青少年24小时活动行为与运动能力的横断面关联:一项成分数据分析

Richard Tyler, Andrew J Atkin, Jack R Dainty, Dorothea Dumuid, Stuart J Fairclough
{"title":"青少年24小时活动行为与运动能力的横断面关联:一项成分数据分析","authors":"Richard Tyler, Andrew J Atkin, Jack R Dainty, Dorothea Dumuid, Stuart J Fairclough","doi":"10.1186/s44167-022-00003-3","DOIUrl":null,"url":null,"abstract":"<p><strong>Background: </strong>The study aimed to examine the cross-sectional associations between 24-h activity compositions and motor competence in children and adolescents, while stratifying by sex and school type (primary or secondary school) and estimate differences in motor competence associated with reallocations of time between activity behaviours.</p><p><strong>Methods: </strong>Data were collected from 359 participants (aged 11.5 ± 1.4 years; 49.3% boys; 96.9% White British). Seven-day 24-h activity behaviours [sleep, sedentary time, light physical activity (LPA), moderate-to-vigorous physical activity (MVPA)] were assessed using wrist-worn accelerometers. Motor competence outcomes were obtained using the Dragon Challenge (process, product, time, and overall scores). Linear mixed models examined associations between activity behaviour compositions and motor competence outcomes for all participants and stratified by school type (primary or secondary) and sex. Post-hoc analyses modelled the associations of reallocating fixed durations of time between activity behaviours with the outcomes.</p><p><strong>Results: </strong>In all participants, relative to other activity behaviours, MVPA had the strongest associations with motor competence outcomes. Time reallocations (5, 10, 15, 20 min) to MVPA from any of the other three behaviours were associated with higher overall, process, and time scores [effect sizes (ES) = 0.05-0.07 (5 min) and 0.19-0.27 (20 min)]. The stratified models displayed that MVPA had the strongest associations with outcomes in both sexes, irrespective of school type. The largest positive, and negative estimated differences occurred when MVPA hypothetically replaced LPA or sleep [ES = 0.04-0.10 (5 min) and 0.14-0.39 (20 min)], and when LPA or sleep hypothetically replaced MVPA [ES = - 0.03 to - 0.11 (5 min) and - 0.13 to - 0.54 (20 min)], respectively.</p><p><strong>Conclusions: </strong>Relative to other activity behaviours, MVPA had the strongest association overall with motor competence outcomes. Hypothetical reallocations of time from LPA or sleep to MVPA (and vice versa) were associated with the largest positive estimated differences in motor competence outcomes. Therefore, our findings reinforce the key role of MVPA for children's and adolescents' motor competence.</p>","PeriodicalId":73581,"journal":{"name":"Journal of activity, sedentary and sleep behaviors","volume":"1 1","pages":"3"},"PeriodicalIF":0.0000,"publicationDate":"2022-09-01","publicationTypes":"Journal Article","fieldsOfStudy":null,"isOpenAccess":false,"openAccessPdf":"https://www.ncbi.nlm.nih.gov/pmc/articles/PMC11934481/pdf/","citationCount":"0","resultStr":"{\"title\":\"Cross-sectional associations between 24-hour activity behaviours and motor competence in youth: a compositional data analysis.\",\"authors\":\"Richard Tyler, Andrew J Atkin, Jack R Dainty, Dorothea Dumuid, Stuart J Fairclough\",\"doi\":\"10.1186/s44167-022-00003-3\",\"DOIUrl\":null,\"url\":null,\"abstract\":\"<p><strong>Background: </strong>The study aimed to examine the cross-sectional associations between 24-h activity compositions and motor competence in children and adolescents, while stratifying by sex and school type (primary or secondary school) and estimate differences in motor competence associated with reallocations of time between activity behaviours.</p><p><strong>Methods: </strong>Data were collected from 359 participants (aged 11.5 ± 1.4 years; 49.3% boys; 96.9% White British). Seven-day 24-h activity behaviours [sleep, sedentary time, light physical activity (LPA), moderate-to-vigorous physical activity (MVPA)] were assessed using wrist-worn accelerometers. Motor competence outcomes were obtained using the Dragon Challenge (process, product, time, and overall scores). Linear mixed models examined associations between activity behaviour compositions and motor competence outcomes for all participants and stratified by school type (primary or secondary) and sex. Post-hoc analyses modelled the associations of reallocating fixed durations of time between activity behaviours with the outcomes.</p><p><strong>Results: </strong>In all participants, relative to other activity behaviours, MVPA had the strongest associations with motor competence outcomes. Time reallocations (5, 10, 15, 20 min) to MVPA from any of the other three behaviours were associated with higher overall, process, and time scores [effect sizes (ES) = 0.05-0.07 (5 min) and 0.19-0.27 (20 min)]. The stratified models displayed that MVPA had the strongest associations with outcomes in both sexes, irrespective of school type. The largest positive, and negative estimated differences occurred when MVPA hypothetically replaced LPA or sleep [ES = 0.04-0.10 (5 min) and 0.14-0.39 (20 min)], and when LPA or sleep hypothetically replaced MVPA [ES = - 0.03 to - 0.11 (5 min) and - 0.13 to - 0.54 (20 min)], respectively.</p><p><strong>Conclusions: </strong>Relative to other activity behaviours, MVPA had the strongest association overall with motor competence outcomes. Hypothetical reallocations of time from LPA or sleep to MVPA (and vice versa) were associated with the largest positive estimated differences in motor competence outcomes. Therefore, our findings reinforce the key role of MVPA for children's and adolescents' motor competence.</p>\",\"PeriodicalId\":73581,\"journal\":{\"name\":\"Journal of activity, sedentary and sleep behaviors\",\"volume\":\"1 1\",\"pages\":\"3\"},\"PeriodicalIF\":0.0000,\"publicationDate\":\"2022-09-01\",\"publicationTypes\":\"Journal Article\",\"fieldsOfStudy\":null,\"isOpenAccess\":false,\"openAccessPdf\":\"https://www.ncbi.nlm.nih.gov/pmc/articles/PMC11934481/pdf/\",\"citationCount\":\"0\",\"resultStr\":null,\"platform\":\"Semanticscholar\",\"paperid\":null,\"PeriodicalName\":\"Journal of activity, sedentary and sleep behaviors\",\"FirstCategoryId\":\"1085\",\"ListUrlMain\":\"https://doi.org/10.1186/s44167-022-00003-3\",\"RegionNum\":0,\"RegionCategory\":null,\"ArticlePicture\":[],\"TitleCN\":null,\"AbstractTextCN\":null,\"PMCID\":null,\"EPubDate\":\"\",\"PubModel\":\"\",\"JCR\":\"\",\"JCRName\":\"\",\"Score\":null,\"Total\":0}","platform":"Semanticscholar","paperid":null,"PeriodicalName":"Journal of activity, sedentary and sleep behaviors","FirstCategoryId":"1085","ListUrlMain":"https://doi.org/10.1186/s44167-022-00003-3","RegionNum":0,"RegionCategory":null,"ArticlePicture":[],"TitleCN":null,"AbstractTextCN":null,"PMCID":null,"EPubDate":"","PubModel":"","JCR":"","JCRName":"","Score":null,"Total":0}
引用次数: 0

