一项为期12周的基于消费者可穿戴活动跟踪器的干预措施减少了久坐不动的成年人的久坐行为,改善了他们的心脏代谢健康:一项随机对照试验

Wouter M A Franssen, Ine Nieste, Frank Vandereyt, Hans H C M Savelberg, Bert O Eijnde
{"title":"一项为期12周的基于消费者可穿戴活动跟踪器的干预措施减少了久坐不动的成年人的久坐行为,改善了他们的心脏代谢健康:一项随机对照试验","authors":"Wouter M A Franssen, Ine Nieste, Frank Vandereyt, Hans H C M Savelberg, Bert O Eijnde","doi":"10.1186/s44167-022-00007-z","DOIUrl":null,"url":null,"abstract":"<p><strong>Background: </strong>Reducing sedentary behaviour significantly improves cardiometabolic health and plays an important role in the prevention and management of cardiometabolic diseases. However, limited effective strategies have been proposed to combat the negative effects of sedentary lifestyles. Although consumer wearable activity trackers (CWATs) can effectively improve physical activity, they were only included as part of a multiple behaviour change technique. In addition, it is not known whether these devices are also effective to reduce sedentary behaviour. Therefore, we aim to investigate the efficacy of a single component CWAT-only intervention and the added value of a multicomponent (CWATs + motivational interviewing) behaviour change intervention to reduce sedentary behaviour and increase physical activity within sedentary adults.</p><p><strong>Methods: </strong>In a three-armed randomised controlled trial, 59 (male/female: 21/38) sedentary adults were randomly allocated to a control group (n = 20), a CWAT-only group (n = 20) or the CWAT + group (CWAT + motivational interviewing; n = 19) for 12 weeks. Physical activity and sedentary behaviour were assessed using the activPAL3™ accelerometer. In addition, anthropometrics, blood pressure, plasma lipids and insulin sensitivity using an oral glucose tolerance test were assessed at baseline and after the 12-week intervention period.</p><p><strong>Results: </strong>As compared with the control group, the CWAT + group significantly reduced time spent in sedentary behaviour (- 81 min/day, confidence interval [95%]: [- 151, - 12] min/day) and significantly increased step count (+ 3117 [827, 5406] steps/day), standing time (+ 62 [14, 110] min/day), light intensity PA (+ 28 [5, 50] min/day) and moderate-to-vigorous PA (+ 22 [4, 40] min/day). Body fat mass (- 1.67 [- 3.21, - 0.14] kg), percentage body fat (- 1.5 [- 2.9, - 0.1] %), triglyceride concentration (- 0.31 [- 0.62, - 0.01] mmol/l), the 2 h insulin concentration (- 181 [- 409, - 46] pmol/l), the quantitative insulin sensitivity check index (- 0.022 [- 0.043, - 0.008]) and total area under the curve of insulin (- 6464 [- 26837, - 2735] mmol/l min) were significantly reduced in the CWAT + group, compared to the control group. No significant differences within the CWAT-only group were found.</p><p><strong>Conclusion: </strong>A 12-week multicomponent CWAT-based intervention (CWAT + motivational interviewing) reduces sedentary time, increases physical activity levels and improves various cardiometabolic health variables in sedentary adults, whereas self-monitoring on itself (CWAT-only group) has no beneficial effects on sedentary time. Trial registration The present study was registered (2018) at clinicaltrials.gov as NCT03853018.</p>","PeriodicalId":73581,"journal":{"name":"Journal of activity, sedentary and sleep behaviors","volume":" ","pages":"8"},"PeriodicalIF":0.0000,"publicationDate":"2022-12-01","publicationTypes":"Journal Article","fieldsOfStudy":null,"isOpenAccess":false,"openAccessPdf":"https://www.ncbi.nlm.nih.gov/pmc/articles/PMC11960220/pdf/","citationCount":"0","resultStr":"{\"title\":\"A 12-week consumer wearable activity tracker-based intervention reduces sedentary behaviour and improves cardiometabolic health in free-living sedentary adults: a randomised controlled trial.