使用Geant4‐DNA模拟DNA损伤:“分子DNA”示例应用概述

IF 2.1 Q4 Medicine
Precision Radiation Oncology Pub Date : 2023-02-13 eCollection Date: 2023-03-01 DOI:10.1002/pro6.1186
Konstantinos P Chatzipapas, Ngoc Hoang Tran, Milos Dordevic, Sara Zivkovic, Sara Zein, Wook-Geun Shin, Dousatsu Sakata, Nathanael Lampe, Jeremy M C Brown, Aleksandra Ristic-Fira, Ivan Petrovic, Ioanna Kyriakou, Dimitris Emfietzoglou, Susanna Guatelli, Sébastien Incerti
{"title":"使用Geant4‐DNA模拟DNA损伤:“分子DNA”示例应用概述","authors":"Konstantinos P Chatzipapas, Ngoc Hoang Tran, Milos Dordevic, Sara Zivkovic, Sara Zein, Wook-Geun Shin, Dousatsu Sakata, Nathanael Lampe, Jeremy M C Brown, Aleksandra Ristic-Fira, Ivan Petrovic, Ioanna Kyriakou, Dimitris Emfietzoglou, Susanna Guatelli, Sébastien Incerti","doi":"10.1002/pro6.1186","DOIUrl":null,"url":null,"abstract":"<p><strong>Purpose: </strong>The scientific community shows great interest in the study of DNA damage induction, DNA damage repair, and the biological effects on cells and cellular systems after exposure to ionizing radiation. Several <i>in silico</i> methods have been proposed so far to study these mechanisms using Monte Carlo simulations. This study outlines a Geant4-DNA example application, named \"molecularDNA\", publicly released in the 11.1 version of Geant4 (December 2022).</p><p><strong>Methods: </strong>It was developed for novice Geant4 users and requires only a basic understanding of scripting languages to get started. The example includes two different DNA-scale geometries of biological targets, namely \"cylinders\" and \"human cell\". This public version is based on a previous prototype and includes new features, such as: the adoption of a new approach for the modeling of the chemical stage, the use of the standard DNA damage format to describe radiation-induced DNA damage, and upgraded computational tools to estimate DNA damage response.</p><p><strong>Results: </strong>Simulation data in terms of single-strand break and double-strand break yields were produced using each of the available geometries. The results were compared with the literature, to validate the example, producing less than 5% difference in all cases. Conclusion: \"molecularDNA\" is a prototype tool that can be applied in a wide variety of radiobiology studies, providing the scientific community with an open-access base for DNA damage quantification calculations. New DNA and cell geometries for the \"molecularDNA\" example will be included in future versions of Geant4-DNA.</p>","PeriodicalId":32406,"journal":{"name":"Precision Radiation Oncology","volume":"7 1","pages":"4-14"},"PeriodicalIF":2.1000,"publicationDate":"2023-02-13","publicationTypes":"Journal Article","fieldsOfStudy":null,"isOpenAccess":false,"openAccessPdf":"https://www.ncbi.nlm.nih.gov/pmc/articles/PMC11935086/pdf/","citationCount":"0","resultStr":"{\"title\":\"Simulation of DNA damage using Geant4-DNA: an overview of the \\\"molecularDNA\\\" example application.\",\"authors\":\"Konstantinos P Chatzipapas, Ngoc Hoang Tran, Milos Dordevic, Sara Zivkovic, Sara Zein, Wook-Geun Shin, Dousatsu Sakata, Nathanael Lampe, Jeremy M C Brown, Aleksandra Ristic-Fira, Ivan Petrovic, Ioanna Kyriakou, Dimitris Emfietzoglou, Susanna Guatelli, Sébastien Incerti\",\"doi\":\"10.1002/pro6.1186\",\"DOIUrl\":null,\"url\":null,\"abstract\":\"<p><strong>Purpose: </strong>The scientific community shows great interest in the study of DNA damage induction, DNA damage repair, and the biological effects on cells and cellular systems after exposure to ionizing radiation. Several <i>in silico</i> methods have been proposed so far to study these mechanisms using Monte Carlo simulations. This study outlines a Geant4-DNA example application, named \\\"molecularDNA\\\", publicly released in the 11.1 version of Geant4 (December 2022).</p><p><strong>Methods: </strong>It was developed for novice Geant4 users and requires only a basic understanding of scripting languages to get started. The example includes two different DNA-scale geometries of biological targets, namely \\\"cylinders\\\" and \\\"human cell\\\". This public version is based on a previous prototype and includes new features, such as: the adoption of a new approach for the modeling of the chemical stage, the use of the standard DNA damage format to describe radiation-induced DNA damage, and upgraded computational tools to estimate DNA damage response.</p><p><strong>Results: </strong>Simulation data in terms of single-strand break and double-strand break yields were produced using each of the available geometries. The results were compared with the literature, to validate the example, producing less than 5% difference in all cases. Conclusion: \\\"molecularDNA\\\" is a prototype tool that can be applied in a wide variety of radiobiology studies, providing the scientific community with an open-access base for DNA damage quantification calculations. New DNA and cell geometries for the \\\"molecularDNA\\\" example will be included in future versions of Geant4-DNA.</p>\",\"PeriodicalId\":32406,\"journal\":{\"name\":\"Precision Radiation Oncology\",\"volume\":\"7 1\",\"pages\":\"4-14\"},\"PeriodicalIF\":2.1000,\"publicationDate\":\"2023-02-13\",\"publicationTypes\":\"Journal Article\",\"fieldsOfStudy\":null,\"isOpenAccess\":false,\"openAccessPdf\":\"https://www.ncbi.nlm.nih.gov/pmc/articles/PMC11935086/pdf/\",\"citationCount\":\"0\",\"resultStr\":null,\"platform\":\"Semanticscholar\",\"paperid\":null,\"PeriodicalName\":\"Precision Radiation Oncology\",\"FirstCategoryId\":\"1085\",\"ListUrlMain\":\"https://doi.org/10.1002/pro6.1186\",\"RegionNum\":0,\"RegionCategory\":null,\"ArticlePicture\":[],\"TitleCN\":null,\"AbstractTextCN\":null,\"PMCID\":null,\"EPubDate\":\"2023/3/1 0:00:00\",\"PubModel\":\"eCollection\",\"JCR\":\"Q4\",\"JCRName\":\"Medicine\",\"Score\":null,\"Total\":0}","platform":"Semanticscholar","paperid":null,"PeriodicalName":"Precision Radiation Oncology","FirstCategoryId":"1085","ListUrlMain":"https://doi.org/10.1002/pro6.1186","RegionNum":0,"RegionCategory":null,"ArticlePicture":[],"TitleCN":null,"AbstractTextCN":null,"PMCID":null,"EPubDate":"2023/3/1 0:00:00","PubModel":"eCollection","JCR":"Q4","JCRName":"Medicine","Score":null,"Total":0}
引用次数: 0