摘要

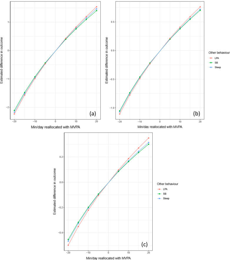
背景:本研究旨在研究儿童和青少年24小时活动组成与运动能力之间的横断面关联,同时按性别和学校类型(小学或中学)分层,并估计运动能力与活动行为之间时间重新分配相关的差异。方法:359名参与者(年龄11.5±1.4岁;49.3%的男孩;96.9%的英国白人)。7天24小时的活动行为[睡眠、久坐时间、轻度体力活动(LPA)、中度至剧烈体力活动(MVPA)]通过腕带加速度计进行评估。运动能力结果使用龙挑战(过程,产品,时间和总分)获得。线性混合模型检验了所有参与者的活动行为组成和运动能力结果之间的关系,并按学校类型(小学或中学)和性别分层。事后分析模拟了活动行为与结果之间重新分配固定时间的关联。结果:在所有参与者中,相对于其他活动行为,MVPA与运动能力结果有最强的关联。从其他三种行为中的任何一种到MVPA的时间重新分配(5,10,15,20分钟)与更高的总体,过程和时间得分相关[效应量(ES) = 0.05-0.07(5分钟)和0.19-0.27(20分钟)]。分层模型显示,无论学校类型如何,MVPA与两性的结果都有最强的关联。当MVPA假设替代LPA或睡眠时,最大的阳性和阴性估计差异出现[ES = 0.04-0.10(5分钟)和0.14-0.39(20分钟)],以及LPA或睡眠假设替代MVPA [ES = - 0.03至- 0.11(5分钟)和- 0.13至- 0.54(20分钟)]。结论:相对于其他活动行为,MVPA与运动能力结果的总体关联最强。假设从LPA或睡眠到MVPA的时间重新分配(反之亦然)与运动能力结果的最大正估计差异相关。因此,我们的研究结果加强了MVPA对儿童和青少年运动能力的关键作用。
本文章由计算机程序翻译,如有差异,请以英文原文为准。