\",\"authors\":\"Wouter M A Franssen, Ine Nieste, Frank Vandereyt, Hans H C M Savelberg, Bert O Eijnde\",\"doi\":\"10.1186/s44167-022-00007-z\",\"DOIUrl\":null,\"url\":null,\"abstract\":\"<p><strong>Background: </strong>Reducing sedentary behaviour significantly improves cardiometabolic health and plays an important role in the prevention and management of cardiometabolic diseases. However, limited effective strategies have been proposed to combat the negative effects of sedentary lifestyles. Although consumer wearable activity trackers (CWATs) can effectively improve physical activity, they were only included as part of a multiple behaviour change technique. In addition, it is not known whether these devices are also effective to reduce sedentary behaviour. Therefore, we aim to investigate the efficacy of a single component CWAT-only intervention and the added value of a multicomponent (CWATs + motivational interviewing) behaviour change intervention to reduce sedentary behaviour and increase physical activity within sedentary adults.</p><p><strong>Methods: </strong>In a three-armed randomised controlled trial, 59 (male/female: 21/38) sedentary adults were randomly allocated to a control group (n = 20), a CWAT-only group (n = 20) or the CWAT + group (CWAT + motivational interviewing; n = 19) for 12 weeks. Physical activity and sedentary behaviour were assessed using the activPAL3™ accelerometer. In addition, anthropometrics, blood pressure, plasma lipids and insulin sensitivity using an oral glucose tolerance test were assessed at baseline and after the 12-week intervention period.</p><p><strong>Results: </strong>As compared with the control group, the CWAT + group significantly reduced time spent in sedentary behaviour (- 81 min/day, confidence interval [95%]: [- 151, - 12] min/day) and significantly increased step count (+ 3117 [827, 5406] steps/day), standing time (+ 62 [14, 110] min/day), light intensity PA (+ 28 [5, 50] min/day) and moderate-to-vigorous PA (+ 22 [4, 40] min/day). Body fat mass (- 1.67 [- 3.21, - 0.14] kg), percentage body fat (- 1.5 [- 2.9, - 0.1] %), triglyceride concentration (- 0.31 [- 0.62, - 0.01] mmol/l), the 2 h insulin concentration (- 181 [- 409, - 46] pmol/l), the quantitative insulin sensitivity check index (- 0.022 [- 0.043, - 0.008]) and total area under the curve of insulin (- 6464 [- 26837, - 2735] mmol/l min) were significantly reduced in the CWAT + group, compared to the control group. No significant differences within the CWAT-only group were found.</p><p><strong>Conclusion: </strong>A 12-week multicomponent CWAT-based intervention (CWAT + motivational interviewing) reduces sedentary time, increases physical activity levels and improves various cardiometabolic health variables in sedentary adults, whereas self-monitoring on itself (CWAT-only group) has no beneficial effects on sedentary time. Trial registration The present study was registered (2018) at clinicaltrials.gov as NCT03853018.</p>\",\"PeriodicalId\":73581,\"journal\":{\"name\":\"Journal of activity, sedentary and sleep behaviors\",\"volume\":\" \",\"pages\":\"8\"},\"PeriodicalIF\":0.0000,\"publicationDate\":\"2022-12-01\",\"publicationTypes\":\"Journal Article\",\"fieldsOfStudy\":null,\"isOpenAccess\":false,\"openAccessPdf\":\"https://www.ncbi.nlm.nih.gov/pmc/articles/PMC11960220/pdf/\",\"citationCount\":\"0\",\"resultStr\":null,\"platform\":\"Semanticscholar\",\"paperid\":null,\"PeriodicalName\":\"Journal of activity, sedentary and sleep behaviors\",\"FirstCategoryId\":\"1085\",\"ListUrlMain\":\"https://doi.org/10.1186/s44167-022-00007-z\",\"RegionNum\":0,\"RegionCategory\":null,\"ArticlePicture\":[],\"TitleCN\":null,\"AbstractTextCN\":null,\"PMCID\":null,\"EPubDate\":\"\",\"PubModel\":\"\",\"JCR\":\"\",\"JCRName\":\"\",\"Score\":null,\"Total\":0}","platform":"Semanticscholar","paperid":null,"PeriodicalName":"Journal of activity, sedentary and sleep behaviors","FirstCategoryId":"1085","ListUrlMain":"https://doi.org/10.1186/s44167-022-00007-z","RegionNum":0,"RegionCategory":null,"ArticlePicture":[],"TitleCN":null,"AbstractTextCN":null,"PMCID":null,"EPubDate":"","PubModel":"","JCR":"","JCRName":"","Score":null,"Total":0}
引用次数: 0

