黑升麻:对其作用机制的见解。

Integrative medicine insights Pub Date : 2008-01-01 Epub Date: 2008-08-27
Rachel L Ruhlen, Grace Y Sun, Edward R Sauter
{"title":"黑升麻:对其作用机制的见解。","authors":"Rachel L Ruhlen, Grace Y Sun, Edward R Sauter","doi":"","DOIUrl":null,"url":null,"abstract":"<p><p>The Women's Health Initiative found that combination estrogen and progesterone hormone replacement therapy increases breast cancer and cardiovascular disease risk, which compelled many women to seek herbal alternatives such as black cohosh extract (BCE) to relieve their menopausal symptoms. While several clinical trials document the efficacy of BCE in alleviating menopausal symptoms, preclinical studies to determine how BCE works have yielded conflicting results. Part of this is because there is not a universally accepted method to standardize the dose of black cohosh triterpenes, the presumed active ingredients in the extract. Although the mechanism by which BCE relieves symptoms is unknown, several hypotheses have been proposed: it acts 1) as a selective estrogen receptor modulator, 2) through serotonergic pathways, 3) as an antioxidant, or 4) on inflammatory pathways. We found that while the most prominent triterpene in BCE, 23-epi-26-deoxyactein, suppresses cytokine-induced nitric oxide production in brain microglial cells, the whole BCE extract actually enhanced this pathway. A variety of activities have been reported for black cohosh and its compounds, but the absorption and tissue distribution of these compounds is unknown.</p>","PeriodicalId":89565,"journal":{"name":"Integrative medicine insights","volume":"3 ","pages":"21-32"},"PeriodicalIF":0.0000,"publicationDate":"2008-01-01","publicationTypes":"Journal Article","fieldsOfStudy":null,"isOpenAccess":false,"openAccessPdf":"https://www.ncbi.nlm.nih.gov/pmc/articles/PMC3046019/pdf/","citationCount":"0","resultStr":"{\"title\":\"Black Cohosh: Insights into its Mechanism(s) of Action.\",\"authors\":\"Rachel L Ruhlen, Grace Y Sun, Edward R Sauter\",\"doi\":\"\",\"DOIUrl\":null,\"url\":null,\"abstract\":\"<p><p>The Women's Health Initiative found that combination estrogen and progesterone hormone replacement therapy increases breast cancer and cardiovascular disease risk, which compelled many women to seek herbal alternatives such as black cohosh extract (BCE) to relieve their menopausal symptoms. While several clinical trials document the efficacy of BCE in alleviating menopausal symptoms, preclinical studies to determine how BCE works have yielded conflicting results. Part of this is because there is not a universally accepted method to standardize the dose of black cohosh triterpenes, the presumed active ingredients in the extract. Although the mechanism by which BCE relieves symptoms is unknown, several hypotheses have been proposed: it acts 1) as a selective estrogen receptor modulator, 2) through serotonergic pathways, 3) as an antioxidant, or 4) on inflammatory pathways. We found that while the most prominent triterpene in BCE, 23-epi-26-deoxyactein, suppresses cytokine-induced nitric oxide production in brain microglial cells, the whole BCE extract actually enhanced this pathway. A variety of activities have been reported for black cohosh and its compounds, but the absorption and tissue distribution of these compounds is unknown.</p>\",\"PeriodicalId\":89565,\"journal\":{\"name\":\"Integrative medicine insights\",\"volume\":\"3 \",\"pages\":\"21-32\"},\"PeriodicalIF\":0.0000,\"publicationDate\":\"2008-01-01\",\"publicationTypes\":\"Journal Article\",\"fieldsOfStudy\":null,\"isOpenAccess\":false,\"openAccessPdf\":\"https://www.ncbi.nlm.nih.gov/pmc/articles/PMC3046019/pdf/\",\"citationCount\":\"0\",\"resultStr\":null,\"platform\":\"Semanticscholar\",\"paperid\":null,\"PeriodicalName\":\"Integrative medicine insights\",\"FirstCategoryId\":\"1085\",\"ListUrlMain\":\"\",\"RegionNum\":0,\"RegionCategory\":null,\"ArticlePicture\":[],\"TitleCN\":null,\"AbstractTextCN\":null,\"PMCID\":null,\"EPubDate\":\"2008/8/27 0:00:00\",\"PubModel\":\"Epub\",\"JCR\":\"\",\"JCRName\":\"\",\"Score\":null,\"Total\":0}","platform":"Semanticscholar","paperid":null,"PeriodicalName":"Integrative medicine insights","FirstCategoryId":"1085","ListUrlMain":"","RegionNum":0,"RegionCategory":null,"ArticlePicture":[],"TitleCN":null,"AbstractTextCN":null,"PMCID":null,"EPubDate":"2008/8/27 0:00:00","PubModel":"Epub","JCR":"","JCRName":"","Score":null,"Total":0}
引用次数: 0

