饮食策略对黄颡鱼(Sparus aurata)幼鱼肠道炎症后健康状况和免疫反应的调节

Carla Teixeira, Diogo Peixoto, Mariana Hinzmann, Paulo Santos, Inês Ferreira, Gabriella V Pereira, Jorge Dias, Benjamín Costas
{"title":"饮食策略对黄颡鱼(Sparus aurata)幼鱼肠道炎症后健康状况和免疫反应的调节","authors":"Carla Teixeira,&nbsp;Diogo Peixoto,&nbsp;Mariana Hinzmann,&nbsp;Paulo Santos,&nbsp;Inês Ferreira,&nbsp;Gabriella V Pereira,&nbsp;Jorge Dias,&nbsp;Benjamín Costas","doi":"10.3390/ani12213019","DOIUrl":null,"url":null,"abstract":"<p><p>Several feed additives have proved to be beneficial in eliciting fish health. Β-glucans and curcumin are compounds with immunomodulatory capacities known to increase growth performance, stimulate immunity, improve general health, and enhance disease resistance in fish. The present study aimed to evaluate the effects of dietary <i>Phaeodactylum tricornutum</i> extracts rich in β-glucans and curcumin on gilthead seabream health status prior to and following an intestinal inflammatory stimulus. Three experimental diets were formulated: a practical commercial-type diet (CTRL), a CTRL diet supplemented with 1% microalgae-derived β-glucans extract (BG), and a CTRL diet supplemented with 0.2% of curcumin (CUR). After 30 days of the feeding trial, fish were sampled and subjected to an oral administration of 1% dextran sodium sulphate (DSS) to induce intestinal inflammation. Four groups were considered: a group of fish continued to be fed on the CTRL diet while the remaining groups were exposed to DSS, including CTRL-D (CTRL + DSS), BG-D (BG + DSS), and CUR-D (CUR + DSS), for 6 days. Growth, plasma and gut humoral immunity, liver and gut oxidative stress biomarkers, and intestinal gene expression were evaluated. No significant differences were found in growth after 30 days of feeding; however, seabream fed BG had decreased anti-protease activity and nitric oxide concentration in plasma while those fed CUR had increased mRNA levels of the <i>tnfα</i>, <i>csf1r</i>, and <i>hep</i> genes compared to those fed CTRL. After the inflammatory stimulus, hematocrit was enhanced in fish fed BG-D and CUR-D while red blood cell counts increased in those fed CTRL-D. Superoxide dismutase activity decreased in the intestine of all DSS groups while lipid peroxidation increased in the gut of fish fed CTRL-D and BG-D compared to CTRL. Moreover, the mRNA expression levels of <i>csfr1</i> and <i>sod</i> decreased in fish fed CTRL-D and BG-D compared to CTRL, respectively. Despite the mild intestinal inflammatory condition induced by DSS, CUR was able to partially ameliorate its effects, improving the hematological profile and assisting against the oxidative stress.</p>","PeriodicalId":519482,"journal":{"name":"Animals : an Open Access Journal from MDPI","volume":" ","pages":""},"PeriodicalIF":0.0000,"publicationDate":"2022-11-03","publicationTypes":"Journal Article","fieldsOfStudy":null,"isOpenAccess":false,"openAccessPdf":"https://www.ncbi.nlm.nih.gov/pmc/articles/PMC9657010/pdf/","citationCount":"1","resultStr":"{\"title\":\"Dietary Strategies to Modulate the Health Condition and Immune Responses in Gilthead Seabream (<i>Sparus aurata</i>) Juveniles Following Intestinal Inflammation.