Elexacaftor/Tazacaftor/Ivacaftor对美国囊性纤维化患者医疗资源利用和相关成本的影响:一项回顾性索赔分析。

IF 3 Q2 RESPIRATORY SYSTEM
Pulmonary Therapy Pub Date : 2023-12-01 Epub Date: 2023-10-24 DOI:10.1007/s41030-023-00241-z
Michael S Schechter, Natalia Sabater-Anaya, Gerry Oster, Derek Weycker, Hongsheng Wu, Emilio Arteaga-Solis, Sukirti Bagal, Lisa J McGarry, Kate Van Brunt, Jessica Morlando Geiger
{"title":"Elexacaftor/Tazacaftor/Ivacaftor对美国囊性纤维化患者医疗资源利用和相关成本的影响:一项回顾性索赔分析。","authors":"Michael S Schechter, Natalia Sabater-Anaya, Gerry Oster, Derek Weycker, Hongsheng Wu, Emilio Arteaga-Solis, Sukirti Bagal, Lisa J McGarry, Kate Van Brunt, Jessica Morlando Geiger","doi":"10.1007/s41030-023-00241-z","DOIUrl":null,"url":null,"abstract":"<p><strong>Introduction: </strong>Cystic fibrosis (CF) is a life-limiting genetic disease caused by mutations in the cystic fibrosis transmembrane conductance regulator (CFTR) gene. Elexacaftor/tezacaftor/ivacaftor (ELX/TEZ/IVA) is a CFTR modulator (CFTRm) that targets the underlying cause of CF. Based on safety and efficacy demonstrated in clinical trials, ELX/TEZ/IVA is approved in the US for the treatment of CF in people aged ≥ 2 years who have ≥ 1 F508del-CFTR mutation or a CFTR mutation that is responsive to ELX/TEZ/IVA based on in vitro data. While ELX/TEZ/IVA demonstrated unprecedented improvements in lung function and dramatic reductions in pulmonary exacerbations (PEx) and associated hospitalizations in clinical trials, a limited number of studies have examined the impact of ELX/TEZ/IVA on healthcare resource utilization (HCRU) and associated costs in a real-world setting. The aim of this retrospective study was to evaluate changes in PEx, HCRU, and associated non-CFTRm healthcare costs following initiation of ELX/TEZ/IVA among people with CF aged ≥ 12 years in the US.</p><p><strong>Methods: </strong>We evaluated the rates of PEx, HCRU, and associated costs before and after initiation of ELX/TEZ/IVA in people with CF aged ≥ 12 years using data from the Merative MarketScan® Commercial Claims and Encounters Database and the Merative Multi-State Medicaid Database from April 21, 2019 to December 31, 2020. Because the study period included time following the onset of the COVID-19 pandemic, we limited our primary analysis to the period prior to the pandemic (October 21, 2019 to March 12, 2020). Outcomes following the onset of the pandemic (March 13 to December 31, 2020) were examined in an exploratory analysis.</p><p><strong>Results: </strong>In both commercially insured and Medicaid-insured people with CF, ELX/TEZ/IVA was associated with reductions in PEx, hospitalizations, and associated costs prior to the COVID-19 pandemic, and these reductions were maintained following the onset of the pandemic.</p><p><strong>Conclusions: </strong>These findings suggest that ELX/TEZ/IVA reduces the burden and costs associated with PEx and hospitalizations in people with CF.</p>","PeriodicalId":20919,"journal":{"name":"Pulmonary Therapy","volume":" ","pages":"479-498"},"PeriodicalIF":3.0000,"publicationDate":"2023-12-01","publicationTypes":"Journal Article","fieldsOfStudy":null,"isOpenAccess":false,"openAccessPdf":"https://www.ncbi.nlm.nih.gov/pmc/articles/PMC10721580/pdf/","citationCount":"0","resultStr":"{\"title\":\"Impact of Elexacaftor/Tezacaftor/Ivacaftor on Healthcare Resource Utilization and Associated Costs Among People With Cystic Fibrosis in the US: A Retrospective Claims Analysis.