利用早期胃癌的监测、流行病学和最终结果数据库中的婚姻状况和其他因素建立模型。

IF 2
Lixiang Zhang, Baichuan Zhou, Panquan Luo, Aman Xu, Wenxiu Han, Zhijian Wei
{"title":"利用早期胃癌的监测、流行病学和最终结果数据库中的婚姻状况和其他因素建立模型。","authors":"Lixiang Zhang,&nbsp;Baichuan Zhou,&nbsp;Panquan Luo,&nbsp;Aman Xu,&nbsp;Wenxiu Han,&nbsp;Zhijian Wei","doi":"10.1136/jim-2021-002285","DOIUrl":null,"url":null,"abstract":"<p><p>Currently, the postoperative prognosis of early stage gastric cancer (GC) is difficult to accurately predict. In particular, social factors are not frequently used in the prognostic assessment of early stage GC. Therefore, this study aimed to combine the clinical indicators and social factors to establish a predictive model for early stage GC based on a new scoring system. A total of 3647 patients with early stage GC from the Surveillance, Epidemiology, and End Results database were included in this study. A Kaplan-Meier survival analysis was used to compare differences in prognosis between different marital status, as an innovative prognostic indicator. Univariate and multivariate analyses were used to screen available prediction factors and then build a nomogram using the Cox proportional hazard regression model. The univariate analysis and multivariate analysis revealed that age at diagnosis, sex, histology, stage_T, surgery, tumor size, and marital status were independent prognostic factors of overall survival. Both the C-index and calibration curves confirmed that the nomogram had a great predictive effect on patient prognosis in training and testing sets. This nomogram based on clinical indicators and marital status can effectively help patients with early stage GC in the future.</p>","PeriodicalId":520677,"journal":{"name":"Journal of investigative medicine : the official publication of the American Federation for Clinical Research","volume":" ","pages":"1373-1380"},"PeriodicalIF":2.0000,"publicationDate":"2022-08-01","publicationTypes":"Journal Article","fieldsOfStudy":null,"isOpenAccess":false,"openAccessPdf":"https://ftp.ncbi.nlm.nih.gov/pub/pmc/oa_pdf/84/36/jim-2021-002285.PMC9380518.pdf","citationCount":"1","resultStr":"{\"title\":\"A model established using marital status and other factors from the Surveillance, Epidemiology, and End Results database for early stage gastric cancer.\",\"authors\":\"Lixiang Zhang,&nbsp;Baichuan Zhou,&nbsp;Panquan Luo,&nbsp;Aman Xu,&nbsp;Wenxiu Han,&nbsp;Zhijian Wei\",\"doi\":\"10.1136/jim-2021-002285\",\"DOIUrl\":null,\"url\":null,\"abstract\":\"<p><p>Currently, the postoperative prognosis of early stage gastric cancer (GC) is difficult to accurately predict. In particular, social factors are not frequently used in the prognostic assessment of early stage GC. Therefore, this study aimed to combine the clinical indicators and social factors to establish a predictive model for early stage GC based on a new scoring system. A total of 3647 patients with early stage GC from the Surveillance, Epidemiology, and End Results database were included in this study. A Kaplan-Meier survival analysis was used to compare differences in prognosis between different marital status, as an innovative prognostic indicator. Univariate and multivariate analyses were used to screen available prediction factors and then build a nomogram using the Cox proportional hazard regression model. The univariate analysis and multivariate analysis revealed that age at diagnosis, sex, histology, stage_T, surgery, tumor size, and marital status were independent prognostic factors of overall survival. Both the C-index and calibration curves confirmed that the nomogram had a great predictive effect on patient prognosis in training and testing sets. This nomogram based on clinical indicators and marital status can effectively help patients with early stage GC in the future.</p>\",\"PeriodicalId\":520677,\"journal\":{\"name\":\"Journal of investigative medicine : the official publication of the American Federation for Clinical Research\",\"volume\":\" \",\"pages\":\"1373-1380\"},\"PeriodicalIF\":2.0000,\"publicationDate\":\"2022-08-01\",\"publicationTypes\":\"Journal Article\",\"fieldsOfStudy\":null,\"isOpenAccess\":false,\"openAccessPdf\":\"https://ftp.ncbi.nlm.nih.gov/pub/pmc/oa_pdf/84/36/jim-2021-002285.PMC9380518.pdf\",\"citationCount\":\"1\",\"resultStr\":null,\"platform\":\"Semanticscholar\",\"paperid\":null,\"PeriodicalName\":\"Journal of investigative medicine : the official publication of the American Federation for Clinical Research\",\"FirstCategoryId\":\"3\",\"ListUrlMain\":\"https://doi.org/10.1136/jim-2021-002285\",\"RegionNum\":0,\"RegionCategory\":null,\"ArticlePicture\":[],\"TitleCN\":null,\"AbstractTextCN\":null,\"PMCID\":null,\"EPubDate\":\"2022/7/5 0:00:00\",\"PubModel\":\"Epub\",\"JCR\":\"\",\"JCRName\":\"\",\"Score\":null,\"Total\":0}","platform":"Semanticscholar","paperid":null,"PeriodicalName":"Journal of investigative medicine : the official publication of the American Federation for Clinical Research","FirstCategoryId":"3","ListUrlMain":"https://doi.org/10.1136/jim-2021-002285","RegionNum":0,"RegionCategory":null,"ArticlePicture":[],"TitleCN":null,"AbstractTextCN":null,"PMCID":null,"EPubDate":"2022/7/5 0:00:00","PubModel":"Epub","JCR":"","JCRName":"","Score":null,"Total":0}
引用次数: 1

