2型糖尿病患者脑脊液和血浆中糖尿病肾病代谢组学特征的液相色谱-质谱分析

IF 3.3
Huan-Tang Lin, Mei-Ling Cheng, Chi-Jen Lo, Gigin Lin, Fu-Chao Liu
{"title":"2型糖尿病患者脑脊液和血浆中糖尿病肾病代谢组学特征的液相色谱-质谱分析","authors":"Huan-Tang Lin,&nbsp;Mei-Ling Cheng,&nbsp;Chi-Jen Lo,&nbsp;Gigin Lin,&nbsp;Fu-Chao Liu","doi":"10.3390/diagnostics12112626","DOIUrl":null,"url":null,"abstract":"<p><p>Diabetic kidney disease (DKD) is the major cause of end stage renal disease in patients with type 2 diabetes mellitus (T2DM). The subtle metabolic changes in plasma and cerebrospinal fluid (CSF) might precede the development of DKD by years. In this longitudinal study, CSF and plasma samples were collected from 28 patients with T2DM and 25 controls, during spinal anesthesia for elective surgery in 2017. These samples were analyzed using liquid chromatography-mass spectrometry (LC-MS) in 2017, and the results were correlated with current DKD in 2017, and the development of new-onset DKD, in 2021. Comparing patients with T2DM having new-onset DKD with those without DKD, revealed significantly increased CSF tryptophan and plasma uric acid levels, whereas phosphatidylcholine 36:4 was lower. The altered metabolites in the current DKD cases were uric acid and paraxanthine in the CSF and uric acid, L-acetylcarnitine, bilirubin, and phosphatidylethanolamine 38:4 in the plasma. These metabolic alterations suggest the defective mitochondrial fatty acid oxidation and purine and phospholipid metabolism in patients with DKD. A correlation analysis found CSF uric acid had an independent positive association with the urine albumin-to-creatinine ratio. In conclusion, these identified CSF and plasma biomarkers of DKD in diabetic patients, might be valuable for monitoring the DKD progression.</p>","PeriodicalId":520604,"journal":{"name":"Diagnostics (Basel, Switzerland)","volume":" ","pages":""},"PeriodicalIF":3.3000,"publicationDate":"2022-10-29","publicationTypes":"Journal Article","fieldsOfStudy":null,"isOpenAccess":false,"openAccessPdf":"https://www.ncbi.nlm.nih.gov/pmc/articles/PMC9689120/pdf/","citationCount":"4","resultStr":"{\"title\":\"Metabolomic Signature of Diabetic Kidney Disease in Cerebrospinal Fluid and Plasma of Patients with Type 2 Diabetes Using Liquid Chromatography-Mass Spectrometry.\",\"authors\":\"Huan-Tang Lin,&nbsp;Mei-Ling Cheng,&nbsp;Chi-Jen Lo,&nbsp;Gigin Lin,&nbsp;Fu-Chao Liu\",\"doi\":\"10.3390/diagnostics12112626\",\"DOIUrl\":null,\"url\":null,\"abstract\":\"<p><p>Diabetic kidney disease (DKD) is the major cause of end stage renal disease in patients with type 2 diabetes mellitus (T2DM). The subtle metabolic changes in plasma and cerebrospinal fluid (CSF) might precede the development of DKD by years. In this longitudinal study, CSF and plasma samples were collected from 28 patients with T2DM and 25 controls, during spinal anesthesia for elective surgery in 2017. These samples were analyzed using liquid chromatography-mass spectrometry (LC-MS) in 2017, and the results were correlated with current DKD in 2017, and the development of new-onset DKD, in 2021. Comparing patients with T2DM having new-onset DKD with those without DKD, revealed significantly increased CSF tryptophan and plasma uric acid levels, whereas phosphatidylcholine 36:4 was lower. The altered metabolites in the current DKD cases were uric acid and paraxanthine in the CSF and uric acid, L-acetylcarnitine, bilirubin, and phosphatidylethanolamine 38:4 in the plasma. These metabolic alterations suggest the defective mitochondrial fatty acid oxidation and purine and phospholipid metabolism in patients with DKD. A correlation analysis found CSF uric acid had an independent positive association with the urine albumin-to-creatinine ratio. In conclusion, these identified CSF and plasma biomarkers of DKD in diabetic patients, might be valuable for monitoring the DKD progression.</p>\",\"PeriodicalId\":520604,\"journal\":{\"name\":\"Diagnostics (Basel, Switzerland)\",\"volume\":\" \",\"pages\":\"\"},\"PeriodicalIF\":3.3000,\"publicationDate\":\"2022-10-29\",\"publicationTypes\":\"Journal Article\",\"fieldsOfStudy\":null,\"isOpenAccess\":false,\"openAccessPdf\":\"https://www.ncbi.nlm.nih.gov/pmc/articles/PMC9689120/pdf/\",\"citationCount\":\"4\",\"resultStr\":null,\"platform\":\"Semanticscholar\",\"paperid\":null,\"PeriodicalName\":\"Diagnostics (Basel, Switzerland)\",\"FirstCategoryId\":\"3\",\"ListUrlMain\":\"https://doi.org/10.3390/diagnostics12112626\",\"RegionNum\":0,\"RegionCategory\":null,\"ArticlePicture\":[],\"TitleCN\":null,\"AbstractTextCN\":null,\"PMCID\":null,\"EPubDate\":\"\",\"PubModel\":\"\",\"JCR\":\"\",\"JCRName\":\"\",\"Score\":null,\"Total\":0}","platform":"Semanticscholar","paperid":null,"PeriodicalName":"Diagnostics (Basel, Switzerland)","FirstCategoryId":"3","ListUrlMain":"https://doi.org/10.3390/diagnostics12112626","RegionNum":0,"RegionCategory":null,"ArticlePicture":[],"TitleCN":null,"AbstractTextCN":null,"PMCID":null,"EPubDate":"","PubModel":"","JCR":"","JCRName":"","Score":null,"Total":0}
引用次数: 4