\",\"authors\":\"Carla Teixeira,&nbsp;Diogo Peixoto,&nbsp;Mariana Hinzmann,&nbsp;Paulo Santos,&nbsp;Inês Ferreira,&nbsp;Gabriella V Pereira,&nbsp;Jorge Dias,&nbsp;Benjamín Costas\",\"doi\":\"10.3390/ani12213019\",\"DOIUrl\":null,\"url\":null,\"abstract\":\"<p><p>Several feed additives have proved to be beneficial in eliciting fish health. Β-glucans and curcumin are compounds with immunomodulatory capacities known to increase growth performance, stimulate immunity, improve general health, and enhance disease resistance in fish. The present study aimed to evaluate the effects of dietary <i>Phaeodactylum tricornutum</i> extracts rich in β-glucans and curcumin on gilthead seabream health status prior to and following an intestinal inflammatory stimulus. Three experimental diets were formulated: a practical commercial-type diet (CTRL), a CTRL diet supplemented with 1% microalgae-derived β-glucans extract (BG), and a CTRL diet supplemented with 0.2% of curcumin (CUR). After 30 days of the feeding trial, fish were sampled and subjected to an oral administration of 1% dextran sodium sulphate (DSS) to induce intestinal inflammation. Four groups were considered: a group of fish continued to be fed on the CTRL diet while the remaining groups were exposed to DSS, including CTRL-D (CTRL + DSS), BG-D (BG + DSS), and CUR-D (CUR + DSS), for 6 days. Growth, plasma and gut humoral immunity, liver and gut oxidative stress biomarkers, and intestinal gene expression were evaluated. No significant differences were found in growth after 30 days of feeding; however, seabream fed BG had decreased anti-protease activity and nitric oxide concentration in plasma while those fed CUR had increased mRNA levels of the <i>tnfα</i>, <i>csf1r</i>, and <i>hep</i> genes compared to those fed CTRL. After the inflammatory stimulus, hematocrit was enhanced in fish fed BG-D and CUR-D while red blood cell counts increased in those fed CTRL-D. Superoxide dismutase activity decreased in the intestine of all DSS groups while lipid peroxidation increased in the gut of fish fed CTRL-D and BG-D compared to CTRL. Moreover, the mRNA expression levels of <i>csfr1</i> and <i>sod</i> decreased in fish fed CTRL-D and BG-D compared to CTRL, respectively. Despite the mild intestinal inflammatory condition induced by DSS, CUR was able to partially ameliorate its effects, improving the hematological profile and assisting against the oxidative stress.</p>\",\"PeriodicalId\":519482,\"journal\":{\"name\":\"Animals : an Open Access Journal from MDPI\",\"volume\":\" \",\"pages\":\"\"},\"PeriodicalIF\":0.0000,\"publicationDate\":\"2022-11-03\",\"publicationTypes\":\"Journal Article\",\"fieldsOfStudy\":null,\"isOpenAccess\":false,\"openAccessPdf\":\"https://www.ncbi.nlm.nih.gov/pmc/articles/PMC9657010/pdf/\",\"citationCount\":\"1\",\"resultStr\":null,\"platform\":\"Semanticscholar\",\"paperid\":null,\"PeriodicalName\":\"Animals : an Open Access Journal from MDPI\",\"FirstCategoryId\":\"97\",\"ListUrlMain\":\"https://doi.org/10.3390/ani12213019\",\"RegionNum\":0,\"RegionCategory\":null,\"ArticlePicture\":[],\"TitleCN\":null,\"AbstractTextCN\":null,\"PMCID\":null,\"EPubDate\":\"\",\"PubModel\":\"\",\"JCR\":\"\",\"JCRName\":\"\",\"Score\":null,\"Total\":0}","platform":"Semanticscholar","paperid":null,"PeriodicalName":"Animals : an Open Access Journal from MDPI","FirstCategoryId":"97","ListUrlMain":"https://doi.org/10.3390/ani12213019","RegionNum":0,"RegionCategory":null,"ArticlePicture":[],"TitleCN":null,"AbstractTextCN":null,"PMCID":null,"EPubDate":"","PubModel":"","JCR":"","JCRName":"","Score":null,"Total":0}
引用次数: 1