摘要

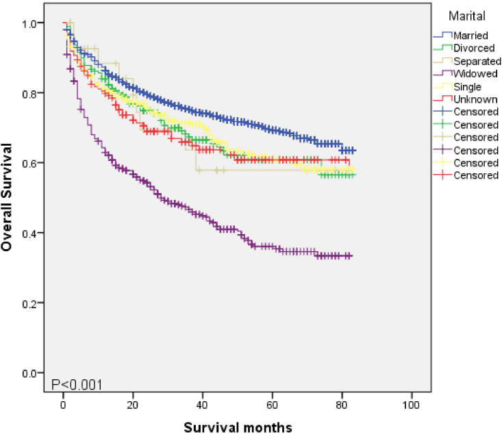
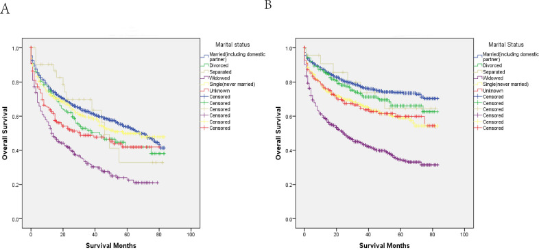
目前,早期胃癌(GC)的术后预后难以准确预测。特别是,社会因素不常用于早期胃癌的预后评估。因此,本研究旨在结合临床指标和社会因素,建立基于新的评分体系的早期GC预测模型。来自监测、流行病学和最终结果数据库的3647例早期胃癌患者被纳入本研究。Kaplan-Meier生存分析用于比较不同婚姻状况之间的预后差异,作为一种创新的预后指标。采用单因素和多因素分析筛选可用的预测因子,然后采用Cox比例风险回归模型构建nomogram。单因素分析和多因素分析显示,诊断年龄、性别、组织学、分期、手术、肿瘤大小、婚姻状况是影响总生存的独立预后因素。c指数和校准曲线都证实了nomogram在训练集和测试集对患者预后有很大的预测作用。这种基于临床指标和婚姻状况的nomogram诊断图能够有效帮助早期胃癌患者。
本文章由计算机程序翻译,如有差异,请以英文原文为准。

A model established using marital status and other factors from the Surveillance, Epidemiology, and End Results database for early stage gastric cancer.

A model established using marital status and other factors from the Surveillance, Epidemiology, and End Results database for early stage gastric cancer.

A model established using marital status and other factors from the Surveillance, Epidemiology, and End Results database for early stage gastric cancer.

A model established using marital status and other factors from the Surveillance, Epidemiology, and End Results database for early stage gastric cancer.

Currently, the postoperative prognosis of early stage gastric cancer (GC) is difficult to accurately predict. In particular, social factors are not frequently used in the prognostic assessment of early stage GC. Therefore, this study aimed to combine the clinical indicators and social factors to establish a predictive model for early stage GC based on a new scoring system. A total of 3647 patients with early stage GC from the Surveillance, Epidemiology, and End Results database were included in this study. A Kaplan-Meier survival analysis was used to compare differences in prognosis between different marital status, as an innovative prognostic indicator. Univariate and multivariate analyses were used to screen available prediction factors and then build a nomogram using the Cox proportional hazard regression model. The univariate analysis and multivariate analysis revealed that age at diagnosis, sex, histology, stage_T, surgery, tumor size, and marital status were independent prognostic factors of overall survival. Both the C-index and calibration curves confirmed that the nomogram had a great predictive effect on patient prognosis in training and testing sets. This nomogram based on clinical indicators and marital status can effectively help patients with early stage GC in the future.

求助全文
通过发布文献求助,成功后即可免费获取论文全文。 去求助
来源期刊
自引率
0.00%
发文量
0
×
引用
GB/T 7714-2015
复制
MLA
复制
APA
复制
导出至
BibTeX EndNote RefMan NoteFirst NoteExpress
×
提示
您的信息不完整,为了账户安全,请先补充。
现在去补充
×
提示
您因"违规操作"
具体请查看互助需知
我知道了
×
提示
确定
请完成安全验证×
copy
已复制链接
快去分享给好友吧!
我知道了
右上角分享
点击右上角分享
0
联系我们:info@booksci.cn Book学术提供免费学术资源搜索服务,方便国内外学者检索中英文文献。致力于提供最便捷和优质的服务体验。 Copyright © 2023 布克学术 All rights reserved.
京ICP备2023020795号-1
ghs 京公网安备 11010802042870号
Book学术文献互助
Book学术文献互助群
群 号:604180095
Book学术官方微信