摘要

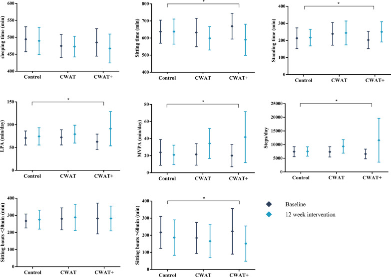
背景:减少久坐行为可显著改善心脏代谢健康,并在心脏代谢疾病的预防和管理中发挥重要作用。然而,针对久坐生活方式的负面影响,目前提出的有效策略有限。尽管消费者可穿戴活动追踪器(CWATs)可以有效地改善身体活动,但它们只是作为多种行为改变技术的一部分。此外,目前尚不清楚这些设备是否也能有效减少久坐行为。因此,我们的目的是研究单组分CWATs干预的有效性和多组分(CWATs +动机访谈)行为改变干预的附加价值,以减少久坐不动的成年人的久坐行为和增加身体活动。方法:在一项三臂随机对照试验中,59名久坐不动的成年人(男/女:21/38)被随机分配到对照组(n = 20)、仅使用CWAT组(n = 20)或CWAT +组(CWAT +动机访谈;N = 19),持续12周。使用activPAL3™加速度计评估身体活动和久坐行为。此外,在基线和12周干预期后,使用口服葡萄糖耐量试验评估人体测量、血压、血脂和胰岛素敏感性。结果:与对照组相比,CWAT +组显著减少了久坐行为的时间(- 81分钟/天,置信区间[95%]:[- 151,- 12]分钟/天),显著增加了步数(+ 3117[827,5406]步/天)、站立时间(+ 62[14,110]分钟/天)、轻强度PA(+ 28[5,50]分钟/天)和中高强度PA(+ 22[4,40]分钟/天)。身体脂肪量(- 1.67 - 3.21,- 0.14公斤),体脂百分比(- 1.5(- 2.9,- 0.1)%),甘油三酯浓度(- 0.31(- 0.62,- 0.01)更易/ l), 2 h胰岛素浓度(- 181 [- 409 - 46]pmol / l),定量胰岛素敏感性指数检查(- 0.022(- 0.043,- 0.008))和胰岛素曲线下面积(- 6464(- 26837,- 2735)更易与l / min) CWAT +组显著降低,与对照组相比。在cwat组中没有发现显著差异。结论:为期12周的基于cat的多组分干预(CWAT +动机访谈)减少久坐成年人的久坐时间,增加身体活动水平,改善各种心脏代谢健康变量,而自我监测(仅cat组)对久坐时间没有有益影响。本研究于2018年在clinicaltrials.gov注册,注册号为NCT03853018。
本文章由计算机程序翻译,如有差异,请以英文原文为准。

A 12-week consumer wearable activity tracker-based intervention reduces sedentary behaviour and improves cardiometabolic health in free-living sedentary adults: a randomised controlled trial.

A 12-week consumer wearable activity tracker-based intervention reduces sedentary behaviour and improves cardiometabolic health in free-living sedentary adults: a randomised controlled trial.

