19世纪美国的财富与儿童死亡率:来自1850–1880年美国夫妇三个小组的证据

IF 1 3区 历史学 Q1 HISTORY
Social Science History Pub Date : 2023-01-01 Epub Date: 2023-06-23 DOI:10.1017/ssh.2023.12
J David Hacker, Martin Dribe, Jonas Helgertz
{"title":"19世纪美国的财富与儿童死亡率:来自1850–1880年美国夫妇三个小组的证据","authors":"J David Hacker, Martin Dribe, Jonas Helgertz","doi":"10.1017/ssh.2023.12","DOIUrl":null,"url":null,"abstract":"<p><p>With only a few exceptions, the historical study of individual-level correlates of child mortality in the United States has been limited to the period surrounding the turn of the twentieth century, when children ever born and children surviving data collected by the 1900 and 1910 censuses allow indirect estimation of child mortality. The recent release of linked census data, such as the IPUMS MLP datasets, allows a different type of indirect estimation over a longer period. By following couples across subsequent decennial censuses, it is possible to infer child mortality by measuring whether couples' own children in the first census were still present in the second census. We focus our analysis on children aged 1-3 in the first of two linked censuses, who were less likely to be undercounted by the census than infants, and unlikely to be living apart from their parents in the second census. We estimate child mortality over the intervening decade and use OLS regression to correlate that mortality to the residence location and socioeconomic characteristics of their parents' households. We limit our analysis to three panel datasets for married couples linked between the 1850-60, 1860-70, and 1870-80 censuses, when real estate and personal estate wealth data were collected. Our results indicate a significant negative relationship between wealth and child mortality across all regions of the United States and over the entire period examined.</p>","PeriodicalId":46528,"journal":{"name":"Social Science History","volume":"47 1","pages":"333-366"},"PeriodicalIF":1.0000,"publicationDate":"2023-01-01","publicationTypes":"Journal Article","fieldsOfStudy":null,"isOpenAccess":false,"openAccessPdf":"https://www.ncbi.nlm.nih.gov/pmc/articles/PMC11415258/pdf/","citationCount":"0","resultStr":"{\"title\":\"Wealth and Child Mortality in the Nineteenth-Century United States: Evidence from Three Panels of American Couples, 1850-1880.\",\"authors\":\"J David Hacker, Martin Dribe, Jonas Helgertz\",\"doi\":\"10.1017/ssh.2023.12\",\"DOIUrl\":null,\"url\":null,\"abstract\":\"<p><p>With only a few exceptions, the historical study of individual-level correlates of child mortality in the United States has been limited to the period surrounding the turn of the twentieth century, when children ever born and children surviving data collected by the 1900 and 1910 censuses allow indirect estimation of child mortality. The recent release of linked census data, such as the IPUMS MLP datasets, allows a different type of indirect estimation over a longer period. By following couples across subsequent decennial censuses, it is possible to infer child mortality by measuring whether couples' own children in the first census were still present in the second census. We focus our analysis on children aged 1-3 in the first of two linked censuses, who were less likely to be undercounted by the census than infants, and unlikely to be living apart from their parents in the second census. We estimate child mortality over the intervening decade and use OLS regression to correlate that mortality to the residence location and socioeconomic characteristics of their parents' households. We limit our analysis to three panel datasets for married couples linked between the 1850-60, 1860-70, and 1870-80 censuses, when real estate and personal estate wealth data were collected. Our results indicate a significant negative relationship between wealth and child mortality across all regions of the United States and over the entire period examined.</p>\",\"PeriodicalId\":46528,\"journal\":{\"name\":\"Social Science History\",\"volume\":\"47 1\",\"pages\":\"333-366\"},\"PeriodicalIF\":1.0000,\"publicationDate\":\"2023-01-01\",\"publicationTypes\":\"Journal Article\",\"fieldsOfStudy\":null,\"isOpenAccess\":false,\"openAccessPdf\":\"https://www.ncbi.nlm.nih.gov/pmc/articles/PMC11415258/pdf/\",\"citationCount\":\"0\",\"resultStr\":null,\"platform\":\"Semanticscholar\",\"paperid\":null,\"PeriodicalName\":\"Social Science History\",\"FirstCategoryId\":\"98\",\"ListUrlMain\":\"https://doi.org/10.1017/ssh.2023.12\",\"RegionNum\":3,\"RegionCategory\":\"历史学\",\"ArticlePicture\":[],\"TitleCN\":null,\"AbstractTextCN\":null,\"PMCID\":null,\"EPubDate\":\"2023/6/23 0:00:00\",\"PubModel\":\"Epub\",\"JCR\":\"Q1\",\"JCRName\":\"HISTORY\",\"Score\":null,\"Total\":0}","platform":"Semanticscholar","paperid":null,"PeriodicalName":"Social Science History","FirstCategoryId":"98","ListUrlMain":"https://doi.org/10.1017/ssh.2023.12","RegionNum":3,"RegionCategory":"历史学","ArticlePicture":[],"TitleCN":null,"AbstractTextCN":null,"PMCID":null,"EPubDate":"2023/6/23 0:00:00","PubModel":"Epub","JCR":"Q1","JCRName":"HISTORY","Score":null,"Total":0}
引用次数: 0