\",\"authors\":\"Michael S Schechter, Natalia Sabater-Anaya, Gerry Oster, Derek Weycker, Hongsheng Wu, Emilio Arteaga-Solis, Sukirti Bagal, Lisa J McGarry, Kate Van Brunt, Jessica Morlando Geiger\",\"doi\":\"10.1007/s41030-023-00241-z\",\"DOIUrl\":null,\"url\":null,\"abstract\":\"<p><strong>Introduction: </strong>Cystic fibrosis (CF) is a life-limiting genetic disease caused by mutations in the cystic fibrosis transmembrane conductance regulator (CFTR) gene. Elexacaftor/tezacaftor/ivacaftor (ELX/TEZ/IVA) is a CFTR modulator (CFTRm) that targets the underlying cause of CF. Based on safety and efficacy demonstrated in clinical trials, ELX/TEZ/IVA is approved in the US for the treatment of CF in people aged ≥ 2 years who have ≥ 1 F508del-CFTR mutation or a CFTR mutation that is responsive to ELX/TEZ/IVA based on in vitro data. While ELX/TEZ/IVA demonstrated unprecedented improvements in lung function and dramatic reductions in pulmonary exacerbations (PEx) and associated hospitalizations in clinical trials, a limited number of studies have examined the impact of ELX/TEZ/IVA on healthcare resource utilization (HCRU) and associated costs in a real-world setting. The aim of this retrospective study was to evaluate changes in PEx, HCRU, and associated non-CFTRm healthcare costs following initiation of ELX/TEZ/IVA among people with CF aged ≥ 12 years in the US.</p><p><strong>Methods: </strong>We evaluated the rates of PEx, HCRU, and associated costs before and after initiation of ELX/TEZ/IVA in people with CF aged ≥ 12 years using data from the Merative MarketScan® Commercial Claims and Encounters Database and the Merative Multi-State Medicaid Database from April 21, 2019 to December 31, 2020. Because the study period included time following the onset of the COVID-19 pandemic, we limited our primary analysis to the period prior to the pandemic (October 21, 2019 to March 12, 2020). Outcomes following the onset of the pandemic (March 13 to December 31, 2020) were examined in an exploratory analysis.</p><p><strong>Results: </strong>In both commercially insured and Medicaid-insured people with CF, ELX/TEZ/IVA was associated with reductions in PEx, hospitalizations, and associated costs prior to the COVID-19 pandemic, and these reductions were maintained following the onset of the pandemic.</p><p><strong>Conclusions: </strong>These findings suggest that ELX/TEZ/IVA reduces the burden and costs associated with PEx and hospitalizations in people with CF.</p>\",\"PeriodicalId\":20919,\"journal\":{\"name\":\"Pulmonary Therapy\",\"volume\":\" \",\"pages\":\"479-498\"},\"PeriodicalIF\":3.0000,\"publicationDate\":\"2023-12-01\",\"publicationTypes\":\"Journal Article\",\"fieldsOfStudy\":null,\"isOpenAccess\":false,\"openAccessPdf\":\"https://www.ncbi.nlm.nih.gov/pmc/articles/PMC10721580/pdf/\",\"citationCount\":\"0\",\"resultStr\":null,\"platform\":\"Semanticscholar\",\"paperid\":null,\"PeriodicalName\":\"Pulmonary Therapy\",\"FirstCategoryId\":\"1085\",\"ListUrlMain\":\"https://doi.org/10.1007/s41030-023-00241-z\",\"RegionNum\":0,\"RegionCategory\":null,\"ArticlePicture\":[],\"TitleCN\":null,\"AbstractTextCN\":null,\"PMCID\":null,\"EPubDate\":\"2023/10/24 0:00:00\",\"PubModel\":\"Epub\",\"JCR\":\"Q2\",\"JCRName\":\"RESPIRATORY SYSTEM\",\"Score\":null,\"Total\":0}","platform":"Semanticscholar","paperid":null,"PeriodicalName":"Pulmonary Therapy","FirstCategoryId":"1085","ListUrlMain":"https://doi.org/10.1007/s41030-023-00241-z","RegionNum":0,"RegionCategory":null,"ArticlePicture":[],"TitleCN":null,"AbstractTextCN":null,"PMCID":null,"EPubDate":"2023/10/24 0:00:00","PubModel":"Epub","JCR":"Q2","JCRName":"RESPIRATORY SYSTEM","Score":null,"Total":0}
引用次数: 0