A 12-week consumer wearable activity tracker-based intervention reduces sedentary behaviour and improves cardiometabolic health in free-living sedentary adults: a randomised controlled trial.

A 12-week consumer wearable activity tracker-based intervention reduces sedentary behaviour and improves cardiometabolic health in free-living sedentary adults: a randomised controlled trial.

Background: Reducing sedentary behaviour significantly improves cardiometabolic health and plays an important role in the prevention and management of cardiometabolic diseases. However, limited effective strategies have been proposed to combat the negative effects of sedentary lifestyles. Although consumer wearable activity trackers (CWATs) can effectively improve physical activity, they were only included as part of a multiple behaviour change technique. In addition, it is not known whether these devices are also effective to reduce sedentary behaviour. Therefore, we aim to investigate the efficacy of a single component CWAT-only intervention and the added value of a multicomponent (CWATs + motivational interviewing) behaviour change intervention to reduce sedentary behaviour and increase physical activity within sedentary adults.

Methods: In a three-armed randomised controlled trial, 59 (male/female: 21/38) sedentary adults were randomly allocated to a control group (n = 20), a CWAT-only group (n = 20) or the CWAT + group (CWAT + motivational interviewing; n = 19) for 12 weeks. Physical activity and sedentary behaviour were assessed using the activPAL3™ accelerometer. In addition, anthropometrics, blood pressure, plasma lipids and insulin sensitivity using an oral glucose tolerance test were assessed at baseline and after the 12-week intervention period.

Results: As compared with the control group, the CWAT + group significantly reduced time spent in sedentary behaviour (- 81 min/day, confidence interval [95%]: [- 151, - 12] min/day) and significantly increased step count (+ 3117 [827, 5406] steps/day), standing time (+ 62 [14, 110] min/day), light intensity PA (+ 28 [5, 50] min/day) and moderate-to-vigorous PA (+ 22 [4, 40] min/day). Body fat mass (- 1.67 [- 3.21, - 0.14] kg), percentage body fat (- 1.5 [- 2.9, - 0.1] %), triglyceride concentration (- 0.31 [- 0.62, - 0.01] mmol/l), the 2 h insulin concentration (- 181 [- 409, - 46] pmol/l), the quantitative insulin sensitivity check index (- 0.022 [- 0.043, - 0.008]) and total area under the curve of insulin (- 6464 [- 26837, - 2735] mmol/l min) were significantly reduced in the CWAT + group, compared to the control group. No significant differences within the CWAT-only group were found.

Conclusion: A 12-week multicomponent CWAT-based intervention (CWAT + motivational interviewing) reduces sedentary time, increases physical activity levels and improves various cardiometabolic health variables in sedentary adults, whereas self-monitoring on itself (CWAT-only group) has no beneficial effects on sedentary time. Trial registration The present study was registered (2018) at clinicaltrials.gov as NCT03853018.

求助全文
通过发布文献求助,成功后即可免费获取论文全文。 去求助
来源期刊
自引率
0.00%
发文量
0
×
引用
GB/T 7714-2015
复制
MLA
复制
APA
复制
导出至
BibTeX EndNote RefMan NoteFirst NoteExpress
×
提示
您的信息不完整,为了账户安全,请先补充。
现在去补充
×
提示
您因"违规操作"
具体请查看互助需知
我知道了
×
提示
确定
请完成安全验证×
copy
已复制链接
快去分享给好友吧!
我知道了
右上角分享
点击右上角分享
0
联系我们:info@booksci.cn Book学术提供免费学术资源搜索服务,方便国内外学者检索中英文文献。致力于提供最便捷和优质的服务体验。 Copyright © 2023 布克学术 All rights reserved.
京ICP备2023020795号-1
ghs 京公网安备 11010802042870号
Book学术文献互助
Book学术文献互助群
群 号:604180095
Book学术官方微信