Cross-sectional associations between 24-hour activity behaviours and motor competence in youth: a compositional data analysis.

Cross-sectional associations between 24-hour activity behaviours and motor competence in youth: a compositional data analysis.

Background: The study aimed to examine the cross-sectional associations between 24-h activity compositions and motor competence in children and adolescents, while stratifying by sex and school type (primary or secondary school) and estimate differences in motor competence associated with reallocations of time between activity behaviours.

Methods: Data were collected from 359 participants (aged 11.5 ± 1.4 years; 49.3% boys; 96.9% White British). Seven-day 24-h activity behaviours [sleep, sedentary time, light physical activity (LPA), moderate-to-vigorous physical activity (MVPA)] were assessed using wrist-worn accelerometers. Motor competence outcomes were obtained using the Dragon Challenge (process, product, time, and overall scores). Linear mixed models examined associations between activity behaviour compositions and motor competence outcomes for all participants and stratified by school type (primary or secondary) and sex. Post-hoc analyses modelled the associations of reallocating fixed durations of time between activity behaviours with the outcomes.

Results: In all participants, relative to other activity behaviours, MVPA had the strongest associations with motor competence outcomes. Time reallocations (5, 10, 15, 20 min) to MVPA from any of the other three behaviours were associated with higher overall, process, and time scores [effect sizes (ES) = 0.05-0.07 (5 min) and 0.19-0.27 (20 min)]. The stratified models displayed that MVPA had the strongest associations with outcomes in both sexes, irrespective of school type. The largest positive, and negative estimated differences occurred when MVPA hypothetically replaced LPA or sleep [ES = 0.04-0.10 (5 min) and 0.14-0.39 (20 min)], and when LPA or sleep hypothetically replaced MVPA [ES = - 0.03 to - 0.11 (5 min) and - 0.13 to - 0.54 (20 min)], respectively.

Conclusions: Relative to other activity behaviours, MVPA had the strongest association overall with motor competence outcomes. Hypothetical reallocations of time from LPA or sleep to MVPA (and vice versa) were associated with the largest positive estimated differences in motor competence outcomes. Therefore, our findings reinforce the key role of MVPA for children's and adolescents' motor competence.

求助全文
通过发布文献求助,成功后即可免费获取论文全文。 去求助
来源期刊
自引率
0.00%
发文量
0
×
引用
GB/T 7714-2015
复制
MLA
复制
APA
复制
导出至
BibTeX EndNote RefMan NoteFirst NoteExpress
×
提示
您的信息不完整,为了账户安全,请先补充。
现在去补充
×
提示
您因"违规操作"
具体请查看互助需知
我知道了
×
提示
确定
请完成安全验证×
copy
已复制链接
快去分享给好友吧!
我知道了
右上角分享
点击右上角分享
0
联系我们:info@booksci.cn Book学术提供免费学术资源搜索服务,方便国内外学者检索中英文文献。致力于提供最便捷和优质的服务体验。 Copyright © 2023 布克学术 All rights reserved.
京ICP备2023020795号-1
ghs 京公网安备 11010802042870号
Book学术文献互助
Book学术文献互助群
群 号:604180095
Book学术官方微信