原位束还原Pu(IV)和Bk(IV)与羟基吡啶酮螯合物形成三价超铀配合物的途径

IF 3 3区 物理与天体物理 Q2 INSTRUMENTS & INSTRUMENTATION
Journal of Synchrotron Radiation Pub Date : 2022-03-01 Epub Date: 2022-02-25 DOI:10.1107/S1600577522000200
Korey P Carter, Jennifer N Wacker, Kurt F Smith, Gauthier J P Deblonde, Liane M Moreau, Julian A Rees, Corwin H Booth, Rebecca J Abergel
{"title":"原位束还原Pu(IV)和Bk(IV)与羟基吡啶酮螯合物形成三价超铀配合物的途径","authors":"Korey P Carter, Jennifer N Wacker, Kurt F Smith, Gauthier J P Deblonde, Liane M Moreau, Julian A Rees, Corwin H Booth, Rebecca J Abergel","doi":"10.1107/S1600577522000200","DOIUrl":null,"url":null,"abstract":"<p><p>The solution-state interactions of plutonium and berkelium with the octadentate chelator 3,4,3-LI(1,2-HOPO) (343-HOPO) were investigated and characterized by X-ray absorption spectroscopy, which revealed in situ reductive decomposition of the tetravalent species of both actinide metals to yield Pu(III) and Bk(III) coordination complexes. X-ray absorption near-edge structure (XANES) measurements were the first indication of in situ synchrotron redox chemistry as the Pu threshold and white-line position energies for Pu-343-HOPO were in good agreement with known diagnostic Pu(III) species, whereas Bk-343-HOPO results were found to mirror the XANES behavior of Bk(III)-DTPA. Extended X-ray absorption fine structure results revealed An-O<sub>HOPO</sub> bond distances of 2.498 (5) and 2.415 (2) Å for Pu and Bk, respectively, which match well with bond distances obtained for trivalent actinides and 343-HOPO via density functional theory calculations. Pu(III)- and Bk(III)-343-HOPO data also provide initial insight into actinide periodicity as they can be compared with previous results with Am(III)-, Cm(III)-, Cf(III)-, and Es(III)-343-HOPO, which indicate there is likely an increase in 5f covalency and heterogeneity across the actinide series.</p>","PeriodicalId":17114,"journal":{"name":"Journal of Synchrotron Radiation","volume":"29 1","pages":"315-322"},"PeriodicalIF":3.0000,"publicationDate":"2022-03-01","publicationTypes":"Journal Article","fieldsOfStudy":null,"isOpenAccess":false,"openAccessPdf":"https://www.ncbi.nlm.nih.gov/pmc/articles/PMC8900832/pdf/","citationCount":"0","resultStr":"{\"title\":\"In situ beam reduction of Pu(IV) and Bk(IV) as a route to trivalent transuranic coordination complexes with hydroxypyridinone chelators.\",\"authors\":\"Korey P Carter, Jennifer N Wacker, Kurt F Smith, Gauthier J P Deblonde, Liane M Moreau, Julian A Rees, Corwin H Booth, Rebecca J Abergel\",\"doi\":\"10.1107/S1600577522000200\",\"DOIUrl\":null,\"url\":null,\"abstract\":\"<p><p>The solution-state interactions of plutonium and berkelium with the octadentate chelator 3,4,3-LI(1,2-HOPO) (343-HOPO) were investigated and characterized by X-ray absorption spectroscopy, which revealed in situ reductive decomposition of the tetravalent species of both actinide metals to yield Pu(III) and Bk(III) coordination complexes. X-ray absorption near-edge structure (XANES) measurements were the first indication of in situ synchrotron redox chemistry as the Pu threshold and white-line position energies for Pu-343-HOPO were in good agreement with known diagnostic Pu(III) species, whereas Bk-343-HOPO results were found to mirror the XANES behavior of Bk(III)-DTPA. Extended X-ray absorption fine structure results revealed An-O<sub>HOPO</sub> bond distances of 2.498 (5) and 2.415 (2) Å for Pu and Bk, respectively, which match well with bond distances obtained for trivalent actinides and 343-HOPO via density functional theory calculations. Pu(III)- and Bk(III)-343-HOPO data also provide initial insight into actinide periodicity as they can be compared with previous results with Am(III)-, Cm(III)-, Cf(III)-, and Es(III)-343-HOPO, which indicate there is likely an increase in 5f covalency and heterogeneity across the actinide series.</p>\",\"PeriodicalId\":17114,\"journal\":{\"name\":\"Journal of Synchrotron Radiation\",\"volume\":\"29 1\",\"pages\":\"315-322\"},\"PeriodicalIF\":3.0000,\"publicationDate\":\"2022-03-01\",\"publicationTypes\":\"Journal Article\",\"fieldsOfStudy\":null,\"isOpenAccess\":false,\"openAccessPdf\":\"https://www.ncbi.nlm.nih.gov/pmc/articles/PMC8900832/pdf/\",\"citationCount\":\"0\",\"resultStr\":null,\"platform\":\"Semanticscholar\",\"paperid\":null,\"PeriodicalName\":\"Journal of Synchrotron Radiation\",\"FirstCategoryId\":\"101\",\"ListUrlMain\":\"https://doi.org/10.1107/S1600577522000200\",\"RegionNum\":3,\"RegionCategory\":\"物理与天体物理\",\"ArticlePicture\":[],\"TitleCN\":null,\"AbstractTextCN\":null,\"PMCID\":null,\"EPubDate\":\"2022/2/25 0:00:00\",\"PubModel\":\"Epub\",\"JCR\":\"Q2\",\"JCRName\":\"INSTRUMENTS & INSTRUMENTATION\",\"Score\":null,\"Total\":0}","platform":"Semanticscholar","paperid":null,"PeriodicalName":"Journal of Synchrotron Radiation","FirstCategoryId":"101","ListUrlMain":"https://doi.org/10.1107/S1600577522000200","RegionNum":3,"RegionCategory":"物理与天体物理","ArticlePicture":[],"TitleCN":null,"AbstractTextCN":null,"PMCID":null,"EPubDate":"2022/2/25 0:00:00","PubModel":"Epub","JCR":"Q2","JCRName":"INSTRUMENTS & INSTRUMENTATION","Score":null,"Total":0}
引用次数: 0