摘要

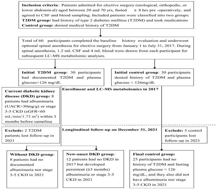
糖尿病肾病(DKD)是2型糖尿病(T2DM)患者终末期肾病的主要原因。血浆和脑脊液(CSF)的细微代谢变化可能早于DKD的发展数年。在这项纵向研究中,收集了28名T2DM患者和25名对照者的脑脊液和血浆样本,这些患者在2017年进行择期手术的脊髓麻醉期间。2017年使用液相色谱-质谱(LC-MS)对这些样品进行分析,并将结果与2017年现有DKD和2021年新发DKD的发展相关。比较新发DKD的T2DM患者与无DKD的T2DM患者,脑脊液色氨酸和血浆尿酸水平显著升高,而磷脂酰胆碱36:4较低。当前DKD病例的代谢产物改变为脑脊液中的尿酸和副黄嘌呤,血浆中的尿酸、l -乙酰肉碱、胆红素和磷脂酰乙醇胺38:4。这些代谢改变提示DKD患者线粒体脂肪酸氧化、嘌呤和磷脂代谢存在缺陷。相关分析发现脑脊液尿酸与尿白蛋白-肌酐比值有独立的正相关。总之,这些鉴定出的糖尿病患者DKD的脑脊液和血浆生物标志物,可能对监测DKD的进展有价值。
本文章由计算机程序翻译,如有差异,请以英文原文为准。

Metabolomic Signature of Diabetic Kidney Disease in Cerebrospinal Fluid and Plasma of Patients with Type 2 Diabetes Using Liquid Chromatography-Mass Spectrometry.

Metabolomic Signature of Diabetic Kidney Disease in Cerebrospinal Fluid and Plasma of Patients with Type 2 Diabetes Using Liquid Chromatography-Mass Spectrometry.

Metabolomic Signature of Diabetic Kidney Disease in Cerebrospinal Fluid and Plasma of Patients with Type 2 Diabetes Using Liquid Chromatography-Mass Spectrometry.

Metabolomic Signature of Diabetic Kidney Disease in Cerebrospinal Fluid and Plasma of Patients with Type 2 Diabetes Using Liquid Chromatography-Mass Spectrometry.

Diabetic kidney disease (DKD) is the major cause of end stage renal disease in patients with type 2 diabetes mellitus (T2DM). The subtle metabolic changes in plasma and cerebrospinal fluid (CSF) might precede the development of DKD by years. In this longitudinal study, CSF and plasma samples were collected from 28 patients with T2DM and 25 controls, during spinal anesthesia for elective surgery in 2017. These samples were analyzed using liquid chromatography-mass spectrometry (LC-MS) in 2017, and the results were correlated with current DKD in 2017, and the development of new-onset DKD, in 2021. Comparing patients with T2DM having new-onset DKD with those without DKD, revealed significantly increased CSF tryptophan and plasma uric acid levels, whereas phosphatidylcholine 36:4 was lower. The altered metabolites in the current DKD cases were uric acid and paraxanthine in the CSF and uric acid, L-acetylcarnitine, bilirubin, and phosphatidylethanolamine 38:4 in the plasma. These metabolic alterations suggest the defective mitochondrial fatty acid oxidation and purine and phospholipid metabolism in patients with DKD. A correlation analysis found CSF uric acid had an independent positive association with the urine albumin-to-creatinine ratio. In conclusion, these identified CSF and plasma biomarkers of DKD in diabetic patients, might be valuable for monitoring the DKD progression.

求助全文
通过发布文献求助,成功后即可免费获取论文全文。 去求助
来源期刊
自引率
0.00%
发文量
0
×
引用
GB/T 7714-2015
复制
MLA
复制
APA
复制
导出至
BibTeX EndNote RefMan NoteFirst NoteExpress
×
提示
您的信息不完整,为了账户安全,请先补充。
现在去补充
×
提示
您因"违规操作"
具体请查看互助需知
我知道了
×
提示
确定
请完成安全验证×
copy
已复制链接
快去分享给好友吧!
我知道了
右上角分享
点击右上角分享
0
联系我们:info@booksci.cn Book学术提供免费学术资源搜索服务,方便国内外学者检索中英文文献。致力于提供最便捷和优质的服务体验。 Copyright © 2023 布克学术 All rights reserved.
京ICP备2023020795号-1
ghs 京公网安备 11010802042870号
Book学术文献互助
Book学术文献互助群
群 号:604180095
Book学术官方微信