles published by Pulmonary Therapy are open access. Personal Service The journal’s dedicated in-house editorial team offer a personal “concierge service” meaning authors will always have an editorial contact able to update them on the status of their manuscript. The editorial team check all manuscripts to ensure that articles conform to the most recent COPE, GPP and ICMJE publishing guidelines. This supports the publication of ethically sound and transparent research. Digital Features and Plain Language Summaries Pulmonary Therapy offers a range of additional features designed to increase the visibility, readership and educational value of the journal’s content. Each article is accompanied by key summary points, giving a time-efficient overview of the content to a wide readership. Articles may be accompanied by plain language summaries to assist readers who have some knowledge of, but not in-depth expertise in, the area to understand the scientific content and overall implications of the article. The journal also provides the option to include various types of digital features including animated abstracts, video abstracts, slide decks, audio slides, instructional videos, infographics, podcasts and animations. All additional features are peer reviewed to the same high standard as the article itself. If you consider that your paper would benefit from the inclusion of a digital feature, please let us know. Our editorial team are able to create high-quality slide decks and infographics in-house, and video abstracts through our partner Research Square, and would be happy to assist in any way we can. For further information about digital features, please contact the journal editor (see ‘Contact the Journal’ for email address), and see the ‘Guidelines for digital features and plain language summaries’ document under ‘Submission guidelines’. For examples of digital features please visit our showcase page https://springerhealthcare.com/expertise/publishing-digital-features/ Publication Fees Upon acceptance of an article, authors will be required to pay the mandatory Rapid Service Fee of €4500/ $5100/ £3650. The journal will consider fee discounts and waivers for developing countries and this is decided on a case by case basis. Peer Review Process Upon submission, manuscripts are assessed by the editorial team to ensure they fit within the aims and scope of the journal and are also checked for plagiarism. All suitable submissions are then subject to a comprehensive single-blind peer review. Reviewers are selected based on their relevant expertise and publication history in the subject area. The journal has an extensive pool of editorial and advisory board members who have been selected to assist with peer review based on the afore-mentioned criteria. At least two extensive reviews are required to make the editorial decision, with the exception of some article types such as Commentaries, Editorials, and Letters which are generally reviewed by one member of the Editorial Board. Where reviewer recommendations are conflicted, the editorial board will be contacted for further advice and a presiding decision. Manuscripts are then either accepted, rejected or authors are required to make major or minor revisions (both reviewer comments and editorial comments may need to be addressed). Once a revised manuscript is re-submitted, it is assessed along with the responses to reviewer comments and if it has been adequately revised it will be accepted for publication. Accepted manuscripts are then copyedited and typeset by the production team before online publication. Appeals against decisions following peer review are considered on a case-by-case basis and should be sent to the journal editor. Preprints We encourage posting of preprints of primary research manuscripts on preprint servers, authors’ or institutional websites, and open communications between researchers whether on community preprint servers or preprint commenting platforms. Posting of preprints is not considered prior publication and will not jeopardize consideration in our journals. Authors should disclose details of preprint posting during the submission process or at any other point during consideration in one of our journals. Once the manuscript is published, it is the author’s responsibility to ensure that the preprint record is updated with a publication reference, including the DOI and a URL link to the published version of the article on the journal website. Please follow the link for further information on preprint sharing: https://www.springer.com/gp/authors-editors/journal-author/journal-author-helpdesk/submission/1302#c16721550 Copyright Pulmonary Therapy''s content is published open access under the Creative Commons Attribution-Noncommercial License, which allows users to read, copy, distribute, and make derivative works for non-commercial purposes from the material, as long as the author of the original work is cited. The author assigns the exclusive right to any commercial use of the article to Springer. For more information about the Creative Commons Attribution-Noncommercial License, click here: http://creativecommons.org/licenses/by-nc/4.0. Contact For more information about the journal, including pre-submission enquiries, please contact christopher.vautrinot@springer.com.
×
引用
GB/T 7714-2015
复制
MLA
复制
APA
复制
导出至
BibTeX EndNote RefMan NoteFirst NoteExpress
×
提示
您的信息不完整,为了账户安全,请先补充。
现在去补充
×
提示
您因"违规操作"
具体请查看互助需知
我知道了
×
提示
确定
请完成安全验证×
copy
已复制链接
快去分享给好友吧!
我知道了
右上角分享
点击右上角分享
0
联系我们:info@booksci.cn Book学术提供免费学术资源搜索服务,方便国内外学者检索中英文文献。致力于提供最便捷和优质的服务体验。 Copyright © 2023 布克学术 All rights reserved.
京ICP备2023020795号-1
ghs 京公网安备 11010802042870号
Book学术文献互助
Book学术文献互助群
群 号:604180095
Book学术官方微信