COVID-19大流行期间反mRNA疫苗接种错误信息的揭穿干预措施的益处和缺陷

IF 4.1 1区 文学 Q1 COMMUNICATION
Philipp Schmid, Cornelia Betsch
{"title":"COVID-19大流行期间反mRNA疫苗接种错误信息的揭穿干预措施的益处和缺陷","authors":"Philipp Schmid, Cornelia Betsch","doi":"10.1177/10755470221129608","DOIUrl":null,"url":null,"abstract":"<p><p>Misinformation about mRNA vaccination is a barrier in the global fight against the COVID-19 pandemic. Thus, authorities often rely on text-based refutations as a countermeasure. In two experiments (<i>N</i> = 2,444), text-based refutations effectively reduced the belief in misinformation and immunized participants against the impact of a misleading social media post. However, a follow-up (<i>N</i> = 817) questions the longevity of these debunking and prebunking effects. Moreover, the studies reveal potential pitfalls by showing a row of unintended effects of the refutations (lacking effect on intentions, backfire-effects among religious groups, and biased judgments when omitting information about vaccine side effects).</p>","PeriodicalId":47828,"journal":{"name":"Science Communication","volume":"44 1","pages":"531-558"},"PeriodicalIF":4.1000,"publicationDate":"2022-10-01","publicationTypes":"Journal Article","fieldsOfStudy":null,"isOpenAccess":false,"openAccessPdf":"https://www.ncbi.nlm.nih.gov/pmc/articles/PMC9574536/pdf/","citationCount":"0","resultStr":"{\"title\":\"Benefits and Pitfalls of Debunking Interventions to Counter mRNA Vaccination Misinformation During the COVID-19 Pandemic.\",\"authors\":\"Philipp Schmid, Cornelia Betsch\",\"doi\":\"10.1177/10755470221129608\",\"DOIUrl\":null,\"url\":null,\"abstract\":\"<p><p>Misinformation about mRNA vaccination is a barrier in the global fight against the COVID-19 pandemic. Thus, authorities often rely on text-based refutations as a countermeasure. In two experiments (<i>N</i> = 2,444), text-based refutations effectively reduced the belief in misinformation and immunized participants against the impact of a misleading social media post. However, a follow-up (<i>N</i> = 817) questions the longevity of these debunking and prebunking effects. Moreover, the studies reveal potential pitfalls by showing a row of unintended effects of the refutations (lacking effect on intentions, backfire-effects among religious groups, and biased judgments when omitting information about vaccine side effects).</p>\",\"PeriodicalId\":47828,\"journal\":{\"name\":\"Science Communication\",\"volume\":\"44 1\",\"pages\":\"531-558\"},\"PeriodicalIF\":4.1000,\"publicationDate\":\"2022-10-01\",\"publicationTypes\":\"Journal Article\",\"fieldsOfStudy\":null,\"isOpenAccess\":false,\"openAccessPdf\":\"https://www.ncbi.nlm.nih.gov/pmc/articles/PMC9574536/pdf/\",\"citationCount\":\"0\",\"resultStr\":null,\"platform\":\"Semanticscholar\",\"paperid\":null,\"PeriodicalName\":\"Science Communication\",\"FirstCategoryId\":\"98\",\"ListUrlMain\":\"https://doi.org/10.1177/10755470221129608\",\"RegionNum\":1,\"RegionCategory\":\"文学\",\"ArticlePicture\":[],\"TitleCN\":null,\"AbstractTextCN\":null,\"PMCID\":null,\"EPubDate\":\"\",\"PubModel\":\"\",\"JCR\":\"Q1\",\"JCRName\":\"COMMUNICATION\",\"Score\":null,\"Total\":0}","platform":"Semanticscholar","paperid":null,"PeriodicalName":"Science Communication","FirstCategoryId":"98","ListUrlMain":"https://doi.org/10.1177/10755470221129608","RegionNum":1,"RegionCategory":"文学","ArticlePicture":[],"TitleCN":null,"AbstractTextCN":null,"PMCID":null,"EPubDate":"","PubModel":"","JCR":"Q1","JCRName":"COMMUNICATION","Score":null,"Total":0}
引用次数: 0