摘要

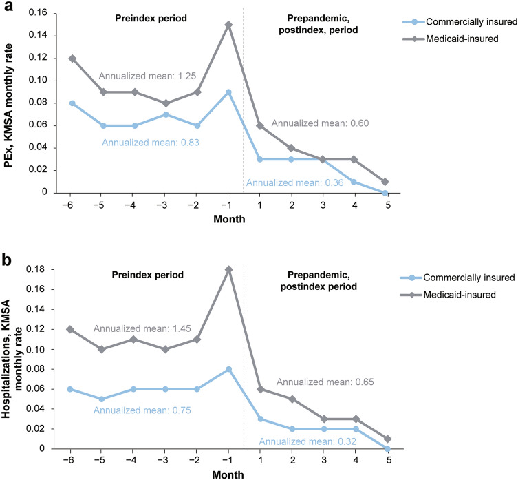
简介:囊性纤维化(CF)是一种由囊性纤维化跨膜电导调节因子(CFTR)基因突变引起的限制生命的遗传性疾病。Elexacafter/tezacafter/ivacafter(ELX/TEZ/IVA)是一种针对CF根本原因的CFTR调节剂(CFTRm)。根据临床试验证明的安全性和有效性,ELX/TEZ/IVA在美国被批准用于治疗老年人CF ≥ 2年 ≥ 1 F508del CFTR突变或基于体外数据对ELX/TEZ/IVA有反应的CFTR突变。虽然在临床试验中,ELX/TEZ/IVA显示出前所未有的肺功能改善,肺恶化(PEx)和相关住院人数大幅减少,但在现实世界中,少数研究考察了ELX/TEZ/IVA对医疗资源利用(HCRU)和相关成本的影响。这项回顾性研究的目的是评估老年CF患者开始使用ELX/TEZ/IVA后PEx、HCRU和相关非CFTRm医疗费用的变化 ≥ 方法:我们评估了老年CF患者在开始ELX/TEZ/IVA前后的PEx、HCRU和相关费用的发生率 ≥ 从2019年4月21日到2020年12月31日,使用Merative MarketScan®商业索赔和遭遇数据库和Merative多州医疗补助数据库的数据进行12年。由于研究期间包括新冠肺炎大流行开始后的时间,我们将主要分析限制在大流行前(2019年10月21日至2020年3月12日)。在一项探索性分析中检查了疫情爆发后(2020年3月13日至12月31日)的结果。结果:在新冠肺炎大流行之前,在商业保险和医疗补助保险的CF患者中,ELX/TEZ/IVA与PEx、住院和相关成本的降低有关,并且这些降低在大流行开始后保持不变。结论:这些发现表明,ELX/TEZ/IVA降低了CF患者与PEx和住院相关的负担和费用。
本文章由计算机程序翻译,如有差异,请以英文原文为准。

Impact of Elexacaftor/Tezacaftor/Ivacaftor on Healthcare Resource Utilization and Associated Costs Among People With Cystic Fibrosis in the US: A Retrospective Claims Analysis.

Impact of Elexacaftor/Tezacaftor/Ivacaftor on Healthcare Resource Utilization and Associated Costs Among People With Cystic Fibrosis in the US: A Retrospective Claims Analysis.

Impact of Elexacaftor/Tezacaftor/Ivacaftor on Healthcare Resource Utilization and Associated Costs Among People With Cystic Fibrosis in the US: A Retrospective Claims Analysis.

Impact of Elexacaftor/Tezacaftor/Ivacaftor on Healthcare Resource Utilization and Associated Costs Among People With Cystic Fibrosis in the US: A Retrospective Claims Analysis.