摘要

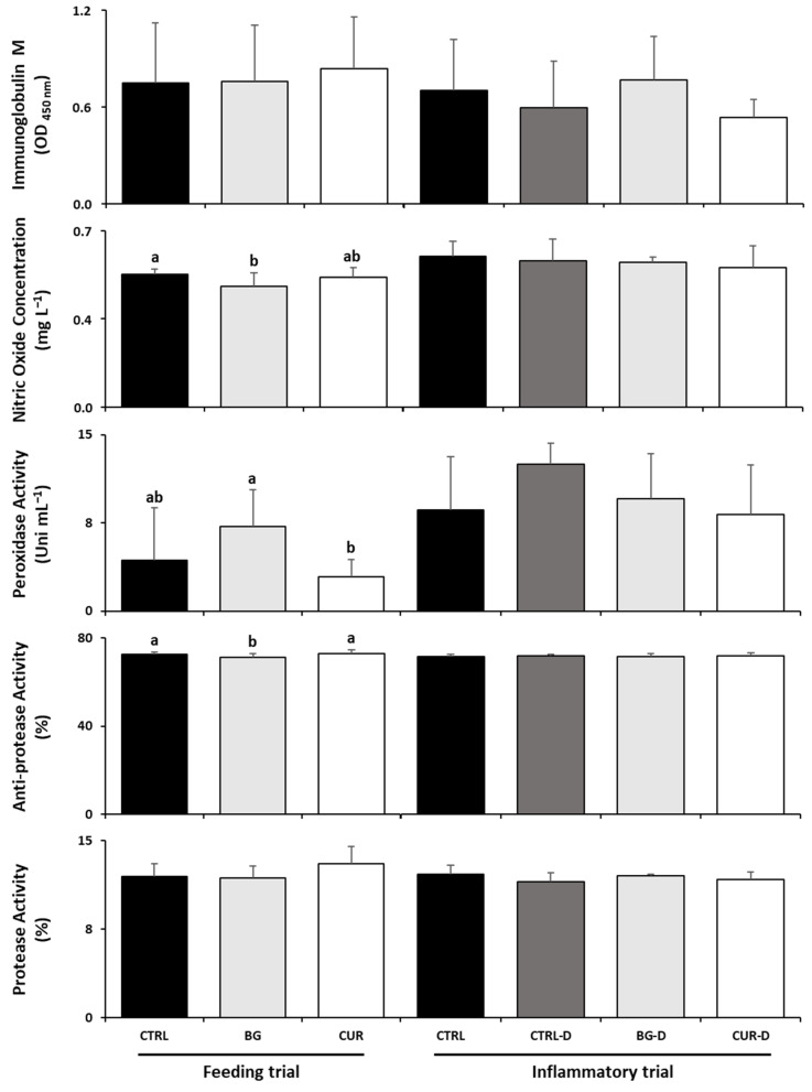
几种饲料添加剂已被证明对促进鱼类健康有益。Β-glucans和姜黄素是具有免疫调节能力的化合物,已知可提高鱼类的生长性能、刺激免疫力、改善总体健康状况并增强抗病能力。本研究旨在评价富含β-葡聚糖和姜黄素的三角褐指藻提取物在肠道炎症刺激前后对鳙鱼健康状况的影响。配制3种试验饲粮:实用型商业饲粮(CTRL)、添加1%微藻衍生β-葡聚糖提取物(BG)的CTRL饲粮和添加0.2%姜黄素(CUR)的CTRL饲粮。饲喂试验30 d后,取鱼标本,口服1%葡聚糖硫酸钠(DSS)诱导肠道炎症。试验分为四组:一组继续饲喂CTRL饲料,其余组饲喂DSS,包括CTRL- d (CTRL + DSS)、BG- d (BG + DSS)和CUR- d (CUR + DSS),为期6天。评估了生长、血浆和肠道体液免疫、肝脏和肠道氧化应激生物标志物以及肠道基因表达。饲喂30 d后,各组生长无显著差异;与对照组相比,BG组血浆中抗蛋白酶活性和一氧化氮浓度降低,而CUR组血浆中tnfα、csf1r和hep基因mRNA水平升高。炎症刺激后,喂食BG-D和curd的鱼红细胞压积增强,而喂食CTRL-D的鱼红细胞计数增加。与对照组相比,饲喂CTRL- d和BG-D的DSS组肠道超氧化物歧化酶活性降低,肠道脂质过氧化水平升高。此外,CTRL- d和BG-D组csfr1和sod mRNA表达量均低于CTRL组。尽管DSS引起了轻微的肠道炎症,但CUR能够部分改善其作用,改善血液学特征并帮助对抗氧化应激。
本文章由计算机程序翻译,如有差异,请以英文原文为准。

Dietary Strategies to Modulate the Health Condition and Immune Responses in Gilthead Seabream (<i>Sparus aurata</i>) Juveniles Following Intestinal Inflammation.

