血清甲状腺球蛋白对癌症分化良好的诊断和治疗价值的建立

IF 0.9 Q4 RADIOLOGY, NUCLEAR MEDICINE & MEDICAL IMAGING
World Journal of Nuclear Medicine Pub Date : 2023-09-06 eCollection Date: 2023-09-01 DOI:10.1055/s-0043-1771286
Jiwan Paudel
{"title":"血清甲状腺球蛋白对癌症分化良好的诊断和治疗价值的建立","authors":"Jiwan Paudel","doi":"10.1055/s-0043-1771286","DOIUrl":null,"url":null,"abstract":"<p><p><b>Objective</b>  The aim of this study was to define a cutoff serum thyroglobulin (Tg) level associated with either residual or metastasis that may help decide postoperative radioactive iodine (RAI) scan and treatment in differentiated thyroid cancer (DTC) patients residing in low-income countries like Nepal. <b>Methods</b>  We prospectively studied a total of 81 patients (female-to-male ratio of 3.0:1; mean age: 37.3 ± 14.0 years, within age range of 14-88 years) who underwent total thyroidectomy with/without neck dissection and were referred for RAI whole-body scan (WBS) ± RAI ablation or adjuvant treatment in the department of Nuclear Medicine, Chitwan Medical College. We calculated the cutoff value of Tg using receiver operating characteristic (ROC) curve analysis. <b>Results</b>  Forty-six of 81 patients (56.7%) had remnants in the thyroid bed, 26/81 (32.1%) had regional lymph node metastasis, 9/81 (11.1%) had distant lymph node metastasis, 3/81 (3.7%) had lung metastases, and only 1/81 (1.2%) had bone metastases. RAI WBS was positive in 61/81 (75.3%) patients and negative in 20/81 (24.7%) patients. Seventeen of 81 (20.9%) patients had negative RAI scans with low serum Tg levels; only 3/81 (3.7%) patients had Tg elevated negative RAI scan (TENIS). Although scan was positive in 61/81 (75.3%) patients, 64/81 (79.0%) patients received treatment with RAI, of which 3/81 (3.7%) patients were TENIS patients. There was a significant difference in serum Tg levels between patients who received or did not receive RAI ablation or treatment ( <i>p</i>  < 0.05). On ROC curve analysis, the cutoff value of Tg levels between patients who received and did not receive treatment was 2.9 ng/mL (sensitivity: 85.9%; specificity: 94.1%; positive predictive value [PPV], 98.2%; negative predictive value [NPV]: 64.0%; AUC: 0.938). <b>Conclusion</b>  We identified a cutoff value of 2.9 ng/mL between patients who required or did not require treatment with high sensitivity, specificity, and PPVs.</p>","PeriodicalId":23742,"journal":{"name":"World Journal of Nuclear Medicine","volume":"22 1","pages":"208-216"},"PeriodicalIF":0.9000,"publicationDate":"2023-09-06","publicationTypes":"Journal Article","fieldsOfStudy":null,"isOpenAccess":false,"openAccessPdf":"https://www.ncbi.nlm.nih.gov/pmc/articles/PMC10581758/pdf/","citationCount":"0","resultStr":"{\"title\":\"Establishing a Cutoff Serum Thyroglobulin Value for the Diagnosis and Management of Well-Differentiated Thyroid Cancer.\",\"authors\":\"Jiwan Paudel\",\"doi\":\"10.1055/s-0043-1771286\",\"DOIUrl\":null,\"url\":null,\"abstract\":\"<p><p><b>Objective</b>  The aim of this study was to define a cutoff serum thyroglobulin (Tg) level associated with either residual or metastasis that may help decide postoperative radioactive iodine (RAI) scan and treatment in differentiated thyroid cancer (DTC) patients residing in low-income countries like Nepal. <b>Methods</b>  We prospectively studied a total of 81 patients (female-to-male ratio of 3.0:1; mean age: 37.3 ± 14.0 years, within age range of 14-88 years) who underwent total thyroidectomy with/without neck dissection and were referred for RAI whole-body scan (WBS) ± RAI ablation or adjuvant treatment in the department of Nuclear Medicine, Chitwan Medical College. We calculated the cutoff value of Tg using receiver operating characteristic (ROC) curve analysis. <b>Results</b>  Forty-six of 81 patients (56.7%) had remnants in the thyroid bed, 26/81 (32.1%) had regional lymph node metastasis, 9/81 (11.1%) had distant lymph node metastasis, 3/81 (3.7%) had lung metastases, and only 1/81 (1.2%) had bone metastases. RAI WBS was positive in 61/81 (75.3%) patients and negative in 20/81 (24.7%) patients. Seventeen of 81 (20.9%) patients had negative RAI scans with low serum Tg levels; only 3/81 (3.7%) patients had Tg elevated negative RAI scan (TENIS). Although scan was positive in 61/81 (75.3%) patients, 64/81 (79.0%) patients received treatment with RAI, of which 3/81 (3.7%) patients were TENIS patients. There was a significant difference in serum Tg levels between patients who received or did not receive RAI ablation or treatment ( <i>p</i>  < 0.05). On ROC curve analysis, the cutoff value of Tg levels between patients who received and did not receive treatment was 2.9 ng/mL (sensitivity: 85.9%; specificity: 94.1%; positive predictive value [PPV], 98.2%; negative predictive value [NPV]: 64.0%; AUC: 0.938). <b>Conclusion</b>  We identified a cutoff value of 2.9 ng/mL between patients who required or did not require treatment with high sensitivity, specificity, and PPVs.</p>\",\"PeriodicalId\":23742,\"journal\":{\"name\":\"World Journal of Nuclear Medicine\",\"volume\":\"22 1\",\"pages\":\"208-216\"},\"PeriodicalIF\":0.9000,\"publicationDate\":\"2023-09-06\",\"publicationTypes\":\"Journal Article\",\"fieldsOfStudy\":null,\"isOpenAccess\":false,\"openAccessPdf\":\"https://www.ncbi.nlm.nih.gov/pmc/articles/PMC10581758/pdf/\",\"citationCount\":\"0\",\"resultStr\":null,\"platform\":\"Semanticscholar\",\"paperid\":null,\"PeriodicalName\":\"World Journal of Nuclear Medicine\",\"FirstCategoryId\":\"1085\",\"ListUrlMain\":\"https://doi.org/10.1055/s-0043-1771286\",\"RegionNum\":0,\"RegionCategory\":null,\"ArticlePicture\":[],\"TitleCN\":null,\"AbstractTextCN\":null,\"PMCID\":null,\"EPubDate\":\"2023/9/1 0:00:00\",\"PubModel\":\"eCollection\",\"JCR\":\"Q4\",\"JCRName\":\"RADIOLOGY, NUCLEAR MEDICINE & MEDICAL IMAGING\",\"Score\":null,\"Total\":0}","platform":"Semanticscholar","paperid":null,"PeriodicalName":"World Journal of Nuclear Medicine","FirstCategoryId":"1085","ListUrlMain":"https://doi.org/10.1055/s-0043-1771286","RegionNum":0,"RegionCategory":null,"ArticlePicture":[],"TitleCN":null,"AbstractTextCN":null,"PMCID":null,"EPubDate":"2023/9/1 0:00:00","PubModel":"eCollection","JCR":"Q4","JCRName":"RADIOLOGY, NUCLEAR MEDICINE & MEDICAL IMAGING","Score":null,"Total":0}
引用次数: 0

