多民族肥胖表型研究中益生菌补充剂和酸奶的习惯性摄入与肠道微生物组特征的关系

Gut microbiome (Cambridge, England) Pub Date : 2023-01-01 Epub Date: 2023-07-13 DOI:10.1017/gmb.2023.10
Weiwen Chai, Gertraud Maskarinec, Unhee Lim, Carol J Boushey, Lynne R Wilkens, V Wendy Setiawan, Loïc Le Marchand, Timothy W Randolph, Isaac C Jenkins, Johanna W Lampe, Meredith A J Hullar
{"title":"多民族肥胖表型研究中益生菌补充剂和酸奶的习惯性摄入与肠道微生物组特征的关系","authors":"Weiwen Chai, Gertraud Maskarinec, Unhee Lim, Carol J Boushey, Lynne R Wilkens, V Wendy Setiawan, Loïc Le Marchand, Timothy W Randolph, Isaac C Jenkins, Johanna W Lampe, Meredith A J Hullar","doi":"10.1017/gmb.2023.10","DOIUrl":null,"url":null,"abstract":"<p><p>Consumption of probiotics and/or yogurt could be a solution for restoring the balance of the gut microbiota. This study examined associations of regular intake of probiotic supplements or yogurt with the gut microbiota among a diverse population of older adults (N=1,861; 60-72 years). Fecal microbial composition was obtained from 16S rRNA gene sequencing (V1-V3 region). General Linear Models were used to estimate the associations of probiotic supplement or yogurt intake with microbiome measures adjusting for covariates. Compared to non-yogurt consumers (N=1,023), regular yogurt consumers (≥once/week, N=818) had greater <i>Streptococcus</i> (β=0.29, <i>P</i>=0.0003) and lower <i>Odoribacter</i> (β=-0.33, <i>P</i><0.0001) abundance. The directions of the above associations were consistent across the five ethnic groups but stronger among Japanese Americans (<i>Streptococcus:</i> β=0.56, <i>P</i>=0.0009; <i>Odoribacter:</i> β=-0.62, <i>P</i>=0.0005). Regular intake of probiotic supplements (N=175) was not associated with microbial characteristics (i.e., alpha diversity and the abundance of 152 bacteria genera). <i>Streptococcus</i> is one of the predominant bacteria genera in yogurt products, which may explain the positive association between yogurt consumption and <i>Streptococcus</i> abundance. Our analyses suggest that changes in <i>Odoribacter</i> were independent of changes in <i>Streptococcus</i> abundance. Future studies may investigate whether these microbial genera and their sub-level species mediate potential pathways between yogurt consumption and health.</p>","PeriodicalId":73187,"journal":{"name":"Gut microbiome (Cambridge, England)","volume":" ","pages":""},"PeriodicalIF":0.0000,"publicationDate":"2023-01-01","publicationTypes":"Journal Article","fieldsOfStudy":null,"isOpenAccess":false,"openAccessPdf":"https://www.ncbi.nlm.nih.gov/pmc/articles/PMC10927272/pdf/","citationCount":"0","resultStr":"{\"title\":\"Association of Habitual Intake of Probiotic Supplements and Yogurt with Characteristics of the Gut Microbiome in the Multiethnic Cohort Adiposity Phenotype Study.\",\"authors\":\"Weiwen Chai, Gertraud Maskarinec, Unhee Lim, Carol J Boushey, Lynne R Wilkens, V Wendy Setiawan, Loïc Le Marchand, Timothy W Randolph, Isaac C Jenkins, Johanna W Lampe, Meredith A J Hullar\",\"doi\":\"10.1017/gmb.2023.10\",\"DOIUrl\":null,\"url\":null,\"abstract\":\"<p><p>Consumption of probiotics and/or yogurt could be a solution for restoring the balance of the gut microbiota. This study examined associations of regular intake of probiotic supplements or yogurt with the gut microbiota among a diverse population of older adults (N=1,861; 60-72 years). Fecal microbial composition was obtained from 16S rRNA gene sequencing (V1-V3 region). General Linear Models were used to estimate the associations of probiotic supplement or yogurt intake with microbiome measures adjusting for covariates. Compared to non-yogurt consumers (N=1,023), regular yogurt consumers (≥once/week, N=818) had greater <i>Streptococcus</i> (β=0.29, <i>P</i>=0.0003) and lower <i>Odoribacter</i> (β=-0.33, <i>P</i><0.0001) abundance. The directions of the above associations were consistent across the five ethnic groups but stronger among Japanese Americans (<i>Streptococcus:</i> β=0.56, <i>P</i>=0.0009; <i>Odoribacter:</i> β=-0.62, <i>P</i>=0.0005). Regular intake of probiotic supplements (N=175) was not associated with microbial characteristics (i.e., alpha diversity and the abundance of 152 bacteria genera). <i>Streptococcus</i> is one of the predominant bacteria genera in yogurt products, which may explain the positive association between yogurt consumption and <i>Streptococcus</i> abundance. Our analyses suggest that changes in <i>Odoribacter</i> were independent of changes in <i>Streptococcus</i> abundance. Future studies may investigate whether these microbial genera and their sub-level species mediate potential pathways between yogurt consumption and health.</p>\",\"PeriodicalId\":73187,\"journal\":{\"name\":\"Gut microbiome (Cambridge, England)\",\"volume\":\" \",\"pages\":\"\"},\"PeriodicalIF\":0.0000,\"publicationDate\":\"2023-01-01\",\"publicationTypes\":\"Journal Article\",\"fieldsOfStudy\":null,\"isOpenAccess\":false,\"openAccessPdf\":\"https://www.ncbi.nlm.nih.gov/pmc/articles/PMC10927272/pdf/\",\"citationCount\":\"0\",\"resultStr\":null,\"platform\":\"Semanticscholar\",\"paperid\":null,\"PeriodicalName\":\"Gut microbiome (Cambridge, England)\",\"FirstCategoryId\":\"1085\",\"ListUrlMain\":\"https://doi.org/10.1017/gmb.2023.10\",\"RegionNum\":0,\"RegionCategory\":null,\"ArticlePicture\":[],\"TitleCN\":null,\"AbstractTextCN\":null,\"PMCID\":null,\"EPubDate\":\"2023/7/13 0:00:00\",\"PubModel\":\"Epub\",\"JCR\":\"\",\"JCRName\":\"\",\"Score\":null,\"Total\":0}","platform":"Semanticscholar","paperid":null,"PeriodicalName":"Gut microbiome (Cambridge, England)","FirstCategoryId":"1085","ListUrlMain":"https://doi.org/10.1017/gmb.2023.10","RegionNum":0,"RegionCategory":null,"ArticlePicture":[],"TitleCN":null,"AbstractTextCN":null,"PMCID":null,"EPubDate":"2023/7/13 0:00:00","PubModel":"Epub","JCR":"","JCRName":"","Score":null,"Total":0}
引用次数: 0