摘要

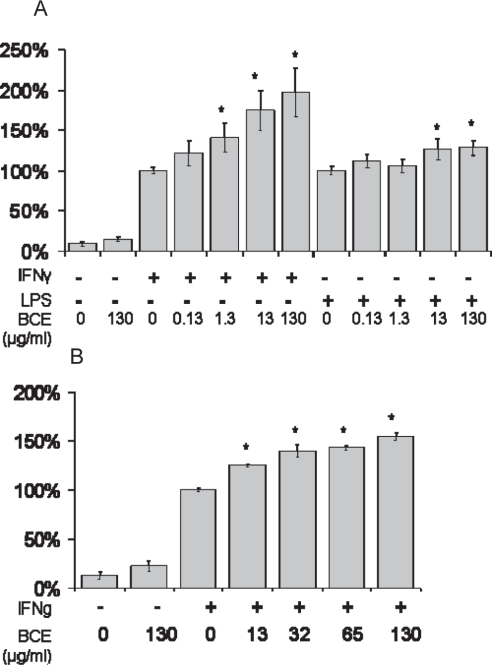
妇女健康倡议 "发现,雌激素和孕激素联合激素替代疗法会增加患乳腺癌和心血管疾病的风险,这迫使许多妇女寻求黑升麻提取物(BCE)等草药替代品来缓解更年期症状。虽然一些临床试验证明黑升麻提取物对缓解更年期症状有一定疗效,但旨在确定黑升麻提取物如何发挥作用的临床前研究却得出了相互矛盾的结果。部分原因是没有一种普遍接受的方法来标准化黑升麻三萜(提取物中的假定活性成分)的剂量。虽然黑升麻缓解症状的机制尚不清楚,但有几种假设:1)作为选择性雌激素受体调节剂;2)通过血清素能途径;3)作为抗氧化剂;或 4)通过炎症途径。我们发现,虽然 BCE 中最主要的三萜类化合物 23-epi-26-deoxyactein 能抑制细胞因子诱导的脑小胶质细胞一氧化氮的产生,但整个 BCE 提取物实际上增强了这一途径。据报道,黑升麻及其化合物具有多种活性,但这些化合物的吸收和组织分布情况尚不清楚。
本文章由计算机程序翻译,如有差异,请以英文原文为准。

Black Cohosh: Insights into its Mechanism(s) of Action.

Black Cohosh: Insights into its Mechanism(s) of Action.

Black Cohosh: Insights into its Mechanism(s) of Action.

Black Cohosh: Insights into its Mechanism(s) of Action.

The Women's Health Initiative found that combination estrogen and progesterone hormone replacement therapy increases breast cancer and cardiovascular disease risk, which compelled many women to seek herbal alternatives such as black cohosh extract (BCE) to relieve their menopausal symptoms. While several clinical trials document the efficacy of BCE in alleviating menopausal symptoms, preclinical studies to determine how BCE works have yielded conflicting results. Part of this is because there is not a universally accepted method to standardize the dose of black cohosh triterpenes, the presumed active ingredients in the extract. Although the mechanism by which BCE relieves symptoms is unknown, several hypotheses have been proposed: it acts 1) as a selective estrogen receptor modulator, 2) through serotonergic pathways, 3) as an antioxidant, or 4) on inflammatory pathways. We found that while the most prominent triterpene in BCE, 23-epi-26-deoxyactein, suppresses cytokine-induced nitric oxide production in brain microglial cells, the whole BCE extract actually enhanced this pathway. A variety of activities have been reported for black cohosh and its compounds, but the absorption and tissue distribution of these compounds is unknown.

求助全文
通过发布文献求助,成功后即可免费获取论文全文。 去求助
来源期刊
自引率
0.00%
发文量
0
×
引用
GB/T 7714-2015
复制
MLA
复制
APA
复制
导出至
BibTeX EndNote RefMan NoteFirst NoteExpress
×
提示
您的信息不完整,为了账户安全,请先补充。
现在去补充
×
提示
您因"违规操作"
具体请查看互助需知
我知道了
×
提示
确定
请完成安全验证×
copy
已复制链接
快去分享给好友吧!
我知道了
右上角分享
点击右上角分享
0
联系我们:info@booksci.cn Book学术提供免费学术资源搜索服务,方便国内外学者检索中英文文献。致力于提供最便捷和优质的服务体验。 Copyright © 2023 布克学术 All rights reserved.
京ICP备2023020795号-1
ghs 京公网安备 11010802042870号
Book学术文献互助
Book学术文献互助群
群 号:604180095
Book学术官方微信