摘要

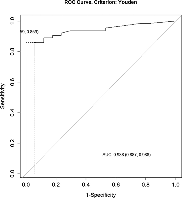
摘要目的本研究的目的是确定与残留或转移相关的血清甲状腺球蛋白(Tg)水平,这可能有助于决定生活在尼泊尔等低收入国家的分化型甲状腺癌(DTC)患者术后放射性碘(RAI)扫描和治疗。方法前瞻性研究81例患者(男女比例为3.0:1;平均年龄:37.3±14.0岁,年龄范围14-88岁),行甲状腺全切除术伴/不伴颈部清扫,转介于Chitwan医学院核医学院行RAI全身扫描(WBS)±RAI消融或辅助治疗。我们使用受试者工作特征(ROC)曲线分析计算Tg的截止值。结果81例患者中有46例(56.7%)甲状腺床残留,26/81例(32.1%)有局部淋巴结转移,9/81例(11.1%)有远处淋巴结转移,3/81例(3.7%)有肺转移,1/81例(1.2%)有骨转移。61/81(75.3%)患者的RAI WBS呈阳性,20/81(24.7%)患者呈阴性。81例患者中17例(20.9%)RAI扫描阴性,血清Tg水平低;仅3/81(3.7%)患者出现Tg升高(TENIS)。61/81(75.3%)患者扫描呈阳性,64/81(79.0%)患者接受RAI治疗,其中3/81(3.7%)患者为TENIS患者。接受或未接受RAI消融或治疗的患者血清Tg水平差异有统计学意义(p < 0.05)。ROC曲线分析显示,接受和未接受治疗的患者Tg水平的临界值为2.9 ng/mL(敏感性:85.9%;特异性:94.1%;阳性预测值[PPV]为98.2%;阴性预测值[NPV]: 64.0%;AUC: 0.938)。结论:我们确定了需要或不需要高敏感性、特异性和ppv治疗的患者之间的临界值为2.9 ng/mL。
本文章由计算机程序翻译,如有差异,请以英文原文为准。