Introduction: Cystic fibrosis (CF) is a life-limiting genetic disease caused by mutations in the cystic fibrosis transmembrane conductance regulator (CFTR) gene. Elexacaftor/tezacaftor/ivacaftor (ELX/TEZ/IVA) is a CFTR modulator (CFTRm) that targets the underlying cause of CF. Based on safety and efficacy demonstrated in clinical trials, ELX/TEZ/IVA is approved in the US for the treatment of CF in people aged ≥ 2 years who have ≥ 1 F508del-CFTR mutation or a CFTR mutation that is responsive to ELX/TEZ/IVA based on in vitro data. While ELX/TEZ/IVA demonstrated unprecedented improvements in lung function and dramatic reductions in pulmonary exacerbations (PEx) and associated hospitalizations in clinical trials, a limited number of studies have examined the impact of ELX/TEZ/IVA on healthcare resource utilization (HCRU) and associated costs in a real-world setting. The aim of this retrospective study was to evaluate changes in PEx, HCRU, and associated non-CFTRm healthcare costs following initiation of ELX/TEZ/IVA among people with CF aged ≥ 12 years in the US.

Methods: We evaluated the rates of PEx, HCRU, and associated costs before and after initiation of ELX/TEZ/IVA in people with CF aged ≥ 12 years using data from the Merative MarketScan® Commercial Claims and Encounters Database and the Merative Multi-State Medicaid Database from April 21, 2019 to December 31, 2020. Because the study period included time following the onset of the COVID-19 pandemic, we limited our primary analysis to the period prior to the pandemic (October 21, 2019 to March 12, 2020). Outcomes following the onset of the pandemic (March 13 to December 31, 2020) were examined in an exploratory analysis.

Results: In both commercially insured and Medicaid-insured people with CF, ELX/TEZ/IVA was associated with reductions in PEx, hospitalizations, and associated costs prior to the COVID-19 pandemic, and these reductions were maintained following the onset of the pandemic.

Conclusions: These findings suggest that ELX/TEZ/IVA reduces the burden and costs associated with PEx and hospitalizations in people with CF.