摘要

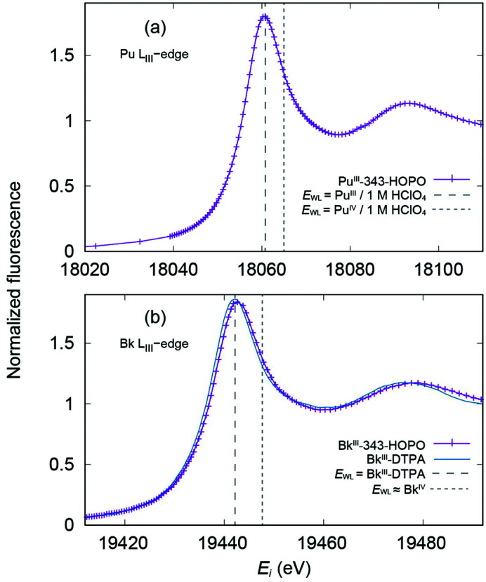
X射线吸收光谱用于探测缓冲溶液中八齿羟基吡啶酮螯合剂与两种微量超铀元素钚和铍之间的相互作用。尽管这种配体优先用于螯合驱动的锕系元素四价氧化态的稳定,但原位还原分解产生了钚(III)和铍(III)配位络合物。
本文章由计算机程序翻译,如有差异,请以英文原文为准。

In situ beam reduction of Pu(IV) and Bk(IV) as a route to trivalent transuranic coordination complexes with hydroxypyridinone chelators.

In situ beam reduction of Pu(IV) and Bk(IV) as a route to trivalent transuranic coordination complexes with hydroxypyridinone chelators.

In situ beam reduction of Pu(IV) and Bk(IV) as a route to trivalent transuranic coordination complexes with hydroxypyridinone chelators.

In situ beam reduction of Pu(IV) and Bk(IV) as a route to trivalent transuranic coordination complexes with hydroxypyridinone chelators.

The solution-state interactions of plutonium and berkelium with the octadentate chelator 3,4,3-LI(1,2-HOPO) (343-HOPO) were investigated and characterized by X-ray absorption spectroscopy, which revealed in situ reductive decomposition of the tetravalent species of both actinide metals to yield Pu(III) and Bk(III) coordination complexes. X-ray absorption near-edge structure (XANES) measurements were the first indication of in situ synchrotron redox chemistry as the Pu threshold and white-line position energies for Pu-343-HOPO were in good agreement with known diagnostic Pu(III) species, whereas Bk-343-HOPO results were found to mirror the XANES behavior of Bk(III)-DTPA. Extended X-ray absorption fine structure results revealed An-OHOPO bond distances of 2.498 (5) and 2.415 (2) Å for Pu and Bk, respectively, which match well with bond distances obtained for trivalent actinides and 343-HOPO via density functional theory calculations. Pu(III)- and Bk(III)-343-HOPO data also provide initial insight into actinide periodicity as they can be compared with previous results with Am(III)-, Cm(III)-, Cf(III)-, and Es(III)-343-HOPO, which indicate there is likely an increase in 5f covalency and heterogeneity across the actinide series.

求助全文
通过发布文献求助,成功后即可免费获取论文全文。 去求助
来源期刊
CiteScore
5.10
自引率
12.00%
发文量
289
审稿时长
4-8 weeks
期刊介绍: Synchrotron radiation research is rapidly expanding with many new sources of radiation being created globally. Synchrotron radiation plays a leading role in pure science and in emerging technologies. The Journal of Synchrotron Radiation provides comprehensive coverage of the entire field of synchrotron radiation and free-electron laser research including instrumentation, theory, computing and scientific applications in areas such as biology, nanoscience and materials science. Rapid publication ensures an up-to-date information resource for scientists and engineers in the field.
×
引用
GB/T 7714-2015
复制
MLA
复制
APA
复制
导出至
BibTeX EndNote RefMan NoteFirst NoteExpress
×
提示
您的信息不完整,为了账户安全,请先补充。
现在去补充
×
提示
您因"违规操作"
具体请查看互助需知
我知道了
×
提示
确定
请完成安全验证×
copy
已复制链接
快去分享给好友吧!
我知道了
右上角分享
点击右上角分享
0
联系我们:info@booksci.cn Book学术提供免费学术资源搜索服务,方便国内外学者检索中英文文献。致力于提供最便捷和优质的服务体验。 Copyright © 2023 布克学术 All rights reserved.
京ICP备2023020795号-1
ghs 京公网安备 11010802042870号
Book学术文献互助
Book学术文献互助群
群 号:604180095
Book学术官方微信