Establishing a Cutoff Serum Thyroglobulin Value for the Diagnosis and Management of Well-Differentiated Thyroid Cancer.

Establishing a Cutoff Serum Thyroglobulin Value for the Diagnosis and Management of Well-Differentiated Thyroid Cancer.

Establishing a Cutoff Serum Thyroglobulin Value for the Diagnosis and Management of Well-Differentiated Thyroid Cancer.

Establishing a Cutoff Serum Thyroglobulin Value for the Diagnosis and Management of Well-Differentiated Thyroid Cancer.

Objective  The aim of this study was to define a cutoff serum thyroglobulin (Tg) level associated with either residual or metastasis that may help decide postoperative radioactive iodine (RAI) scan and treatment in differentiated thyroid cancer (DTC) patients residing in low-income countries like Nepal. Methods  We prospectively studied a total of 81 patients (female-to-male ratio of 3.0:1; mean age: 37.3 ± 14.0 years, within age range of 14-88 years) who underwent total thyroidectomy with/without neck dissection and were referred for RAI whole-body scan (WBS) ± RAI ablation or adjuvant treatment in the department of Nuclear Medicine, Chitwan Medical College. We calculated the cutoff value of Tg using receiver operating characteristic (ROC) curve analysis. Results  Forty-six of 81 patients (56.7%) had remnants in the thyroid bed, 26/81 (32.1%) had regional lymph node metastasis, 9/81 (11.1%) had distant lymph node metastasis, 3/81 (3.7%) had lung metastases, and only 1/81 (1.2%) had bone metastases. RAI WBS was positive in 61/81 (75.3%) patients and negative in 20/81 (24.7%) patients. Seventeen of 81 (20.9%) patients had negative RAI scans with low serum Tg levels; only 3/81 (3.7%) patients had Tg elevated negative RAI scan (TENIS). Although scan was positive in 61/81 (75.3%) patients, 64/81 (79.0%) patients received treatment with RAI, of which 3/81 (3.7%) patients were TENIS patients. There was a significant difference in serum Tg levels between patients who received or did not receive RAI ablation or treatment ( p  < 0.05). On ROC curve analysis, the cutoff value of Tg levels between patients who received and did not receive treatment was 2.9 ng/mL (sensitivity: 85.9%; specificity: 94.1%; positive predictive value [PPV], 98.2%; negative predictive value [NPV]: 64.0%; AUC: 0.938). Conclusion  We identified a cutoff value of 2.9 ng/mL between patients who required or did not require treatment with high sensitivity, specificity, and PPVs.

求助全文
通过发布文献求助,成功后即可免费获取论文全文。 去求助
来源期刊
World Journal of Nuclear Medicine
World Journal of Nuclear Medicine RADIOLOGY, NUCLEAR MEDICINE & MEDICAL IMAGING-
自引率
16.70%
发文量
118
审稿时长
48 weeks
×
引用
GB/T 7714-2015
复制
MLA
复制
APA
复制
导出至
BibTeX EndNote RefMan NoteFirst NoteExpress
×
提示
您的信息不完整,为了账户安全,请先补充。
现在去补充
×
提示
您因"违规操作"
具体请查看互助需知
我知道了
×
提示
确定
请完成安全验证×
copy
已复制链接
快去分享给好友吧!
我知道了
右上角分享
点击右上角分享
0
联系我们:info@booksci.cn Book学术提供免费学术资源搜索服务,方便国内外学者检索中英文文献。致力于提供最便捷和优质的服务体验。 Copyright © 2023 布克学术 All rights reserved.
京ICP备2023020795号-1
ghs 京公网安备 11010802042870号
Book学术文献互助
Book学术文献互助群
群 号:604180095
Book学术官方微信