摘要

科学界对DNA损伤诱导、DNA损伤修复以及暴露于电离辐射后对细胞和细胞系统的生物学影响的研究表现出极大的兴趣。到目前为止,已经提出了几种使用蒙特卡罗模拟来研究这些机制的计算机方法。本研究概述了Geant4-DNA的示例应用程序,名为“分子DNA”,在Geant4的11.1版本中公开发布(2022年12月)。
本文章由计算机程序翻译,如有差异,请以英文原文为准。

Simulation of DNA damage using Geant4-DNA: an overview of the "molecularDNA" example application.

Simulation of DNA damage using Geant4-DNA: an overview of the "molecularDNA" example application.

Simulation of DNA damage using Geant4-DNA: an overview of the "molecularDNA" example application.

Simulation of DNA damage using Geant4-DNA: an overview of the "molecularDNA" example application.

Purpose: The scientific community shows great interest in the study of DNA damage induction, DNA damage repair, and the biological effects on cells and cellular systems after exposure to ionizing radiation. Several in silico methods have been proposed so far to study these mechanisms using Monte Carlo simulations. This study outlines a Geant4-DNA example application, named "molecularDNA", publicly released in the 11.1 version of Geant4 (December 2022).

Methods: It was developed for novice Geant4 users and requires only a basic understanding of scripting languages to get started. The example includes two different DNA-scale geometries of biological targets, namely "cylinders" and "human cell". This public version is based on a previous prototype and includes new features, such as: the adoption of a new approach for the modeling of the chemical stage, the use of the standard DNA damage format to describe radiation-induced DNA damage, and upgraded computational tools to estimate DNA damage response.

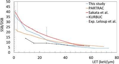
Results: Simulation data in terms of single-strand break and double-strand break yields were produced using each of the available geometries. The results were compared with the literature, to validate the example, producing less than 5% difference in all cases. Conclusion: "molecularDNA" is a prototype tool that can be applied in a wide variety of radiobiology studies, providing the scientific community with an open-access base for DNA damage quantification calculations. New DNA and cell geometries for the "molecularDNA" example will be included in future versions of Geant4-DNA.

求助全文
通过发布文献求助,成功后即可免费获取论文全文。 去求助
来源期刊
Precision Radiation Oncology
Precision Radiation Oncology Medicine-Oncology
CiteScore
1.20
自引率
0.00%
发文量
32
审稿时长
13 weeks
×
引用
GB/T 7714-2015
复制
MLA
复制
APA
复制
导出至
BibTeX EndNote RefMan NoteFirst NoteExpress
×
提示
您的信息不完整,为了账户安全,请先补充。
现在去补充
×
提示
您因"违规操作"
具体请查看互助需知
我知道了
×
提示
确定
请完成安全验证×
copy
已复制链接
快去分享给好友吧!
我知道了
右上角分享
点击右上角分享
0
联系我们:info@booksci.cn Book学术提供免费学术资源搜索服务,方便国内外学者检索中英文文献。致力于提供最便捷和优质的服务体验。 Copyright © 2023 布克学术 All rights reserved.
京ICP备2023020795号-1
ghs 京公网安备 11010802042870号
Book学术文献互助
Book学术文献互助群
群 号:604180095
Book学术官方微信