摘要

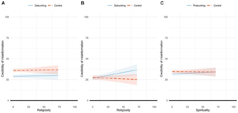
关于mRNA疫苗接种的错误信息是全球抗击COVID-19大流行的障碍。因此,当局经常依靠基于文本的反驳作为对策。在两个实验中(N = 2,444),基于文本的反驳有效地降低了对错误信息的信念,并使参与者免受误导性社交媒体帖子的影响。然而,一项后续研究(N = 817)质疑这些揭穿和预掩体效应的持久性。此外,这些研究揭示了潜在的陷阱,显示了一系列意想不到的反驳效果(缺乏对意图的影响,宗教团体的反作用,以及遗漏疫苗副作用信息时的偏见判断)。
本文章由计算机程序翻译,如有差异,请以英文原文为准。

Benefits and Pitfalls of Debunking Interventions to Counter mRNA Vaccination Misinformation During the COVID-19 Pandemic.

Benefits and Pitfalls of Debunking Interventions to Counter mRNA Vaccination Misinformation During the COVID-19 Pandemic.

Benefits and Pitfalls of Debunking Interventions to Counter mRNA Vaccination Misinformation During the COVID-19 Pandemic.

Benefits and Pitfalls of Debunking Interventions to Counter mRNA Vaccination Misinformation During the COVID-19 Pandemic.

Misinformation about mRNA vaccination is a barrier in the global fight against the COVID-19 pandemic. Thus, authorities often rely on text-based refutations as a countermeasure. In two experiments (N = 2,444), text-based refutations effectively reduced the belief in misinformation and immunized participants against the impact of a misleading social media post. However, a follow-up (N = 817) questions the longevity of these debunking and prebunking effects. Moreover, the studies reveal potential pitfalls by showing a row of unintended effects of the refutations (lacking effect on intentions, backfire-effects among religious groups, and biased judgments when omitting information about vaccine side effects).

求助全文
通过发布文献求助,成功后即可免费获取论文全文。 去求助
来源期刊
Science Communication
Science Communication COMMUNICATION-
CiteScore
13.50
自引率
4.40%
发文量
19
期刊介绍: Science Communication is a prestigious journal that focuses on communication research. It is recognized globally for publishing top-quality manuscripts that demonstrate excellent theoretical frameworks and robust methodology. Our journal embraces a broad definition of science, encompassing not only the natural and physical sciences but also social science, technology, environment, engineering, and health. Regardless of the scientific area, effective communication is always the focal point of our investigations. Apart from theoretical and methodological rigor, we place great emphasis on the practical implications of scientific communication. Therefore, we expect all submitted manuscripts to address the real-world applications and significance of their research, alongside theoretical considerations. In summary, Science Communication is an internationally renowned journal dedicated to bridging the gap between science and society. By promoting effective communication in various scientific domains, we strive to engage readers with intriguing research that has tangible implications for the world around us.
×
引用
GB/T 7714-2015
复制
MLA
复制
APA
复制
导出至
BibTeX EndNote RefMan NoteFirst NoteExpress
×
提示
您的信息不完整,为了账户安全,请先补充。
现在去补充
×
提示
您因"违规操作"
具体请查看互助需知
我知道了
×
提示
确定
请完成安全验证×
copy
已复制链接
快去分享给好友吧!
我知道了
右上角分享
点击右上角分享
0
联系我们:info@booksci.cn Book学术提供免费学术资源搜索服务,方便国内外学者检索中英文文献。致力于提供最便捷和优质的服务体验。 Copyright © 2023 布克学术 All rights reserved.
京ICP备2023020795号-1
ghs 京公网安备 11010802042870号
Book学术文献互助
Book学术文献互助群
群 号:604180095
Book学术官方微信