摘要

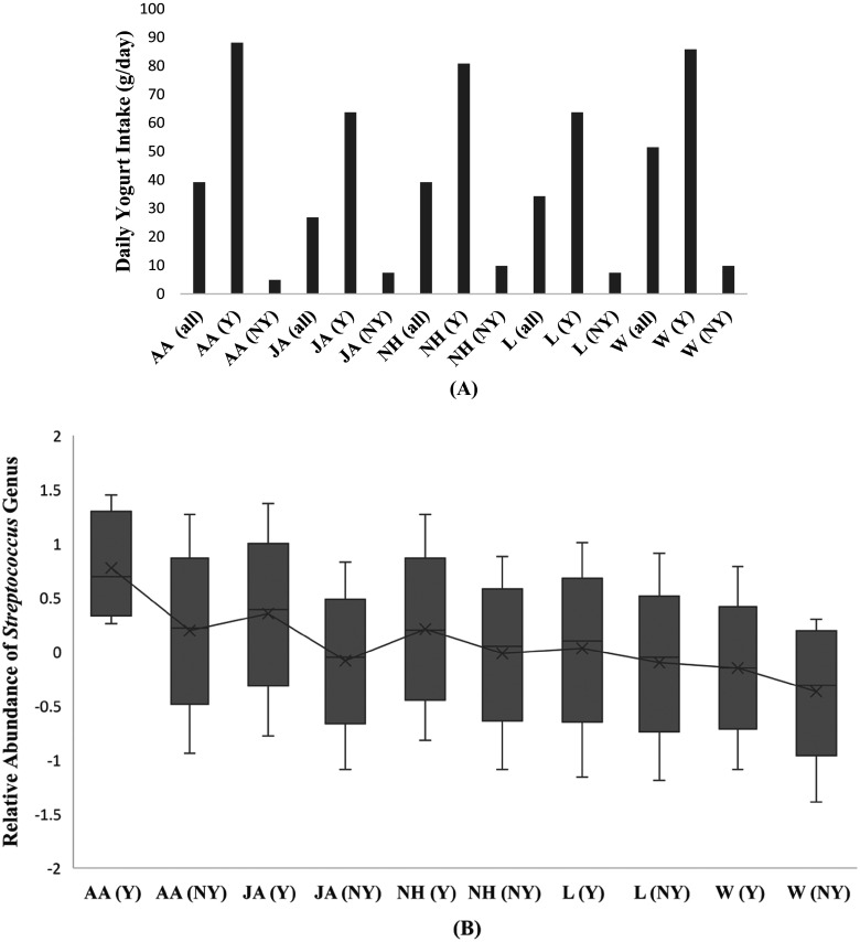
摘要食用益生菌和/或酸奶可能是恢复肠道微生物群平衡的解决方案。这项研究调查了不同年龄段老年人(N=1861;60-72岁)定期摄入益生菌补充剂或酸奶与肠道微生物群的关系。粪便微生物组成通过16S rRNA基因测序获得(V1–V3区域)。使用一般线性模型来估计益生菌补充剂或酸奶摄入量与调整协变量的微生物组测量的相关性。与非酸奶消费者(N=1023)相比,普通酸奶消费者(≥1次/周,N=818)的链球菌丰度较高(β=0.29,P=0.0003),气味杆菌丰度较低(β=-0.33,P<0.0001)。上述关联的方向在五个种族中是一致的,但在日裔美国人中更强(链球菌:β=0.56,P=0.0009;气味杆菌:β=-0.62,P=0.0005)。经常摄入益生菌补充剂(N=175)与微生物特征(即α多样性和152个细菌属的丰度)无关。链球菌是酸奶产品中的主要细菌属之一,这可以解释酸奶消费量与链球菌丰度之间的正相关关系。我们的分析表明,气味杆菌的变化与链球菌丰度的变化无关。未来的研究可能会调查这些微生物属及其次级物种是否介导酸奶消费和健康之间的潜在途径。
本文章由计算机程序翻译,如有差异,请以英文原文为准。