摘要

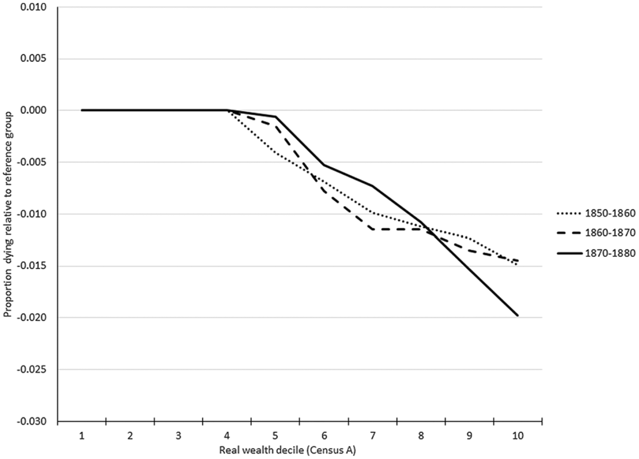
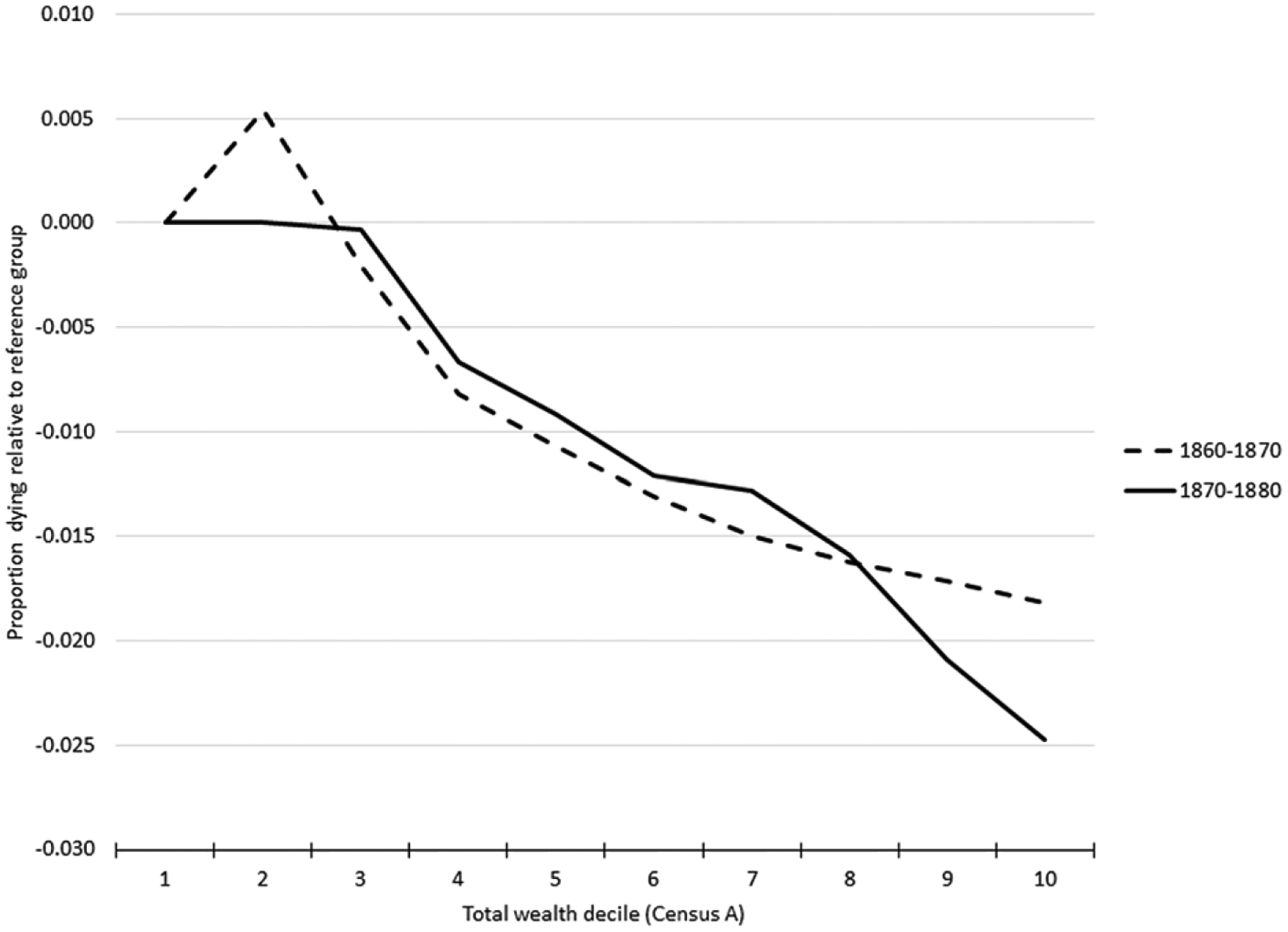
摘要除了少数例外,美国对儿童死亡率个体水平相关性的历史研究仅限于20世纪之交左右的时期,当时出生的儿童和1900年和1910年人口普查收集的儿童存活数据允许间接估计儿童死亡率。最近发布的关联人口普查数据,如IPUMS MLP数据集,允许在更长的时间内进行不同类型的间接估计。通过在随后的十年一次的人口普查中跟踪夫妇,可以通过测量第一次人口普查中夫妇自己的孩子在第二次人口普查中是否仍然存在来推断儿童死亡率。我们将分析重点放在两次关联人口普查中的第一次人口普查中的1-3岁儿童身上,他们在人口普查中被低估的可能性比婴儿小,在第二次人口普查中也不太可能与父母分开生活。我们估计了其间十年的儿童死亡率,并使用OLS回归将死亡率与他们父母家庭的居住地点和社会经济特征相关联。我们将我们的分析限制在1850–60、1860–70和1870–80人口普查之间的已婚夫妇的三个面板数据集,当时收集了房地产和个人房地产财富数据。我们的研究结果表明,在美国所有地区以及整个调查期间,财富与儿童死亡率之间存在显著的负相关关系。
本文章由计算机程序翻译,如有差异,请以英文原文为准。