求助全文
通过发布文献求助,成功后即可免费获取论文全文。 去求助
来源期刊
Pulmonary Therapy
Pulmonary Therapy Medicine-Pulmonary and Respiratory Medicine
CiteScore
5.20
自引率
3.30%
发文量
24
审稿时长
6 weeks
期刊介绍: Aims and Scope Pulmonary Therapy is an international, open access, peer-reviewed (single-blind), and rapid publication journal. The scope of the journal is broad and will consider all scientifically sound research from pre-clinical, clinical (all phases), observational, real-world, and health outcomes research around the use of pulmonary therapies, devices, and surgical techniques. Areas of focus include, but are not limited to: asthma; chronic obstructive pulmonary disease; idiopathic pulmonary fibrosis; pulmonary hypertension; cystic fibrosis; lung cancer; respiratory tract disorders; allergic rhinitis and other respiratory allergies; influenza, pneumococcal infection, respiratory syncytial virus and other respiratory infections; and inhalers and other device therapies. The journal is of interest to a broad audience of pharmaceutical and healthcare professionals and publishes original research, reviews, case reports/series, trial protocols and short communications such as commentaries and editorials. Pulmonary Therapy will consider all scientifically sound research be it positive, confirmatory or negative data. Submissions are welcomed whether they relate to an international and/or a country-specific audience, something that is crucially important when researchers are trying to target more specific patient populations. This inclusive approach allows the journal to assist in the dissemination of quality research, which may be considered of insufficient interest by other journals. Rapid Publication The journal’s publication timelines aim for a rapid peer review of 2 weeks. If an article is accepted it will be published 3–4 weeks from acceptance. The rapid timelines are achieved through the combination of a dedicated in-house editorial team, who manage article workflow, and an extensive Editorial and Advisory Board who assist with peer review. This allows the journal to support the rapid dissemination of research, whilst still providing robust peer review. Combined with the journal’s open access model this allows for the rapid, efficient communication of the latest research and reviews, fostering the advancement of pulmonary therapies. Open Access All articles published by Pulmonary Therapy are open access. Personal Service The journal’s dedicated in-house editorial team offer a personal “concierge service” meaning authors will always have an editorial contact able to update them on the status of their manuscript. The editorial team check all manuscripts to ensure that articles conform to the most recent COPE, GPP and ICMJE publishing guidelines. This supports the publication of ethically sound and transparent research. Digital Features and Plain Language Summaries Pulmonary Therapy offers a range of additional features designed to increase the visibility, readership and educational value of the journal’s content. Each article is accompanied by key summary points, giving a time-efficient overview of the content to a wide readership. Articles may be accompanied by plain language summaries to assist readers who have some knowledge of, but not in-depth expertise in, the area to understand the scientific content and overall implications of the article. The journal also provides the option to include various types of digital features including animated abstracts, video abstracts, slide decks, audio slides, instructional videos, infographics, podcasts and animations. All additional features are peer reviewed to the same high standard as the article itself. If you consider that your paper would benefit from the inclusion of a digital feature, please let us know. Our editorial team are able to create high-quality slide decks and infographics in-house, and video abstracts through our partner Research Square, and would be happy to assist in any way we can. For further information about digital features, please contact the journal editor (see ‘Contact the Journal’ for email address), and see the ‘Guidelines for digital features and plain language summaries’ document under ‘Submission guidelines’. For examples of digital features please visit our showcase page https://springerhealthcare.com/expertise/publishing-digital-features/ Publication Fees Upon acceptance of an article, authors will be required to pay the mandatory Rapid Service Fee of €4500/ $5100/ £3650. The journal will consider fee discounts and waivers for developing countries and this is decided on a case by case basis. Peer Review Process Upon submission, manuscripts are assessed by the editorial team to ensure they fit within the aims and scope of the journal and are also checked for plagiarism. All suitable submissions are then subject to a comprehensive single-blind peer review. Reviewers are selected based on their relevant expertise and publication history in the subject area. The journal has an extensive pool of editorial and advisory board members who have been selected to assist with peer review based on the afore-mentioned criteria. At least two extensive reviews are required to make the editorial decision, with the exception of some article types such as Commentaries, Editorials, and Letters which are generally reviewed by one member of the Editorial Board. Where reviewer recommendations are conflicted, the editorial board will be contacted for further advice and a presiding decision. Manuscripts are then either accepted, rejected or authors are required to make major or minor revisions (both reviewer comments and editorial comments may need to be addressed). Once a revised manuscript is re-submitted, it is assessed along with the responses to reviewer comments and if it has been adequately revised it will be accepted for publication. Accepted manuscripts are then copyedited and typeset by the production team before online publication. Appeals against decisions following peer review are considered on a case-by-case basis and should be sent to the journal editor. Preprints We encourage posting of preprints of primary research manuscripts on preprint servers, authors’ or institutional websites, and open communications between researchers whether on community preprint servers or preprint commenting platforms. Posting of preprints is not considered prior publication and will not jeopardize consideration in our journals. Authors should disclose details of preprint posting during the submission process or at any other point during consideration in one of our journals. Once the manuscript is published, it is the author’s responsibility to ensure that the preprint record is updated with a publication reference, including the DOI and a URL link to the published version of the article on the journal website. Please follow the link for further information on preprint sharing: https://www.springer.com/gp/authors-editors/journal-author/journal-author-helpdesk/submission/1302#c16721550 Copyright Pulmonary Therapy''s content is published open access under the Creative Commons Attribution-Noncommercial License, which allows users to read, copy, distribute, and make derivative works for non-commercial purposes from the material, as long as the author of the original work is cited. The author assigns the exclusive right to any commercial use of the article to Springer. For more information about the Creative Commons Attribution-Noncommercial License, click here: http://creativecommons.org/licenses/by-nc/4.0. Contact For more information about the journal, including pre-submission enquiries, please contact christopher.vautrinot@springer.com.
×
引用
GB/T 7714-2015
复制
MLA
复制
APA
复制
导出至
BibTeX EndNote RefMan NoteFirst NoteExpress
×
提示
您的信息不完整,为了账户安全,请先补充。
现在去补充
×
提示
您因"违规操作"
具体请查看互助需知
我知道了
×
提示
确定
请完成安全验证×
copy
已复制链接
快去分享给好友吧!
我知道了
右上角分享
点击右上角分享
0
联系我们:info@booksci.cn Book学术提供免费学术资源搜索服务,方便国内外学者检索中英文文献。致力于提供最便捷和优质的服务体验。 Copyright © 2023 布克学术 All rights reserved.
京ICP备2023020795号-1
ghs 京公网安备 11010802042870号
Book学术文献互助
Book学术文献互助群
群 号:604180095
Book学术官方微信