Association of Habitual Intake of Probiotic Supplements and Yogurt with Characteristics of the Gut Microbiome in the Multiethnic Cohort Adiposity Phenotype Study.

Association of Habitual Intake of Probiotic Supplements and Yogurt with Characteristics of the Gut Microbiome in the Multiethnic Cohort Adiposity Phenotype Study.

Association of Habitual Intake of Probiotic Supplements and Yogurt with Characteristics of the Gut Microbiome in the Multiethnic Cohort Adiposity Phenotype Study.

Association of Habitual Intake of Probiotic Supplements and Yogurt with Characteristics of the Gut Microbiome in the Multiethnic Cohort Adiposity Phenotype Study.

Consumption of probiotics and/or yogurt could be a solution for restoring the balance of the gut microbiota. This study examined associations of regular intake of probiotic supplements or yogurt with the gut microbiota among a diverse population of older adults (N=1,861; 60-72 years). Fecal microbial composition was obtained from 16S rRNA gene sequencing (V1-V3 region). General Linear Models were used to estimate the associations of probiotic supplement or yogurt intake with microbiome measures adjusting for covariates. Compared to non-yogurt consumers (N=1,023), regular yogurt consumers (≥once/week, N=818) had greater Streptococcus (β=0.29, P=0.0003) and lower Odoribacter (β=-0.33, P<0.0001) abundance. The directions of the above associations were consistent across the five ethnic groups but stronger among Japanese Americans (Streptococcus: β=0.56, P=0.0009; Odoribacter: β=-0.62, P=0.0005). Regular intake of probiotic supplements (N=175) was not associated with microbial characteristics (i.e., alpha diversity and the abundance of 152 bacteria genera). Streptococcus is one of the predominant bacteria genera in yogurt products, which may explain the positive association between yogurt consumption and Streptococcus abundance. Our analyses suggest that changes in Odoribacter were independent of changes in Streptococcus abundance. Future studies may investigate whether these microbial genera and their sub-level species mediate potential pathways between yogurt consumption and health.

求助全文
通过发布文献求助,成功后即可免费获取论文全文。 去求助
来源期刊
自引率
0.00%
发文量
0
×
引用
GB/T 7714-2015
复制
MLA
复制
APA
复制
导出至
BibTeX EndNote RefMan NoteFirst NoteExpress
×
提示
您的信息不完整,为了账户安全,请先补充。
现在去补充
×
提示
您因"违规操作"
具体请查看互助需知
我知道了
×
提示
确定
请完成安全验证×
copy
已复制链接
快去分享给好友吧!
我知道了
右上角分享
点击右上角分享
0
联系我们:info@booksci.cn Book学术提供免费学术资源搜索服务,方便国内外学者检索中英文文献。致力于提供最便捷和优质的服务体验。 Copyright © 2023 布克学术 All rights reserved.
京ICP备2023020795号-1
ghs 京公网安备 11010802042870号
Book学术文献互助
Book学术文献互助群
群 号:604180095
Book学术官方微信