Wealth and Child Mortality in the Nineteenth-Century United States: Evidence from Three Panels of American Couples, 1850-1880.

Wealth and Child Mortality in the Nineteenth-Century United States: Evidence from Three Panels of American Couples, 1850-1880.

Wealth and Child Mortality in the Nineteenth-Century United States: Evidence from Three Panels of American Couples, 1850-1880.

Wealth and Child Mortality in the Nineteenth-Century United States: Evidence from Three Panels of American Couples, 1850-1880.

With only a few exceptions, the historical study of individual-level correlates of child mortality in the United States has been limited to the period surrounding the turn of the twentieth century, when children ever born and children surviving data collected by the 1900 and 1910 censuses allow indirect estimation of child mortality. The recent release of linked census data, such as the IPUMS MLP datasets, allows a different type of indirect estimation over a longer period. By following couples across subsequent decennial censuses, it is possible to infer child mortality by measuring whether couples' own children in the first census were still present in the second census. We focus our analysis on children aged 1-3 in the first of two linked censuses, who were less likely to be undercounted by the census than infants, and unlikely to be living apart from their parents in the second census. We estimate child mortality over the intervening decade and use OLS regression to correlate that mortality to the residence location and socioeconomic characteristics of their parents' households. We limit our analysis to three panel datasets for married couples linked between the 1850-60, 1860-70, and 1870-80 censuses, when real estate and personal estate wealth data were collected. Our results indicate a significant negative relationship between wealth and child mortality across all regions of the United States and over the entire period examined.

求助全文
通过发布文献求助,成功后即可免费获取论文全文。 去求助
来源期刊
CiteScore
1.50
自引率
12.50%
发文量
31
期刊介绍: Social Science History seeks to advance the study of the past by publishing research that appeals to the journal"s interdisciplinary readership of historians, sociologists, economists, political scientists, anthropologists, and geographers. The journal invites articles that blend empirical research with theoretical work, undertake comparisons across time and space, or contribute to the development of quantitative and qualitative methods of analysis. Online access to the current issue and all back issues of Social Science History is available to print subscribers through a combination of HighWire Press, Project Muse, and JSTOR via a single user name or password that can be accessed from any location (regardless of institutional affiliation).
×
引用
GB/T 7714-2015
复制
MLA
复制
APA
复制
导出至
BibTeX EndNote RefMan NoteFirst NoteExpress
×
提示
您的信息不完整,为了账户安全,请先补充。
现在去补充
×
提示
您因"违规操作"
具体请查看互助需知
我知道了
×
提示
确定
请完成安全验证×
copy
已复制链接
快去分享给好友吧!
我知道了
右上角分享
点击右上角分享
0
联系我们:info@booksci.cn Book学术提供免费学术资源搜索服务,方便国内外学者检索中英文文献。致力于提供最便捷和优质的服务体验。 Copyright © 2023 布克学术 All rights reserved.
京ICP备2023020795号-1
ghs 京公网安备 11010802042870号
Book学术文献互助
Book学术文献互助群
群 号:604180095
Book学术官方微信