Dietary Strategies to Modulate the Health Condition and Immune Responses in Gilthead Seabream (<i>Sparus aurata</i>) Juveniles Following Intestinal Inflammation.

Dietary Strategies to Modulate the Health Condition and Immune Responses in Gilthead Seabream (<i>Sparus aurata</i>) Juveniles Following Intestinal Inflammation.

Dietary Strategies to Modulate the Health Condition and Immune Responses in Gilthead Seabream (Sparus aurata) Juveniles Following Intestinal Inflammation.

Several feed additives have proved to be beneficial in eliciting fish health. Β-glucans and curcumin are compounds with immunomodulatory capacities known to increase growth performance, stimulate immunity, improve general health, and enhance disease resistance in fish. The present study aimed to evaluate the effects of dietary Phaeodactylum tricornutum extracts rich in β-glucans and curcumin on gilthead seabream health status prior to and following an intestinal inflammatory stimulus. Three experimental diets were formulated: a practical commercial-type diet (CTRL), a CTRL diet supplemented with 1% microalgae-derived β-glucans extract (BG), and a CTRL diet supplemented with 0.2% of curcumin (CUR). After 30 days of the feeding trial, fish were sampled and subjected to an oral administration of 1% dextran sodium sulphate (DSS) to induce intestinal inflammation. Four groups were considered: a group of fish continued to be fed on the CTRL diet while the remaining groups were exposed to DSS, including CTRL-D (CTRL + DSS), BG-D (BG + DSS), and CUR-D (CUR + DSS), for 6 days. Growth, plasma and gut humoral immunity, liver and gut oxidative stress biomarkers, and intestinal gene expression were evaluated. No significant differences were found in growth after 30 days of feeding; however, seabream fed BG had decreased anti-protease activity and nitric oxide concentration in plasma while those fed CUR had increased mRNA levels of the tnfα, csf1r, and hep genes compared to those fed CTRL. After the inflammatory stimulus, hematocrit was enhanced in fish fed BG-D and CUR-D while red blood cell counts increased in those fed CTRL-D. Superoxide dismutase activity decreased in the intestine of all DSS groups while lipid peroxidation increased in the gut of fish fed CTRL-D and BG-D compared to CTRL. Moreover, the mRNA expression levels of csfr1 and sod decreased in fish fed CTRL-D and BG-D compared to CTRL, respectively. Despite the mild intestinal inflammatory condition induced by DSS, CUR was able to partially ameliorate its effects, improving the hematological profile and assisting against the oxidative stress.

求助全文
通过发布文献求助,成功后即可免费获取论文全文。 去求助
来源期刊
自引率
0.00%
发文量
0
×
引用
GB/T 7714-2015
复制
MLA
复制
APA
复制
导出至
BibTeX EndNote RefMan NoteFirst NoteExpress
×
提示
您的信息不完整,为了账户安全,请先补充。
现在去补充
×
提示
您因"违规操作"
具体请查看互助需知
我知道了
×
提示
确定
请完成安全验证×
copy
已复制链接
快去分享给好友吧!
我知道了
右上角分享
点击右上角分享
0
联系我们:info@booksci.cn Book学术提供免费学术资源搜索服务,方便国内外学者检索中英文文献。致力于提供最便捷和优质的服务体验。 Copyright © 2023 布克学术 All rights reserved.
京ICP备2023020795号-1
ghs 京公网安备 11010802042870号
Book学术文献互助
Book学术文献互助群
群 号:604180095
Book学术官方微信